Li Xiaodong, Zou Meishuai, Lei Lisha, Xi Longhao
Beijing Institute of Technology, School of Materials Science and Engineering, Beijing 100081, China.
Polymers (Basel). 2021 Oct 27;13(21):3713. doi: 10.3390/polym13213713.
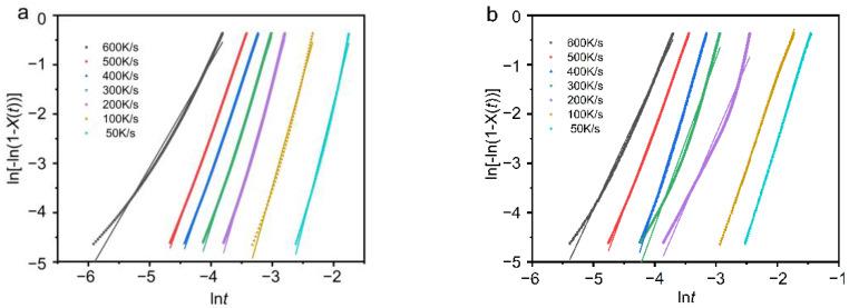
The non-isothermal crystallization behaviors of poly (ethylene glycol) (PEG) and poly (ethylene glycol)-b-poly(ε-caprolactone) (PEG-PCL) were investigated through a commercially available chip-calorimeter Flash DSC2+. The non-isothermal crystallization data under different cooling rates were analyzed by the Ozawa model, modified Avrami model, and Mo model. The results of the non-isothermal crystallization showed that the PCL block crystallized first, followed by the crystallization of the PEG block when the cooling rate was 50-200 K/s. However, only the PEG block can crystallize when the cooling rate is 300-600 K/s. The crystallization of PEG-PCL is completely inhibited when the cooling rate is 1000 K/s. The modified Avrami and Ozawa models were found to describe the non-isothermal crystallization processes well. The growth methods of PEG and PEG-PCL are both three-dimensional spherulitic growth. The Mo model shows that the crystallization rate of PEG is greater than that of PEG-PCL.
通过市售的芯片量热仪Flash DSC2+研究了聚乙二醇(PEG)和聚乙二醇-b-聚己内酯(PEG-PCL)的非等温结晶行为。采用Ozawa模型、修正的Avrami模型和Mo模型对不同冷却速率下的非等温结晶数据进行了分析。非等温结晶结果表明,当冷却速率为50-200 K/s时,PCL嵌段先结晶,随后PEG嵌段结晶。然而,当冷却速率为300-600 K/s时,只有PEG嵌段能够结晶。当冷却速率为1000 K/s时,PEG-PCL的结晶完全受到抑制。发现修正的Avrami模型和Ozawa模型能够很好地描述非等温结晶过程。PEG和PEG-PCL的生长方式均为三维球晶生长。Mo模型表明,PEG的结晶速率大于PEG-PCL的结晶速率。