Translational and Clinical Research Institute, Faculty of Medical Sciences, Newcastle University, International Centre for Life, Newcastle upon Tyne, NE1 3BZ, UK.
Department of Paediatric Endocrinology, Great North Children's Hospital, Newcastle upon Tyne Hospitals NHS Foundation Trust, NE1 4LP, UK.
J Clin Endocrinol Metab. 2022 Feb 17;107(3):743-754. doi: 10.1210/clinem/dgab763.
Remission rates in young people with Graves hyperthyroidism are less than 25% after 2 years of thionamide antithyroid drug (ATD).
We explored whether rituximab (RTX), a B-lymphocyte-depleting agent, would increase remission rates when administered with a short course of ATD.
This was an open-label, multicenter, single-arm, phase 2 trial in young people (ages, 12-20 years) with Graves hyperthyroidism. An A'Hern design was used to distinguish an encouraging remission rate (40%) from an unacceptable rate (20%). Participants presenting with Graves hyperthyroidism received 500 mg RTX and 12 months of ATD titrated according to thyroid function. ATDs were stopped after 12 months and primary outcome assessed at 24 months. Participants had relapsed at 24 months if thyrotropin was suppressed and free 3,5,3'-triiodothyronine was raised; they had received ATD between months 12 and 24; or they had thyroid surgery/radioiodine.
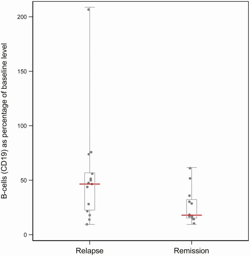
A total of 27 participants were recruited and completed the trial with no serious side effects linked to treatment. Daily carbimazole dose at 12 months was less than 5 mg in 21 of 27 participants. Thirteen of 27 participants were in remission at 24 months (48%, 90% one-sided CI, 35%-100%); this exceeded the critical value (9) for the A'Hern design and provided evidence of a promising remission rate. B-lymphocyte count at 28 weeks, expressed as a percentage of baseline, was related to likelihood of remission.
Adjuvant RTX, administered with a 12-month course of ATD, may increase the likelihood of remission in young people with Graves hyperthyroidism. A randomized trial of adjuvant RTX in young people with Graves hyperthyroidism is warranted.
年轻人格雷夫斯甲亢患者在接受硫脲类抗甲状腺药物(ATD)治疗 2 年后缓解率低于 25%。
我们探讨了利妥昔单抗(RTX),一种 B 淋巴细胞耗竭剂,在与短期 ATD 联合使用时是否会增加缓解率。
这是一项在年轻人(年龄 12-20 岁)格雷夫斯甲亢患者中进行的开放标签、多中心、单臂、2 期试验。采用 A'Hern 设计来区分令人鼓舞的缓解率(40%)和不可接受的缓解率(20%)。患有格雷夫斯甲亢的患者接受 500mg RTX 和 12 个月的 ATD 滴定,根据甲状腺功能进行调整。12 个月后停用 ATD,并在 24 个月时评估主要结局。如果促甲状腺素受到抑制且游离 3,5,3'-三碘甲状腺原氨酸升高,参与者在 24 个月时复发;他们在 12 至 24 个月期间接受了 ATD;或他们进行了甲状腺手术/放射性碘治疗。
共招募了 27 名参与者并完成了试验,治疗过程中没有与治疗相关的严重副作用。27 名参与者中有 21 名在 12 个月时的卡比马唑日剂量小于 5mg。27 名参与者中有 13 名在 24 个月时缓解(48%,90%单侧置信区间,35%-100%);这超过了 A'Hern 设计的临界值(9),提供了有希望的缓解率的证据。28 周时 B 淋巴细胞计数相对于基线的百分比与缓解的可能性相关。
在接受为期 12 个月的 ATD 治疗的基础上加用辅助 RTX 可能会增加年轻人格雷夫斯甲亢患者的缓解率。在年轻人格雷夫斯甲亢患者中进行辅助 RTX 的随机试验是必要的。