• 文献检索
  • 文档翻译
  • 深度研究
  • 学术资讯
  • Suppr Zotero 插件Zotero 插件
  • 邀请有礼
  • 套餐&价格
  • 历史记录
应用&插件
Suppr Zotero 插件Zotero 插件浏览器插件Mac 客户端Windows 客户端微信小程序
定价
高级版会员购买积分包购买API积分包
服务
文献检索文档翻译深度研究API 文档MCP 服务
关于我们
关于 Suppr公司介绍联系我们用户协议隐私条款
关注我们

Suppr 超能文献

核心技术专利:CN118964589B侵权必究
粤ICP备2023148730 号-1Suppr @ 2026

文献检索

告别复杂PubMed语法,用中文像聊天一样搜索,搜遍4000万医学文献。AI智能推荐,让科研检索更轻松。

立即免费搜索

文件翻译

保留排版,准确专业,支持PDF/Word/PPT等文件格式,支持 12+语言互译。

免费翻译文档

深度研究

AI帮你快速写综述,25分钟生成高质量综述,智能提取关键信息,辅助科研写作。

立即免费体验

评价吡啶吡唑衍生物对脂多糖诱导的小鼠 RAW264.7 巨噬细胞前列腺素 E2 产生和一氧化氮的抑制作用。

Evaluation of the Inhibitory Effects of Pyridylpyrazole Derivatives on LPS-Induced PGE Productions and Nitric Oxide in Murine RAW 264.7 Macrophages.

机构信息

National Research Centre, Pharmaceutical and Drug Industries Research Division, Dokki-Giza 12622, Egypt.

Department of Medicinal Chemistry, College of Pharmacy, University of Sharjah, Sharjah 27272, United Arab Emirates.

出版信息

Molecules. 2021 Oct 27;26(21):6489. doi: 10.3390/molecules26216489.

DOI:10.3390/molecules26216489
PMID:34770896
原文链接:https://pmc.ncbi.nlm.nih.gov/articles/PMC8587869/
Abstract

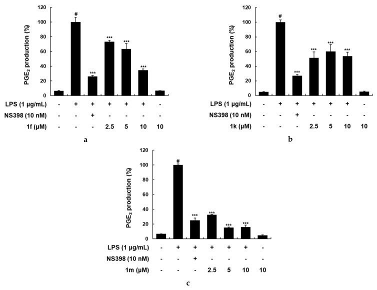
A series of thirteen triarylpyrazole analogs were investigated as inhibitors of lipopolysaccharide (LPS)-induced prostaglandin E (PGE) and nitric oxide (NO) production in RAW 264.7 macrophages. The target compounds - have first been assessed for cytotoxicity against RAW 264.7 macrophages to determine their non-cytotoxic concentration(s) for anti-inflammatory testing to make sure that the inhibition of PGE and NO production would not be caused by cytotoxicity. It was found that compounds and were the most potent PGE inhibitors with IC values of 7.1 and 1.1 μM, respectively. In addition, these compounds also showed inhibitory effects of 11.6% and 37.19% on LPS-induced NO production, respectively. The western blots analysis of COX-2 and iNOS showed that the PGE and NO inhibitory effect of compound are attributed to inhibition of COX-2 and iNOS protein expression through inactivation of p38.

摘要

我们研究了一系列十三元三芳基吡唑类似物,以评估它们对 RAW 264.7 巨噬细胞中脂多糖 (LPS) 诱导的前列腺素 E (PGE) 和一氧化氮 (NO) 产生的抑制作用。这些靶化合物首先被评估对 RAW 264.7 巨噬细胞的细胞毒性,以确定其用于抗炎测试的非细胞毒性浓度,以确保 PGE 和 NO 产生的抑制作用不是由细胞毒性引起的。结果发现,化合物 和 是最有效的 PGE 抑制剂,IC 值分别为 7.1 和 1.1 μM。此外,这些化合物对 LPS 诱导的 NO 产生的抑制作用分别为 11.6%和 37.19%。COX-2 和 iNOS 的 Western blot 分析表明,化合物 的 PGE 和 NO 抑制作用归因于通过失活 p38 抑制 COX-2 和 iNOS 蛋白表达。

https://cdn.ncbi.nlm.nih.gov/pmc/blobs/d847/8587869/72a08f0fe03b/molecules-26-06489-g004.jpg
https://cdn.ncbi.nlm.nih.gov/pmc/blobs/d847/8587869/c0ff51f80d8e/molecules-26-06489-g001.jpg
https://cdn.ncbi.nlm.nih.gov/pmc/blobs/d847/8587869/b8ca784b1abe/molecules-26-06489-sch001.jpg
https://cdn.ncbi.nlm.nih.gov/pmc/blobs/d847/8587869/0a0837543699/molecules-26-06489-g002.jpg
https://cdn.ncbi.nlm.nih.gov/pmc/blobs/d847/8587869/d1722779408d/molecules-26-06489-g003.jpg
https://cdn.ncbi.nlm.nih.gov/pmc/blobs/d847/8587869/72a08f0fe03b/molecules-26-06489-g004.jpg
https://cdn.ncbi.nlm.nih.gov/pmc/blobs/d847/8587869/c0ff51f80d8e/molecules-26-06489-g001.jpg
https://cdn.ncbi.nlm.nih.gov/pmc/blobs/d847/8587869/b8ca784b1abe/molecules-26-06489-sch001.jpg
https://cdn.ncbi.nlm.nih.gov/pmc/blobs/d847/8587869/0a0837543699/molecules-26-06489-g002.jpg
https://cdn.ncbi.nlm.nih.gov/pmc/blobs/d847/8587869/d1722779408d/molecules-26-06489-g003.jpg
https://cdn.ncbi.nlm.nih.gov/pmc/blobs/d847/8587869/72a08f0fe03b/molecules-26-06489-g004.jpg

