• 文献检索
  • 文档翻译
  • 深度研究
  • 学术资讯
  • Suppr Zotero 插件Zotero 插件
  • 邀请有礼
  • 套餐&价格
  • 历史记录
应用&插件
Suppr Zotero 插件Zotero 插件浏览器插件Mac 客户端Windows 客户端微信小程序
定价
高级版会员购买积分包购买API积分包
服务
文献检索文档翻译深度研究API 文档MCP 服务
关于我们
关于 Suppr公司介绍联系我们用户协议隐私条款
关注我们

Suppr 超能文献

核心技术专利:CN118964589B侵权必究
粤ICP备2023148730 号-1Suppr @ 2026

文献检索

告别复杂PubMed语法,用中文像聊天一样搜索,搜遍4000万医学文献。AI智能推荐,让科研检索更轻松。

立即免费搜索

文件翻译

保留排版,准确专业,支持PDF/Word/PPT等文件格式,支持 12+语言互译。

免费翻译文档

深度研究

AI帮你快速写综述,25分钟生成高质量综述,智能提取关键信息,辅助科研写作。

立即免费体验

一项使用虚拟现实加身体练习的视频自我建模干预对帕金森病步态冻结的可行性和可接受性研究

A Video Self-Modeling Intervention Using Virtual Reality Plus Physical Practice for Freezing of Gait in Parkinson Disease: Feasibility and Acceptability Study.

作者信息

Goh Lina, Allen Natalie E, Ahmadpour Naseem, Ehgoetz Martens Kaylena A, Song Jooeun, Clemson Lindy, Lewis Simon J G, MacDougall Hamish G, Canning Colleen G

机构信息

Sydney School of Health Sciences, Faculty of Medicine and Health, The University of Sydney, Camperdown, Australia.

Sydney School of Architecture, Design and Planning, The University of Sydney, Camperdown, Australia.

出版信息

JMIR Form Res. 2021 Nov 3;5(11):e28315. doi: 10.2196/28315.

DOI:10.2196/28315
PMID:34730537
原文链接:https://pmc.ncbi.nlm.nih.gov/articles/PMC8600439/
Abstract

BACKGROUND

Despite optimal medical and surgical intervention, freezing of gait commonly occurs in people with Parkinson disease. Action observation via video self-modeling, combined with physical practice, has potential as a noninvasive intervention to reduce freezing of gait.

OBJECTIVE

The aim of this study is to determine the feasibility and acceptability of a home-based, personalized video self-modeling intervention delivered via a virtual reality head-mounted display (HMD) to reduce freezing of gait in people with Parkinson disease. The secondary aim is to investigate the potential effect of this intervention on freezing of gait, mobility, and anxiety.

METHODS

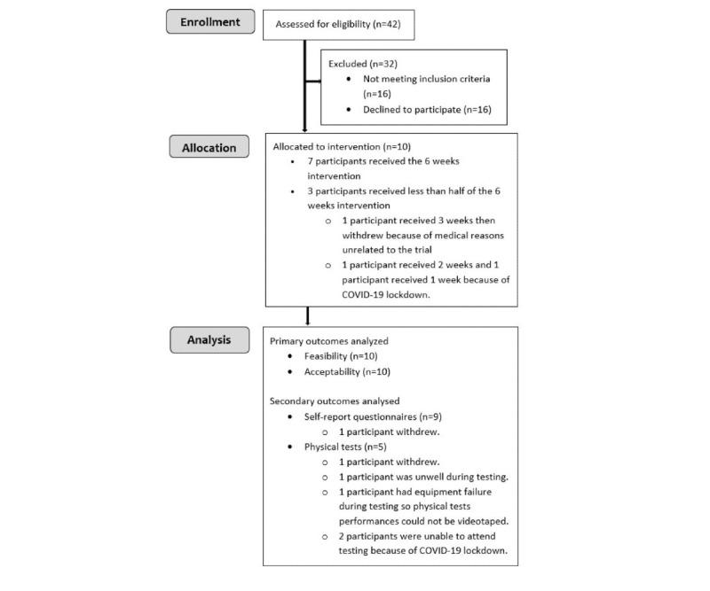
The study was a single-group pre-post mixed methods pilot trial for which 10 participants with Parkinson disease and freezing of gait were recruited. A physiotherapist assessed the participants in their homes to identify person-specific triggers of freezing and developed individualized movement strategies to overcome freezing of gait. 180° videos of the participants successfully performing their movement strategies were created. Participants watched their videos using a virtual reality HMD, followed by physical practice of their strategies in their own homes over a 6-week intervention period. The primary outcome measures included the feasibility and acceptability of the intervention. Secondary outcome measures included freezing of gait physical tests and questionnaires, including the Timed Up and Go Test, 10-meter walk test, Goal Attainment Scale, and Parkinson Anxiety Scale.

