Yu Sizhu, Li Xiaodong, Guo Xiaoyan, Li Zhiren, Zou Meishuai
School of Materials Science and Engineering, Beijing Institute of Technology, Beijing 100081, China.
Polymers (Basel). 2019 Jul 3;11(7):1137. doi: 10.3390/polym11071137.
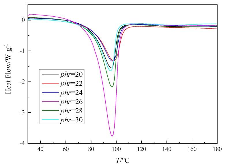
Buoyancy material is a type of low-density and high-strength composite material which can provide sufficient buoyancy with deep submersibles. A new buoyancy material with N,N,N',N'-tetraepoxypropyl-4,4'-diaminodiphenylmethane epoxy resin (AG-80) and m-xylylenediamine (m-XDA) curing agent as matrix and hollow glass microsphere (HGM) as the filler is prepared. The temperature and time of the curing process were determined by the calculations of thermal analysis kinetics (TAK) through differential scanning calorimetry (DSC) analysis. The results show that the better mass ratio of AG-80 with m-XDA is 100/26. Combined TAK calculations and experimental results lead to the following curing process: pre-curing at 75 °C for 2 h, curing at 90 °C for 2 h, and post-curing at 100 °C for 2 h. The bulk density, compressive strength, and saturated water absorption of AG-80 epoxy resin-based buoyancy material were 0.729 g/cm, 108.78 MPa, and 1.23%, respectively. Moreover, this type of buoyancy material can resist the temperature of 250 °C.
浮力材料是一种低密度、高强度的复合材料,可为深潜器提供足够的浮力。制备了一种以N,N,N',N'-四环氧丙基-4,4'-二氨基二苯甲烷环氧树脂(AG-80)和间苯二甲胺(m-XDA)固化剂为基体、空心玻璃微珠(HGM)为填料的新型浮力材料。通过差示扫描量热法(DSC)分析,利用热分析动力学(TAK)计算确定了固化过程的温度和时间。结果表明,AG-80与m-XDA的较佳质量比为100/26。结合TAK计算和实验结果得出如下固化工艺:75℃预固化2h,90℃固化2h,100℃后固化2h。AG-80环氧树脂基浮力材料的体积密度、抗压强度和饱和吸水率分别为0.729g/cm、108.78MPa和1.23%。此外,这种类型的浮力材料能够耐受250℃的温度。