Suppr超能文献

无膜流通式反应器中铅和氧化铅在石墨毡上的电沉积:一种制备铅酸电池轻质电极格栅的方法。

Electrodeposition of Pb and PbO on Graphite Felt in Membraneless Flow-Through Reactor: A Method to Prepare Lightweight Electrode Grids for Lead-Acid Batteries.

作者信息

Ilginis Arminas, Žmuidzinavičienė Nerita, Griškonis Egidijus

机构信息

Department of Physical and Inorganic Chemistry, Faculty of Chemical Technology, Kaunas University of Technology, Radvilėnų pl. 19, 50254 Kaunas, Lithuania.

出版信息

Materials (Basel). 2021 Oct 15;14(20):6122. doi: 10.3390/ma14206122.

Abstract

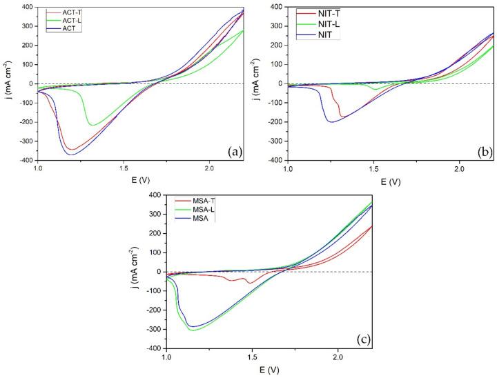
One of the possible ways of mitigating the primary lead-acid battery downside-mass- is to replace the heavy lead grids that can add up to half of the total electrode's mass. The grids can be exchanged for a lightweight, chemically inert, and conductive material such as graphite felt. To reduce carbon surface area, Pb/PbO can be electrochemically deposited on graphite felt. A flow-through reactor was applied to enhance penetration of adequate coverage of graphite felt fibers. Three types of electrolytes (acetate, nitrate, and methanesulfonate) and two additives (ligninsulfonate and Triton X-100) were tested. The prepared composite electrodes showed greater mechanical strength, up to 5 times lower electrical resistivity, and acted as Pb and PbO electrodes in sulfuric acid electrolytes.

摘要

减轻铅酸电池主要缺点——质量——的一种可能方法是替换沉重的铅极板,铅极板重量可占整个电极总质量的一半。可以用一种轻质、化学惰性且导电的材料(如石墨毡)来替换铅极板。为减少碳表面积,可将Pb/PbO电化学沉积在石墨毡上。采用流通式反应器来增强对石墨毡纤维的充分覆盖渗透。测试了三种电解质(醋酸盐、硝酸盐和甲磺酸盐)和两种添加剂(木质素磺酸盐和 Triton X - 100)。制备的复合电极显示出更高的机械强度、电阻率降低多达5倍,并在硫酸电解质中起到Pb和PbO电极的作用。

https://cdn.ncbi.nlm.nih.gov/pmc/blobs/d14f/8537699/14080a4df12a/materials-14-06122-g001.jpg

文献AI研究员

20分钟写一篇综述,助力文献阅读效率提升50倍。

立即体验

用中文搜PubMed

大模型驱动的PubMed中文搜索引擎

马上搜索

文档翻译

学术文献翻译模型,支持多种主流文档格式。

立即体验