Suppr超能文献

促红细胞生成素给药对脑损伤模型中脑源性神经营养因子mRNA表达、基质细胞衍生因子-1水平及神经元特异性烯醇化酶的影响 y

Effect of erythropoietin administration on expression of mRNA brain-derived Neutrophic factor, levels of stromal cell-derived Factor-1, and neuron specific enolase in brain injury model y.

作者信息

Said Muhammad Fadli, Islam Andi Asadul, Massi Muhammad Nasrum, Hatta Mochammad, Patellongi Ilham Jaya, Cangara Husni, Adhimarta Willy, Nasution Rizha Anshori

机构信息

Doctoral Program of Biomedical Sciences, Faculty of Medicine, Hasanuddin University, Makassar, Indonesia.

Department of Neurosurgery, Faculty of Medicine, Hasanuddin University, Makassar, Indonesia.

出版信息

Ann Med Surg (Lond). 2021 Sep 28;70:102877. doi: 10.1016/j.amsu.2021.102877. eCollection 2021 Oct.

Abstract

BACKGROUND

Traumatic brain injury (TBI) is a complicated condition that is the primary cause of death and disability in children and young adults in developed countries. Various kinds of therapy have been carried out in the management of brain injury, one of which is the administration of erythropoietin (EPO). There are not many studies in Indonesia have proven that EPO administration is effective on parameters such as stromal cell-derived factor 1 (SDF-1), brain-derived neurotrophic factor (BDNF mRNA), and neuron-specific enolase (NSE) in brain injury patients. The purpose of this study was to see how EPO affected BDNF mRNA expression, SDF-1 serum levels, and NSE levels in experimental rats with TBI.

METHODS

This study was conducted using a rat head injury model. Fifteen rats were randomly assigned to one of three groups: A, B, or C. EPO was administered subcutis with a dose of 30.000 U/kg. Blood samples were taken after brain injury (H0), 12 h (H12), and 24 h (H24) after brain injury. Serum level of SDF-1 and NSE were measured using mRNA BDNF gene expression was measured with Real-Time-PCR, and ELISA.

RESULTS

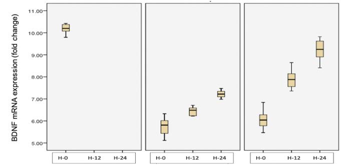
This study found EPO increase BDNF mRNA expression in group C at H-12 (7,92 ± 0.51 vs 6.45 ± 0.33) compared to group B, and at H-24 (9.20 ± 0.56 vs 7.22 ± 0.19); increase SDF-1 levels in group C at H-12 (7,56 ± 0,54) vs 4,62 ± 0,58) compared to group B, and at H-24 (11,32 ± 4,55 vs 2,55 ± 0,70) decrease serum NSE levels in group C at H-12 (17,25 ± 2,02 vs 29,65 ± 2,33) compare to group B and at H-24 (12,14 ± 2,61 vs 37,31 ± 2,76); the values are significantly different with p < 0,05.

CONCLUSION

EPO may have neuroprotective and anti-inflammatory properties in TBI by increasing mRNA BDNF expression and serum SDF-1 levels, and decrease serum NSE levels.

摘要

背景

创伤性脑损伤(TBI)是一种复杂的病症,是发达国家儿童和青年死亡和残疾的主要原因。在脑损伤的治疗中已经开展了各种治疗方法,其中之一是给予促红细胞生成素(EPO)。在印度尼西亚,没有很多研究证明给予EPO对脑损伤患者的基质细胞衍生因子1(SDF-1)、脑源性神经营养因子(BDNF mRNA)和神经元特异性烯醇化酶(NSE)等参数有效。本研究的目的是观察EPO如何影响TBI实验大鼠的BDNF mRNA表达、SDF-1血清水平和NSE水平。

方法

本研究使用大鼠头部损伤模型进行。15只大鼠被随机分为三组之一:A组、B组或C组。以30000 U/kg的剂量皮下注射EPO。在脑损伤后(H0)、脑损伤后12小时(H12)和24小时(H24)采集血样。使用实时聚合酶链反应(Real-Time-PCR)和酶联免疫吸附测定(ELISA)测量血清SDF-1和NSE水平以及BDNF基因表达的mRNA。

