Suppr超能文献

利用(HS)-SPME/GC-MS 香气分析和化学计量学对辣椒香料进行地理歧视。

Geographical Discrimination of Bell Pepper () Spices by (HS)-SPME/GC-MS Aroma Profiling and Chemometrics.

机构信息

Dipartimento di Scienze Fisiche e Chimiche, Università degli Studi dell'Aquila, Via Vetoio, 67100 L'Aquila, Italy.

Majella Seed Bank-Parco Nazionale della Majella, Via Badia 28, 67039 Sulmona, Italy.

出版信息

Molecules. 2021 Oct 13;26(20):6177. doi: 10.3390/molecules26206177.

Abstract

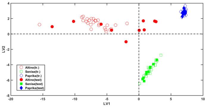
Dried and ground red pepper is a spice used as seasoning in various traditional dishes all over the world; nevertheless, the pedoclimatic conditions of the diverse cultivation areas provide different chemical characteristics, and, consequently, diverse organoleptic properties to this product. In the present study, the volatile profiles of 96 samples of two different ground bell peppers harvested in diverse Italian geographical areas, Altino (Abruzzo) and Senise (Lucania), and a commercial sweet paprika, have been studied by means of headspace solid-phase microextraction (HS-SPME) coupled with gas chromatography-mass spectrometry (GC-MS). The investigation of their volatile profile has led to the identification of 59 analytes. Eventually, a discriminant classifier, Partial Least Squares Discriminant Analysis (PLS-DA), was exploited to discriminate samples according to their geographical origin. The model provided very accurate results in external validation; in fact, it correctly classified all the 30 test samples, achieving 100% correct classification (on the validation set). Furthermore, in order to understand which volatiles contribute the most at differentiating the bell peppers from the different origins, a variable selection approach, Variable Importance in Projection (VIP), was used. This strategy led to the selection of sixteen diverse compounds which characterize the different bell pepper spices.

摘要

干辣椒是一种香料,用于世界各地各种传统菜肴的调味;然而,不同种植地区的风土条件为这种产品提供了不同的化学特性,从而产生不同的感官特性。在本研究中,采用顶空固相微萃取(HS-SPME)与气相色谱-质谱联用(GC-MS)联用的方法,对来自意大利两个不同地理区域阿尔蒂诺(阿布鲁佐)和塞尼塞(卢卡尼亚)的 96 个干辣椒和一个商业甜辣椒粉的挥发性成分进行了研究。对其挥发性成分的研究共鉴定出 59 种成分。最后,采用偏最小二乘判别分析(PLS-DA)对样品进行了判别分类,根据其地理来源进行了分类。该模型在外部验证中提供了非常准确的结果;事实上,它正确地对所有 30 个测试样本进行了分类,实现了 100%的正确分类(在验证集上)。此外,为了了解哪些挥发性成分对区分不同产地的辣椒贡献最大,采用了一种变量选择方法,即变量重要性投影(VIP)。该策略选择了 16 种不同的化合物来表征不同的辣椒香料。

https://cdn.ncbi.nlm.nih.gov/pmc/blobs/99fc/8538362/86563e36ba2f/molecules-26-06177-g001.jpg

文献AI研究员

20分钟写一篇综述,助力文献阅读效率提升50倍。

立即体验

用中文搜PubMed

大模型驱动的PubMed中文搜索引擎

马上搜索

文档翻译

学术文献翻译模型,支持多种主流文档格式。

立即体验