RESULTS

The recruitment rate was 24% (10/42), and the retention rate was 90% (9/10). Adherence to the intervention was high, with participants completing a mean of 84% (SD 49%) for the prescribed video viewing and a mean of 100% (SD 56%) for the prescribed physical practice. One participant used the virtual reality HMD for 1 week and completed the rest of the intervention using a flat-screen device because of a gradual worsening of his motion sickness. No other adverse events occurred during the intervention or assessment. Most of the participants found using the HMD to view their videos interesting and enjoyable and would choose to use this intervention to manage their freezing of gait in the future. Five themes were constructed from the interview data: reflections when seeing myself, my experience of using the virtual reality system, the role of the virtual reality system in supporting my learning, developing a deeper understanding of how to manage my freezing of gait, and the impact of the intervention on my daily activities. Overall, there were minimal changes to the freezing of gait, mobility, or anxiety measures from baseline to postintervention, although there was substantial variability between participants. The intervention showed potential in reducing anxiety in participants with high levels of anxiety.

CONCLUSIONS

Video self-modeling using an immersive virtual reality HMD plus physical practice of personalized movement strategies is a feasible and acceptable method of addressing freezing of gait in people with Parkinson disease.

摘要

背景

尽管进行了最佳的药物和手术干预,但帕金森病患者仍经常出现冻结步态。通过视频自我建模进行动作观察,并结合身体练习,有可能作为一种非侵入性干预措施来减少冻结步态。

目的

本研究的目的是确定通过虚拟现实头戴式显示器(HMD)进行的基于家庭的个性化视频自我建模干预措施在减少帕金森病患者冻结步态方面的可行性和可接受性。次要目的是研究这种干预措施对冻结步态、运动能力和焦虑的潜在影响。

方法

该研究是一项单组前后混合方法的试点试验,招募了10名患有帕金森病且有冻结步态的参与者。一名物理治疗师在参与者家中对其进行评估,以确定特定个体的冻结触发因素,并制定个性化的运动策略来克服冻结步态。制作了参与者成功执行其运动策略的180°视频。参与者使用虚拟现实HMD观看他们的视频,然后在为期6周的干预期内在自己家中对其策略进行身体练习。主要结局指标包括干预措施的可行性和可接受性。次要结局指标包括冻结步态的身体测试和问卷,包括定时起立行走测试、10米步行测试、目标达成量表和帕金森焦虑量表。

结果

招募率为24%(10/42),保留率为90%(9/10)。对干预措施的依从性很高,参与者规定视频观看的完成率平均为84%(标准差49%),规定身体练习的完成率平均为100%(标准差56%)。一名参与者使用虚拟现实HMD一周,由于晕动病逐渐加重,其余干预使用平板设备完成。在干预或评估期间未发生其他不良事件。大多数参与者发现使用HMD观看他们的视频有趣且令人愉快,并会选择在未来使用这种干预措施来管理他们的冻结步态。从访谈数据中构建了五个主题:看到自己时的反思、我使用虚拟现实系统的体验、虚拟现实系统在支持我学习方面的作用、对如何管理我的冻结步态有更深入的理解以及干预对我日常活动的影响。总体而言,从基线到干预后,冻结步态、运动能力或焦虑指标的变化很小,尽管参与者之间存在很大差异。该干预措施显示出对高焦虑水平参与者降低焦虑的潜力。

