Suppr超能文献

用于吸附亚甲蓝和药物的活性氧化石墨烯-海藻酸钙珠粒

Activated Graphene Oxide-Calcium Alginate Beads for Adsorption of Methylene Blue and Pharmaceuticals.

作者信息

Gunes Burcu, Jaquet Yannick, Sánchez Laura, Pumarino Rebecca, McGlade Declan, Quilty Brid, Morrissey Anne, Gholamvand Zahra, Nolan Kieran, Lawler Jenny

机构信息

DCU Water Institute, School of Biotechnology, Dublin City University, Glasnevin, D09 NA55 Dublin, Ireland.

Institut Technologie du vivant, University of Applied Sciences and Arts Western Switzerland, Rte de Moutier 14, 2800 Delémont, Switzerland.

出版信息

Materials (Basel). 2021 Oct 23;14(21):6343. doi: 10.3390/ma14216343.

Abstract

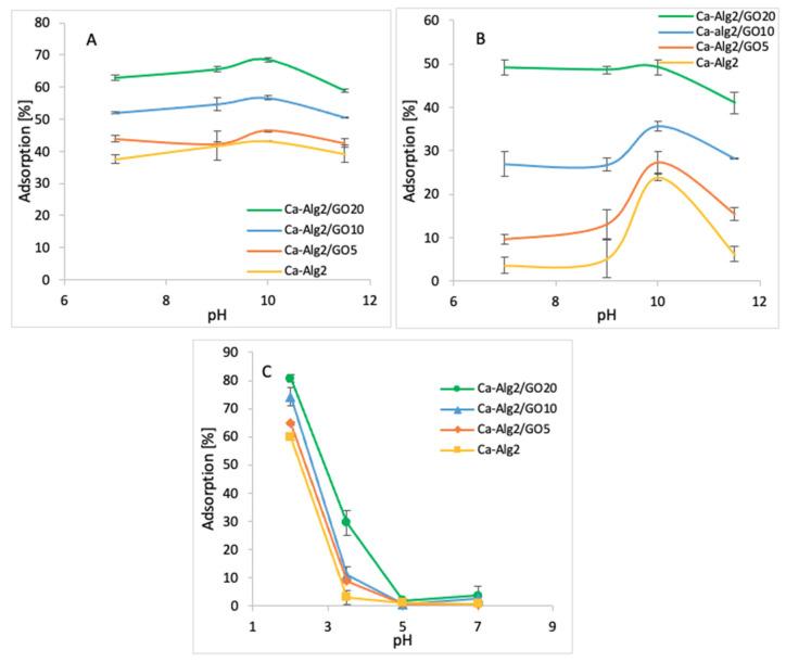
The remarkable adsorption capacity of graphene-derived materials has prompted their examination in composite materials suitable for deployment in treatment of contaminated waters. In this study, crosslinked calcium alginate-graphene oxide beads were prepared and activated by exposure to pH 4 by using 0.1M HCl. The activated beads were investigated as novel adsorbents for the removal of organic pollutants (methylene blue dye and the pharmaceuticals famotidine and diclofenac) with a range of physicochemical properties. The effects of initial pollutant concentration, temperature, pH, and adsorbent dose were investigated, and kinetic models were examined for fit to the data. The maximum adsorption capacities q obtained were 1334, 35.50 and 36.35 mg g for the uptake of methylene blue, famotidine and diclofenac, respectively. The equilibrium adsorption had an alignment with Langmuir isotherms, while the kinetics were most accurately modelled using pseudo- first-order and second order models according to the regression analysis. Thermodynamic parameters such as ΔG°, ΔH° and ΔS° were calculated and the adsorption process was determined to be exothermic and spontaneous.

摘要

石墨烯衍生材料卓越的吸附能力促使人们对其在适用于处理受污染水体的复合材料中的应用进行研究。在本研究中,制备了交联海藻酸钙-氧化石墨烯珠,并通过用0.1M盐酸将其暴露于pH 4来进行活化。对活化后的珠子作为新型吸附剂去除具有一系列物理化学性质的有机污染物(亚甲基蓝染料以及药物法莫替丁和双氯芬酸)的性能进行了研究。考察了初始污染物浓度、温度、pH值和吸附剂剂量的影响,并检验了动力学模型对数据的拟合情况。对于亚甲基蓝、法莫替丁和双氯芬酸的吸附,获得的最大吸附容量q分别为1334、35.50和36.35 mg/g。平衡吸附符合朗缪尔等温线,而根据回归分析,动力学最准确的模型为拟一级和二级模型。计算了诸如ΔG°、ΔH°和ΔS°等热力学参数,确定吸附过程为放热且自发过程。

https://cdn.ncbi.nlm.nih.gov/pmc/blobs/44e8/8585342/46184a7b489e/materials-14-06343-g0A1.jpg

文献AI研究员

20分钟写一篇综述,助力文献阅读效率提升50倍。

立即体验

用中文搜PubMed

大模型驱动的PubMed中文搜索引擎

马上搜索

文档翻译

学术文献翻译模型,支持多种主流文档格式。

立即体验