Suppr超能文献

铁路道岔磨耗诊断。

Railroad Turnout Wear Diagnostics.

机构信息

Faculty of Transport, Electrical Engineering and Computer Science, University of Technology and Humanities, 26-600 Radom, Poland.

Department of Avionics and Control Systems, Faculty of Aviation Division, Military University of Aviation, 08-521 Deblin, Poland.

出版信息

Sensors (Basel). 2021 Oct 9;21(20):6697. doi: 10.3390/s21206697.

Abstract

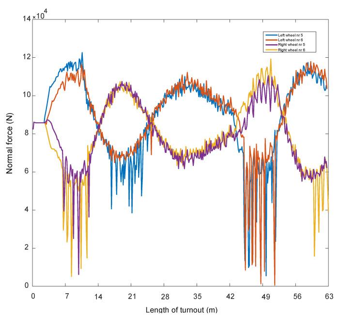
The article presents a few issues related to the technical condition of a railway turnout, an important element of the railway network where about 90% of railway accidents occur. In the first part of the article, the results of railway turnout wear are presented. A comparison of normal forces (in wheel-rail contact) in vehicle traffic on straight track without a turnout and normal forces occurring when a rail vehicle passes a turnout is presented. Then, turnout wear processes for selected speeds are presented. In the next part of the paper, the possibilities of using a vision system are presented, which, in combination with tools for image processing analysis, makes it possible to detect wear and distances between the key elements of a railway turnout. The main idea of the proposed online diagnostic system solution is to use the analysis of received images (photos) with the help of a vision system. The basic problem to be solved in the proposed system was to develop algorithms responsible for generating wear areas from high-resolution images. The algorithms created within the work were implemented and tested in the MATLAB software environment. The presented method is an original procedure for diagnosing turnout elements for each time instant. The proposed system is compatible with railway traffic control systems.

摘要

本文介绍了与铁路道岔技术状况相关的几个问题,铁路道岔是铁路网络的重要组成部分,约 90%的铁路事故发生在铁路道岔上。文章的第一部分介绍了铁路道岔的磨损结果。比较了车辆在直道上无道岔行驶和车辆通过道岔时的轮轨接触中的法向力。然后,呈现了选择速度下的道岔磨损过程。在本文的下一部分,介绍了使用视觉系统的可能性,该系统结合图像处理分析工具,可以检测铁路道岔关键元件的磨损和距离。所提出的在线诊断系统解决方案的主要思想是使用视觉系统分析接收到的图像(照片)。在所提出的系统中要解决的基本问题是开发负责从高分辨率图像生成磨损区域的算法。工作中创建的算法已在 MATLAB 软件环境中实现和测试。所提出的方法是诊断每个时间点道岔元件的原始程序。所提出的系统与铁路交通控制系统兼容。

https://cdn.ncbi.nlm.nih.gov/pmc/blobs/1056/8540130/f0cf32582c1a/sensors-21-06697-g003.jpg

文献AI研究员

20分钟写一篇综述,助力文献阅读效率提升50倍。

立即体验

用中文搜PubMed

大模型驱动的PubMed中文搜索引擎

马上搜索

文档翻译

学术文献翻译模型,支持多种主流文档格式。

立即体验