Madson Austin, Sheng Yongwei
Department of Geography, University of California, Los Angeles (UCLA), 1255 Bunche Hall, Box 951524, Los Angeles, CA 90095 USA.
Environ Earth Sci. 2021;80(7):286. doi: 10.1007/s12665-021-09591-w. Epub 2021 Mar 28.
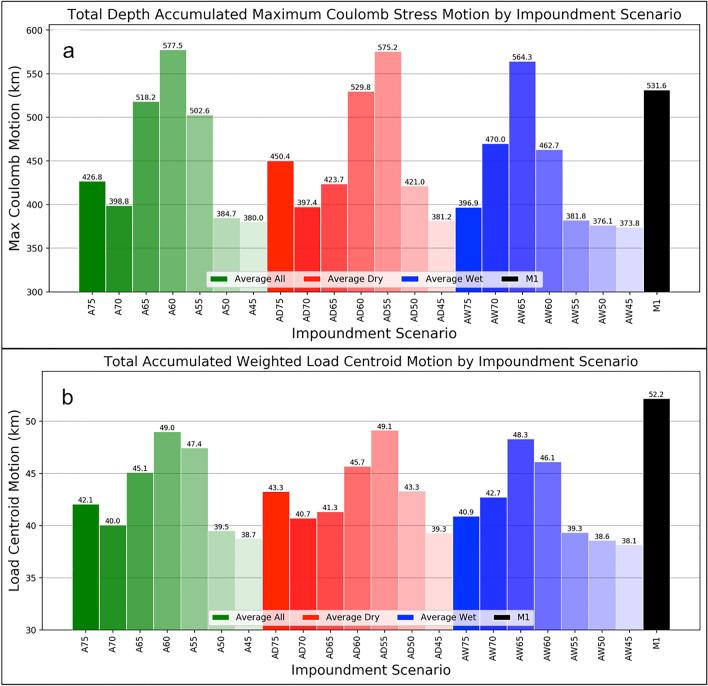
Increased demand for power generation coupled with changing seasonal water uncertainty has caused a worldwide increase in the construction of large hydrologic engineering structures. That said, the soon-to-be-completed Grand Ethiopian Renaissance Dam (GERD) will impound the Blue Nile River in Western Ethiopia and its reservoir will encompass ~ 1763 km and store ~ 67 Gt (km) of surface water. The impoundment will undergo maximum seasonal load changes of ~ 28 to ~ 36 Gt during projected seasonal hydroelectric operations. The GERD impoundment will cause significant subsurficial stresses, and could possibly trigger seismicity in the region. This study examines Coulomb stress and hydrologic load centroid movements for several GERD impoundment and operational scenarios. The maximum subsurficial Coulomb stress applied on optimally oriented fault planes from the full impoundment is ~ 186 kPa and over 30% of our model domain incurs Coulomb stresses ≥ 10 kPa, regardless of the impoundment period length. The main driver behind Coulomb stress and load centroid motion during impoundment is the annual, accumulated daily reservoir storage change. The maximum Coulomb stresses from the highest amplitude season of five long-term operational scenarios are around 36, 33, 29, 41, and 24% of the total maximum stresses from the entire GERD impoundment. Variations in annual Coulomb stresses during modeled GERD operations are attributed to the seasonal load per unit area, and partially to the initial seasonal water level. The spatial patterns and amplitudes of these stress tensors are closely linked to both the size and timing of GERD inflow/outflow rates, and an improved understanding of the magnitude and extent of these stresses provides useful information to water managers to better understand potential reservoir triggered seismic events from several different operational and impoundment strategies.
The online version contains supplementary material available at 10.1007/s12665-021-09591-w.
发电需求的增加以及季节性水资源不确定性的变化,导致全球范围内大型水文工程结构的建设有所增加。话虽如此,即将完工的埃塞俄比亚复兴大坝(GERD)将拦截埃塞俄比亚西部的青尼罗河,其水库将占地约1763平方千米,蓄水量约为67立方千米。在预计的季节性水电运营期间,蓄水将经历约28至36亿吨的最大季节性负荷变化。GERD蓄水将导致显著的地下应力,并可能引发该地区的地震活动。本研究考察了GERD蓄水及运行的几种情景下的库仑应力和水文负荷质心运动。全蓄水时施加在最佳定向断层面上的最大地下库仑应力约为186千帕,无论蓄水期长短,我们模型域中超过30%的区域承受的库仑应力≥10千帕。蓄水期间库仑应力和负荷质心运动的主要驱动因素是每年累计的每日水库蓄水量变化。五个长期运行情景中最高振幅季节的最大库仑应力约为GERD全蓄水总最大应力的36%、33%、29%、41%和24%。模拟的GERD运行期间年库仑应力的变化归因于单位面积的季节性负荷,部分归因于初始季节性水位。这些应力张量的空间模式和振幅与GERD流入/流出速率的大小和时间密切相关,更好地了解这些应力的大小和范围可为水资源管理者提供有用信息,以便他们从几种不同的运行和蓄水策略中更好地理解潜在的水库诱发地震事件。
在线版本包含可在10.1007/s12665-021-09591-w获取的补充材料。