结果

本研究发现,与B组相比,C组在H-12时(7.92±0.51对6.45±0.33)和H-24时(9.20±0.56对7.22±0.19)EPO增加了BDNF mRNA表达;与B组相比,C组在H-12时(7.56±0.54对4.62±0.58)和H-24时(11.32±4.55对2.55±0.70)增加了SDF-1水平;与B组相比,C组在H-12时(17.

https://cdn.ncbi.nlm.nih.gov/pmc/blobs/5eb7/8519762/afe3ca04ce73/gr1.jpg

相似文献

3
Safety and efficacy of erythropoietin in traumatic brain injury patients: a pilot randomized trial.
Crit Care Res Pract. 2010;2010. doi: 10.1155/2010/209848. Epub 2010 May 12.
7
Chronic cigarette smoke exposure enhances brain-derived neurotrophic factor expression in rats with traumatic brain injury.
Metab Brain Dis. 2012 Jun;27(2):197-204. doi: 10.1007/s11011-012-9294-x. Epub 2012 Apr 3.
9
Neuroprotective effects of erythropoietin pretreatment in a rodent model of transient middle cerebral artery occlusion.
J Neurosurg. 2014 Jul;121(1):55-62. doi: 10.3171/2014.2.JNS132197. Epub 2014 Apr 4.

引用本文的文献

1
The preclinical and clinical trials of mesenchymal stem cell's secretome in traumatic brain injury: Review of basic science.
Surg Neurol Int. 2025 Jun 13;16:235. doi: 10.25259/SNI_1025_2024. eCollection 2025.
2
Therapy of traumatic brain injury by modern agents and traditional Chinese medicine.
Chin Med. 2023 Mar 11;18(1):25. doi: 10.1186/s13020-023-00731-x.
3
The Effect of Erythropoietin and Its Derivatives on Ischemic Stroke Therapy: A Comprehensive Review.
Front Pharmacol. 2022 Feb 17;13:743926. doi: 10.3389/fphar.2022.743926. eCollection 2022.

本文引用的文献

2
Modification of the Marmarou model in developing countries.
Ann Med Surg (Lond). 2020 Jul 22;57:109-113. doi: 10.1016/j.amsu.2020.07.029. eCollection 2020 Sep.
3
Ischemia-Triggered Glutamate Excitotoxicity From the Perspective of Glial Cells.
Front Cell Neurosci. 2020 Mar 19;14:51. doi: 10.3389/fncel.2020.00051. eCollection 2020.
4
Human Mesenchymal Stem Cells Expressing Erythropoietin Enhance Survivability of Retinal Neurons Against Oxidative Stress: An Study.
Front Cell Neurosci. 2018 Jul 31;12:190. doi: 10.3389/fncel.2018.00190. eCollection 2018.
5
Estimating the global incidence of traumatic brain injury.
J Neurosurg. 2018 Apr 27;130(4):1080-1097. doi: 10.3171/2017.10.JNS17352. Print 2019 Apr 1.
6
The Role of SDF-1/CXCR4/CXCR7 in Neuronal Regeneration after Cerebral Ischemia.
Front Neurosci. 2017 Oct 24;11:590. doi: 10.3389/fnins.2017.00590. eCollection 2017.
7
Traumatic Brain Injury: Current Treatment Strategies and Future Endeavors.
Cell Transplant. 2017 Jul;26(7):1118-1130. doi: 10.1177/0963689717714102.
8
Core-Cross-Linked Nanoparticles Reduce Neuroinflammation and Improve Outcome in a Mouse Model of Traumatic Brain Injury.
ACS Nano. 2017 Sep 26;11(9):8600-8611. doi: 10.1021/acsnano.7b03426. Epub 2017 Aug 16.
9
Neuron specific enolase: a promising therapeutic target in acute spinal cord injury.
Metab Brain Dis. 2016 Jun;31(3):487-95. doi: 10.1007/s11011-016-9801-6. Epub 2016 Feb 5.
10
Brain-derived neurotrophic factor and its clinical implications.
Arch Med Sci. 2015 Dec 10;11(6):1164-78. doi: 10.5114/aoms.2015.56342. Epub 2015 Dec 11.

文献AI研究员

20分钟写一篇综述,助力文献阅读效率提升50倍。

立即体验

用中文搜PubMed

大模型驱动的PubMed中文搜索引擎

马上搜索

文档翻译

学术文献翻译模型,支持多种主流文档格式。

立即体验