结论

使用沉浸式虚拟现实HMD进行视频自我建模并结合个性化运动策略的身体练习,是解决帕金森病患者冻结步态的一种可行且可接受的方法。

https://cdn.ncbi.nlm.nih.gov/pmc/blobs/8a77/8600439/51e40b6d033e/formative_v5i11e28315_fig2.jpg
https://cdn.ncbi.nlm.nih.gov/pmc/blobs/8a77/8600439/78cc3c91457d/formative_v5i11e28315_fig1.jpg
https://cdn.ncbi.nlm.nih.gov/pmc/blobs/8a77/8600439/51e40b6d033e/formative_v5i11e28315_fig2.jpg
https://cdn.ncbi.nlm.nih.gov/pmc/blobs/8a77/8600439/78cc3c91457d/formative_v5i11e28315_fig1.jpg
https://cdn.ncbi.nlm.nih.gov/pmc/blobs/8a77/8600439/51e40b6d033e/formative_v5i11e28315_fig2.jpg

相似文献

1
A Video Self-Modeling Intervention Using Virtual Reality Plus Physical Practice for Freezing of Gait in Parkinson Disease: Feasibility and Acceptability Study.一项使用虚拟现实加身体练习的视频自我建模干预对帕金森病步态冻结的可行性和可接受性研究
JMIR Form Res. 2021 Nov 3;5(11):e28315. doi: 10.2196/28315.
2
Erratum.勘误
Mult Scler. 2016 Oct;22(12):NP9-NP11. doi: 10.1177/1352458515585718. Epub 2015 Jun 3.
3
Effects of virtual reality environments on overground walking in people with Parkinson disease and freezing of gait.虚拟现实环境对帕金森病患者地面行走及步态冻结的影响。
Disabil Rehabil Assist Technol. 2023 Apr;18(3):266-273. doi: 10.1080/17483107.2020.1842920. Epub 2020 Nov 6.
4
Virtual reality doorway and hallway environments alter gait kinematics in people with Parkinson disease and freezing.虚拟现实门道和走廊环境改变帕金森病和冻结患者的步态运动学。
Gait Posture. 2022 Feb;92:442-448. doi: 10.1016/j.gaitpost.2021.12.013. Epub 2021 Dec 11.
5
Virtual reality-enhanced walking in people post-stroke: effect of optic flow speed and level of immersion on the gait biomechanics.虚拟现实增强步行在脑卒中后患者中的应用:视景速度和沉浸水平对步态生物力学的影响。
J Neuroeng Rehabil. 2023 Sep 25;20(1):124. doi: 10.1186/s12984-023-01254-0.
6
Immersive virtual reality during gait rehabilitation increases walking speed and motivation: a usability evaluation with healthy participants and patients with multiple sclerosis and stroke.沉浸式虚拟现实步态康复可提高步行速度和积极性:一项针对健康参与者以及多发性硬化症和中风患者的可用性评估。
J Neuroeng Rehabil. 2021 Apr 22;18(1):68. doi: 10.1186/s12984-021-00848-w.
7
Immersive virtual reality and antigravity treadmill training for gait rehabilitation in Parkinson's disease: a pilot and feasibility study.沉浸式虚拟现实与反重力跑步机训练在帕金森病步态康复中的应用:一项先导与可行性研究。
Rev Neurol. 2020 Dec 16;71(12):447-454. doi: 10.33588/rn.7112.2020352.
8
Virtual Reality Meditation for Fatigue in Persons With Rheumatoid Arthritis: Mixed Methods Pilot Study.虚拟现实冥想对类风湿关节炎患者疲劳的影响:混合方法初步研究
JMIR Form Res. 2023 Oct 17;7:e46209. doi: 10.2196/46209.
9
Virtual Reality as a Therapy Tool for Walking Activities in Pediatric Neurorehabilitation: Usability and User Experience Evaluation.虚拟现实作为儿科神经康复中步行活动的治疗工具:可用性和用户体验评估。
JMIR Serious Games. 2022 Jul 14;10(3):e38509. doi: 10.2196/38509.
10
Walking in fully immersive virtual environments: an evaluation of potential adverse effects in older adults and individuals with Parkinson's disease.在完全沉浸式虚拟环境中行走:对老年人和帕金森病患者潜在不良影响的评估。
J Neuroeng Rehabil. 2017 Feb 21;14(1):16. doi: 10.1186/s12984-017-0225-2.

