Suppr超能文献

铟离子修饰石墨毡复合电极的制备与性能

Preparation and Properties of Indium Ion Modified Graphite Felt Composite Electrode.

作者信息

Su Yang, Chen Na, Ren Hai-Lin, Guo Li-Li, Li Zhen, Wang Xiao-Min

机构信息

Liaoning Key Laboratory of Chemical Additive Synthesis and Separation, School of Materials Science and Engineering, Yingkou Institute of Technology, Yingkou, China.

School of Materials Science and Metallurgy, University of Science and Technology Liaoning, Anshan, China.

出版信息

Front Chem. 2022 Apr 27;10:899287. doi: 10.3389/fchem.2022.899287. eCollection 2022.

Abstract

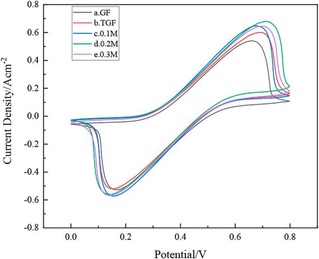
Iron-chromium redox flow batteries (ICRFBs) have the advantages of high safety, long cycle life, flexible design, and low maintenance costs. Polyacrylonitrile-based graphite felt composite material has good temperature resistance, corrosion resistance, large surface area and excellent electrical conductivity, and is often used as the electrode material of ICRFB, but its chemical activity is poor. In order to improve the activity of the graphite felt electrode, In was used for modification in this paper, and the modified graphite felt was used as the electrode material for iron-chromium batteries. The structure and surface morphology of the modified graphite felt were analyzed by the specific surface area analyzer and scanning electron microscope; the electrochemical impedance spectroscopy and cyclic voltammetry experiments were carried out on the electrochemical workstation to study the electro catalytic activity of In modified graphite felt and its performance in ICRFBS. The results show that the graphite felt electrode modified with a concentration of 0.2 M In was activated at 400°C for 2 h, and its surface showed a lot of grooves, and the specific surface area reached 3.889 m/g, while the specific surface area of the untreated graphite felt was only 0.995 m/g significantly improved. Electrochemical tests show that the electrochemical properties of graphite felt electrodes are improved after In modification. Therefore, the In modified graphite felt electrode can improve the performance of ICRFB battery, and also make it possible to realize the engineering application of ICRFB battery.

摘要

铁铬液流电池(ICRFBs)具有安全性高、循环寿命长、设计灵活和维护成本低等优点。聚丙烯腈基石墨毡复合材料具有良好的耐高温性、耐腐蚀性、大表面积和优异的导电性,常被用作铁铬液流电池的电极材料,但其化学活性较差。为了提高石墨毡电极的活性,本文采用铟对其进行改性,并将改性后的石墨毡用作铁铬电池的电极材料。通过比表面积分析仪和扫描电子显微镜对改性石墨毡的结构和表面形貌进行了分析;在电化学工作站上进行了电化学阻抗谱和循环伏安法实验,以研究铟改性石墨毡的电催化活性及其在铁铬液流电池中的性能。结果表明,浓度为0.2 M的铟改性石墨毡电极在400℃下活化2 h后,其表面出现大量沟槽,比表面积达到3.889 m/g,而未处理石墨毡的比表面积仅为0.995 m/g,显著提高。电化学测试表明,铟改性后石墨毡电极的电化学性能得到改善。因此,铟改性石墨毡电极可以提高铁铬液流电池的性能,也使得铁铬液流电池实现工程应用成为可能。

https://cdn.ncbi.nlm.nih.gov/pmc/blobs/8f2b/9091195/d349a0b6abc7/fchem-10-899287-g001.jpg

文献AI研究员

20分钟写一篇综述,助力文献阅读效率提升50倍。

立即体验

用中文搜PubMed

大模型驱动的PubMed中文搜索引擎

马上搜索

文档翻译

学术文献翻译模型,支持多种主流文档格式。

立即体验