相似文献

1
Evaluation of the Inhibitory Effects of Pyridylpyrazole Derivatives on LPS-Induced PGE Productions and Nitric Oxide in Murine RAW 264.7 Macrophages.评价吡啶吡唑衍生物对脂多糖诱导的小鼠 RAW264.7 巨噬细胞前列腺素 E2 产生和一氧化氮的抑制作用。
Molecules. 2021 Oct 27;26(21):6489. doi: 10.3390/molecules26216489.
2
Inhibitory effects of triarylpyrazole derivatives on LPS-induced nitric oxide and PGE productions in murine RAW 264.7 macrophages.三芳基吡唑衍生物对 LPS 诱导的 RAW 264.7 巨噬细胞一氧化氮和 PGE 产生的抑制作用。
Bioorg Med Chem Lett. 2020 Feb 15;30(4):126884. doi: 10.1016/j.bmcl.2019.126884. Epub 2019 Dec 10.
3
Synthesis of New Tricyclic and Tetracyclic Fused Coumarin Sulfonate Derivatives and Their Inhibitory Effects on LPS-Induced Nitric Oxide and PGE Productions in RAW 264.7 Macrophages: Part 2.新型三环和四环稠合香豆素磺酸盐衍生物的合成及其对RAW 264.7巨噬细胞中脂多糖诱导的一氧化氮和前列腺素E生成的抑制作用:第2部分。
Arch Pharm (Weinheim). 2016 Nov;349(11):853-863. doi: 10.1002/ardp.201600243. Epub 2016 Oct 24.
4
Synthesis of New Triarylpyrazole Derivatives Possessing Terminal Sulfonamide Moiety and Their Inhibitory Effects on PGE₂ and Nitric Oxide Productions in Lipopolysaccharide-Induced RAW 264.7 Macrophages.新型三芳基吡唑衍生物的合成及其对脂多糖诱导的 RAW 264.7 巨噬细胞中 PGE₂和一氧化氮生成的抑制作用。
Molecules. 2018 Oct 7;23(10):2556. doi: 10.3390/molecules23102556.
5
Constituents of PG201 (Layla(®)), a multi-component phytopharmaceutical, with inhibitory activity on LPS-induced nitric oxide and prostaglandin E2 productions in macrophages.PG201(Layla(®))的成分,一种多成分植物药,对巨噬细胞中脂多糖诱导的一氧化氮和前列腺素E2生成具有抑制活性。
Arch Pharm Res. 2016 Feb;39(2):231-239. doi: 10.1007/s12272-015-0654-z. Epub 2015 Aug 26.
6
In vitro and in vivo therapeutics of β-thujaplicin on LPS-induced inflammation in macrophages and septic shock in mice.β-崖柏素在 LPS 诱导的巨噬细胞炎症和小鼠脓毒性休克中的体内外治疗作用。
Int J Immunopathol Pharmacol. 2012 Jan-Mar;25(1):39-48. doi: 10.1177/039463201202500106.
7
Synthesis of tricyclic fused coumarin sulfonates and their inhibitory effects on LPS-induced nitric oxide and PGE2 productions in RAW 264.7 macrophages.三并环合香豆素磺酸盐的合成及其对 LPS 诱导的 RAW 264.7 巨噬细胞中一氧化氮和 PGE2 产生的抑制作用。
Bioorg Med Chem Lett. 2014 Jan 15;24(2):571-5. doi: 10.1016/j.bmcl.2013.12.018. Epub 2013 Dec 10.
8
Identification and structure activity relationship of novel flavone derivatives that inhibit the production of nitric oxide and PGE in LPS-induced RAW 264.7 cells.抑制脂多糖诱导的RAW 264.7细胞中一氧化氮和前列腺素E产生的新型黄酮衍生物的鉴定及其构效关系
Bioorg Med Chem Lett. 2017 Jun 1;27(11):2613-2616. doi: 10.1016/j.bmcl.2017.03.057. Epub 2017 Mar 28.
9
Inhibition of nitric oxide synthase inhibitors and lipopolysaccharide induced inducible NOS and cyclooxygenase-2 gene expressions by rutin, quercetin, and quercetin pentaacetate in RAW 264.7 macrophages.芦丁、槲皮素和槲皮素五乙酸酯对一氧化氮合酶抑制剂和脂多糖诱导的RAW 264.7巨噬细胞中诱导型一氧化氮合酶和环氧合酶-2基因表达的抑制作用。
J Cell Biochem. 2001;82(4):537-48. doi: 10.1002/jcb.1184.
10
Acetylbritannilatone suppresses NO and PGE2 synthesis in RAW 264.7 macrophages through the inhibition of iNOS and COX-2 gene expression.乙酰不列颠内酯通过抑制诱导型一氧化氮合酶(iNOS)和环氧化酶-2(COX-2)基因表达来抑制RAW 264.7巨噬细胞中一氧化氮(NO)和前列腺素E2(PGE2)的合成。
Life Sci. 2004 Jun 25;75(6):675-84. doi: 10.1016/j.lfs.2003.12.022.