引用本文的文献

1
Better Understanding Rehabilitation of Motor Symptoms: Insights from the Use of Wearables.更好地理解运动症状的康复:可穿戴设备应用带来的见解
Pragmat Obs Res. 2025 Mar 19;16:67-93. doi: 10.2147/POR.S396198. eCollection 2025.
2
Operationalizing goal setting as an outcome measure in trials involving patients with frailty, multimorbidity or complexity.在涉及虚弱、多病或复杂病情患者的试验中,将目标设定作为一种结果指标加以实施。
Contemp Clin Trials Commun. 2024 Dec 7;43:101411. doi: 10.1016/j.conctc.2024.101411. eCollection 2025 Feb.
3
The Ziegler Test Is Reliable and Valid for Measuring Freezing of Gait in People With Parkinson Disease.

本文引用的文献

1
Freezing of Gait in Parkinson's Disease: Risk Factors, Their Interactions, and Associated Nonmotor Symptoms.帕金森病中的冻结步态:危险因素、它们之间的相互作用以及相关的非运动症状。
Parkinsons Dis. 2021 Jan 12;2021:8857204. doi: 10.1155/2021/8857204. eCollection 2021.
2
Behavioural manifestations and associated non-motor features of freezing of gait: A narrative review and theoretical framework.步态冻结的行为表现及相关非运动特征:一项叙述性综述与理论框架
Neurosci Biobehav Rev. 2020 Sep;116:350-364. doi: 10.1016/j.neubiorev.2020.06.026. Epub 2020 Jun 27.
3
Advantages of timing the duration of a freezing of gait-provoking test in individuals with Parkinson's disease.
Ziegler 测试可用于可靠且有效地测量帕金森病患者的步态冻结。
Phys Ther. 2022 Dec 6;102(12). doi: 10.1093/ptj/pzac122.
4
Recent Trends and Practices Toward Assessment and Rehabilitation of Neurodegenerative Disorders: Insights From Human Gait.神经退行性疾病评估与康复的最新趋势和实践:来自人类步态的见解
Front Neurosci. 2022 Apr 15;16:859298. doi: 10.3389/fnins.2022.859298. eCollection 2022.
探讨帕金森病患者冻结步态诱发试验冻结持续时间的意义。
J Neurol. 2020 Sep;267(9):2582-2588. doi: 10.1007/s00415-020-09856-7. Epub 2020 May 7.
4
Cognitively Challenging Agility Boot Camp Program for Freezing of Gait in Parkinson Disease.帕金森病冻结步态的认知挑战敏捷训练营计划。
Neurorehabil Neural Repair. 2020 May;34(5):417-427. doi: 10.1177/1545968320909331. Epub 2020 Apr 4.
5
The New Freezing of Gait Questionnaire: Unsuitable as an Outcome in Clinical Trials?新型步态冻结问卷:不适用于临床试验的结果指标?
Mov Disord Clin Pract. 2020 Jan 14;7(2):199-205. doi: 10.1002/mdc3.12893. eCollection 2020 Feb.
6
Physical Therapy for Freezing of Gait and Gait Impairments in Parkinson Disease: A Systematic Review.帕金森病冻结步态和步态障碍的物理治疗:系统评价。
PM R. 2020 Nov;12(11):1140-1156. doi: 10.1002/pmrj.12337. Epub 2020 May 19.
7
Effectiveness of Physiotherapy on Freezing of Gait in Parkinson's Disease: A Systematic Review and Meta-Analyses.物理疗法对帕金森病冻结步态的疗效:系统评价和荟萃分析。
Mov Disord. 2020 Apr;35(4):523-536. doi: 10.1002/mds.27936. Epub 2019 Dec 4.
8
Nonpharmacological, nonsurgical treatments for freezing of gait in Parkinson's disease: A systematic review.帕金森病冻结步态的非药物、非手术治疗:系统评价。
Mov Disord. 2020 Feb;35(2):204-214. doi: 10.1002/mds.27913. Epub 2019 Nov 26.
9
Freezing of gait: understanding the complexity of an enigmatic phenomenon.冻结步态:理解这一神秘现象的复杂性。
Brain. 2020 Jan 1;143(1):14-30. doi: 10.1093/brain/awz314.
10
How to Annotate Freezing of Gait from Video: A Standardized Method Using Open-Source Software.如何从视频中标注步态冻结:使用开源软件的标准化方法。
J Parkinsons Dis. 2019;9(4):821-824. doi: 10.3233/JPD-191700.