Suppr超能文献

使用真实患者数据对用于奥曲泊帕的网络可及群体药代动力学服务-血友病(WAPPS-Hemo)模型进行外部验证。

External qualification of the Web-Accessible Population Pharmacokinetic Service-Hemophilia (WAPPS-Hemo) models for octocog alfa using real patient data.

作者信息

Chelle Pierre, Hajducek Dagmar, Mahdi Mohammed, Young Stuart, Iorio Alfonso, Silvertown Josh, Edginton Andrea

机构信息

School of Pharmacy University of Waterloo Waterloo ON Canada.

Bayer, Mississauga ON Canada.

出版信息

Res Pract Thromb Haemost. 2021 Nov 2;5(7):e12599. doi: 10.1002/rth2.12599. eCollection 2021 Oct.

Abstract

BACKGROUND

Existing adult patient pharmacokinetic (PK) data from the published Advate vs Kovaltry PK crossover study were used for this validation study. This data set is appropriate for qualification, given that it has not been previously submitted to Web-Accessible Population Pharmacokinetic Service-Hemophilia (WAPPS-Hemo) and will not have impacted the WAPPS-Hemo models for Kovaltry.

OBJECTIVE

To compare the population PK parameters for Kovaltry (BAY 81-8973) derived from the WAPPS-Hemo models with PK parameters derived from noncompartmental analysis (NCA), using a validation PK dataset.

METHODS

The qualification data set included Kovaltry factor activity (10 samples per infusion) and anthropometric data for 18 patients. Two analyses were performed comparison of Bayesian forecasting from the WAPPS-Hemo models versus NCA using the full 10-sample data set; and comparison of Bayesian forecasting using the full versus reduced 4- and 3-sample data sets. Agreement between outcomes was assessed by quantifying the variability and bias of the error.

RESULTS

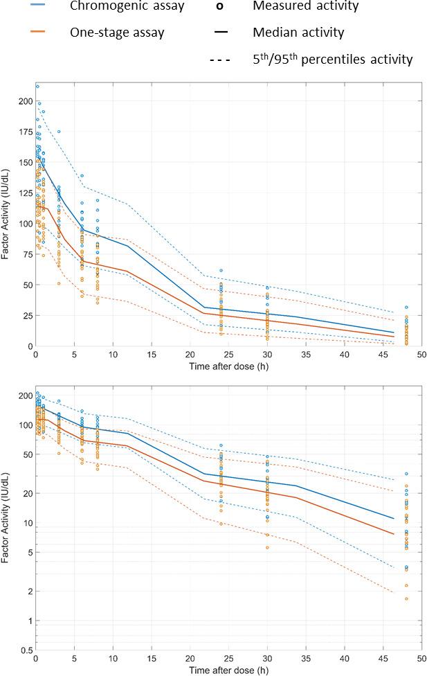
Comparison of WAPPS-Hemo models versus NCA led to well-correlated outcomes despite a systematic overprediction of clearance. Population PK models demonstrated greater consistency with NCA on one-stage data, compared with chromogenic data. WAPPS-Hemo model results were consistent in reduced sampling compared to full sampling. Inclusion of a 48-hour time point in the reduced sampling greatly improved the consistency with full sampling.

DISCUSSION

Qualification of population PK models and their use for Bayesian forecasting in full and reduced sampling is an essential step toward their validation. The evaluations performed in this study support the confidence of PK parameter estimates provided by the models.

摘要

背景

本验证研究使用了已发表的Advate与Kovaltry药代动力学(PK)交叉研究中的现有成年患者PK数据。鉴于该数据集此前未提交至网络可及人群药代动力学服务-血友病(WAPPS-Hemo),且不会影响Kovaltry的WAPPS-Hemo模型,因此适合进行验证。

目的

使用验证性PK数据集,比较WAPPS-Hemo模型得出的Kovaltry(BAY 81-8973)人群PK参数与非房室分析(NCA)得出的PK参数。

方法

验证数据集包括18例患者的Kovaltry因子活性(每次输注10个样本)和人体测量数据。进行了两项分析:使用完整的10样本数据集比较WAPPS-Hemo模型与NCA的贝叶斯预测;比较使用完整、减少至4样本和3样本数据集的贝叶斯预测。通过量化误差的变异性和偏差来评估结果之间的一致性。

结果

尽管对清除率存在系统性高估,但WAPPS-Hemo模型与NCA的比较结果相关性良好。与显色数据相比,人群PK模型在单阶段数据上与NCA表现出更高的一致性。与全采样相比,WAPPS-Hemo模型在减少采样时结果一致。在减少采样中纳入48小时时间点极大地提高了与全采样的一致性。

讨论

人群PK模型的验证及其在全采样和减少采样中的贝叶斯预测应用是其验证的重要一步。本研究中进行的评估支持了模型提供的PK参数估计的可信度。

https://cdn.ncbi.nlm.nih.gov/pmc/blobs/6aa1/8563921/e37601a66e55/RTH2-5-e12599-g001.jpg

文献AI研究员

20分钟写一篇综述,助力文献阅读效率提升50倍。

立即体验

用中文搜PubMed

大模型驱动的PubMed中文搜索引擎

马上搜索

文档翻译

学术文献翻译模型,支持多种主流文档格式。

立即体验