引用本文的文献

1
Designing Next-Generation Drug-like Molecules for Medicinal Applications.设计用于药物应用的下一代类药性分子。
Molecules. 2023 Feb 16;28(4):1860. doi: 10.3390/molecules28041860.

本文引用的文献

1
Current status and future prospects of p38α/MAPK14 kinase and its inhibitors.p38α/MAPK14 激酶及其抑制剂的研究现状及展望。
Eur J Med Chem. 2021 Mar 5;213:113216. doi: 10.1016/j.ejmech.2021.113216. Epub 2021 Jan 22.
2
Design, synthesis, potent antiproliferative activity, and kinase inhibitory effects of new triarylpyrazole derivatives possessing different heterocycle terminal moieties.新型含不同杂环末端基团的三芳基吡唑衍生物的设计、合成、强增殖抑制活性和激酶抑制作用。
J Enzyme Inhib Med Chem. 2019 Dec;34(1):1534-1543. doi: 10.1080/14756366.2019.1653292.
3
The crucial roles of inflammatory mediators in inflammation: A review.
炎症介质在炎症中的关键作用:综述
Vet World. 2018 May;11(5):627-635. doi: 10.14202/vetworld.2018.627-635. Epub 2018 May 15.
4
Synthesis, anti-inflammatory, analgesic, 5-lipoxygenase (5-LOX) inhibition activities, and molecular docking study of 7-substituted coumarin derivatives.7-取代香豆素衍生物的合成、抗炎、镇痛、5-脂氧合酶(5-LOX)抑制活性及分子对接研究
Bioorg Chem. 2016 Aug;67:130-8. doi: 10.1016/j.bioorg.2016.06.004. Epub 2016 Jun 17.
5
Synthesis, in vitro Antiproliferative and Antiinflammatory Activities, and Kinase Inhibitory effects of New 1,3,4-triarylpyrazole Derivatives.新型1,3,4-三芳基吡唑衍生物的合成、体外抗增殖和抗炎活性以及激酶抑制作用
Anticancer Agents Med Chem. 2017;17(1):75-84.
6
Anti-inflammatory coumarins with short- and long-chain hydrophobic groups from roots of Angelica dahurica cv. Hangbaizhi.来自杭白芷根的具有短链和长链疏水基团的抗炎香豆素。
Phytochemistry. 2016 Mar;123:58-68. doi: 10.1016/j.phytochem.2016.01.006. Epub 2016 Jan 14.
7
Novel coumarin-benzimidazole derivatives as antioxidants and safer anti-inflammatory agents.新型香豆素-苯并咪唑衍生物作为抗氧化剂和更安全的抗炎剂。
Acta Pharm Sin B. 2014 Oct;4(5):368-75. doi: 10.1016/j.apsb.2014.07.001. Epub 2014 Aug 10.
8
Cardiovascular properties of a nitric oxide releasing rofecoxib analogue: beneficial anti-hypertensive activity and enhanced recovery in an ischemic reperfusion injury model.
ChemMedChem. 2012 Aug;7(8):1365-8. doi: 10.1002/cmdc.201200234. Epub 2012 Jun 11.
9
Aspirin analogues as dual cyclooxygenase-2/5-lipoxygenase inhibitors: synthesis, nitric oxide release, molecular modeling, and biological evaluation as anti-inflammatory agents.阿司匹林类似物作为双重环氧化酶-2/5-脂氧合酶抑制剂:合成、一氧化氮释放、分子模拟及作为抗炎剂的生物评价。
ChemMedChem. 2012 Jan 2;7(1):144-50. doi: 10.1002/cmdc.201100460. Epub 2011 Nov 18.
10
Rofecoxib analogues possessing a nitric oxide donor sulfohydroxamic acid (SO2NHOH) cyclooxygenase-2 pharmacophore: synthesis, molecular modeling, and biological evaluation as anti-inflammatory agents.具有一氧化氮供体磺基异羟肟酸(SO2NHOH)环氧化酶-2药效基团的罗非昔布类似物:作为抗炎剂的合成、分子模拟及生物学评价
ChemMedChem. 2012 Jan 2;7(1):62-7. doi: 10.1002/cmdc.201100393. Epub 2011 Oct 11.