Rubio Ana R, González Rocío, Busto Natalia, Vaquero Mónica, Iglesias Ana L, Jalón Félix A, Espino Gustavo, Rodríguez Ana M, García Begoña, Manzano Blanca R
Departamento de Química, Facultad de Ciencias, Universidad de Burgos, Plaza Misael Bañuelos s/n, 09001 Burgos, Spain.
Facultad de Ciencias y Tecnologías Químicas-IRICA, Universidad de Castilla-La Mancha, Avda. C. J. Cela 10, 13071 Ciudad Real, Spain.
Pharmaceutics. 2021 Sep 23;13(10):1540. doi: 10.3390/pharmaceutics13101540.
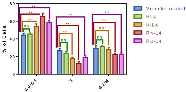
An important challenge in the field of anticancer chemotherapy is the search for new species to overcome the resistance of standard drugs. An interesting approach is to link bioactive ligands to metal fragments. In this work, we have synthesized a set of -cymene-Ru or cyclopentadienyl-M (M = Rh, Ir) complexes with four chrysin-derived pro-ligands with different -OR substituents at position 7 of ring A. The introduction of a piperidine ring on chrysin led to the highly cytotoxic pro-ligand and its metal complexes (SW480 and A549 cell lines, cytotoxic order: > ≈ ). and its complexes induce apoptosis and can overcome cis-platinum resistance. However, turns out to be more cytotoxic in healthy than in tumor cells in contrast to its metal complexes which displayed higher selectivity than cisplatin towards cancer cells. All complexes interact with double stranded DNA. Nonetheless, the influence of the metal is clear because only complex causes DNA cleavage, through the generation of highly reactive oxygen species (O). This result supports the hypothesis of a potential dual mechanism consisting of two different chemical pathways: DNA binding and ROS generation. This behavior provides this complex with a great effectivity in terms of cytotoxicity.
抗癌化疗领域的一个重要挑战是寻找新的物种以克服标准药物的耐药性。一种有趣的方法是将生物活性配体与金属片段相连。在这项工作中,我们合成了一组对异丙基苯钌或环戊二烯基-M(M = 铑、铱)配合物,其带有四种在A环7位具有不同-OR取代基的白杨素衍生的前体配体。在白杨素上引入哌啶环得到了高细胞毒性的前体配体及其金属配合物(SW480和A549细胞系,细胞毒性顺序:> ≈ )。及其配合物诱导细胞凋亡并能克服顺铂耐药性。然而,与显示出比顺铂对癌细胞更高选择性的金属配合物相比,在健康细胞中比在肿瘤细胞中细胞毒性更大。所有配合物都与双链DNA相互作用。尽管如此,金属的影响很明显,因为只有配合物通过产生高活性氧物种(O)导致DNA裂解。这一结果支持了由两种不同化学途径组成的潜在双重机制的假设:DNA结合和ROS生成。这种行为使该配合物在细胞毒性方面具有很高的有效性。