• 文献检索
  • 文档翻译
  • 深度研究
  • 学术资讯
  • Suppr Zotero 插件Zotero 插件
  • 邀请有礼
  • 套餐&价格
  • 历史记录
应用&插件
Suppr Zotero 插件Zotero 插件浏览器插件Mac 客户端Windows 客户端微信小程序
定价
高级版会员购买积分包购买API积分包
服务
文献检索文档翻译深度研究API 文档MCP 服务
关于我们
关于 Suppr公司介绍联系我们用户协议隐私条款
关注我们

Suppr 超能文献

核心技术专利:CN118964589B侵权必究
粤ICP备2023148730 号-1Suppr @ 2026

文献检索

告别复杂PubMed语法,用中文像聊天一样搜索,搜遍4000万医学文献。AI智能推荐,让科研检索更轻松。

立即免费搜索

文件翻译

保留排版,准确专业,支持PDF/Word/PPT等文件格式,支持 12+语言互译。

免费翻译文档

深度研究

AI帮你快速写综述,25分钟生成高质量综述,智能提取关键信息,辅助科研写作。

立即免费体验

两种磷酸钛基质子导体的晶体结构:从头算结构解析与材料性能

Crystal Structures of Two Titanium Phosphate-Based Proton Conductors: Ab Initio Structure Solution and Materials Properties.

作者信息

Petersen Hilke, Stegmann Niklas, Fischer Michael, Zibrowius Bodo, Radev Ivan, Philippi Wladimir, Schmidt Wolfgang, Weidenthaler Claudia

机构信息

Heterogeneous Catalysis, Max-Planck-Institut für Kohlenforschung, Kaiser-Wilhelm-Platz 1, 45470 Mülheim an der Ruhr, Germany.

MAPEX Center for Materials and Processes, University of Bremen, 28334 Bremen, Germany.

出版信息

Inorg Chem. 2022 Feb 7;61(5):2379-2390. doi: 10.1021/acs.inorgchem.1c02613. Epub 2021 Nov 22.

DOI:10.1021/acs.inorgchem.1c02613
PMID:34807595
原文链接:https://pmc.ncbi.nlm.nih.gov/articles/PMC8826274/
Abstract

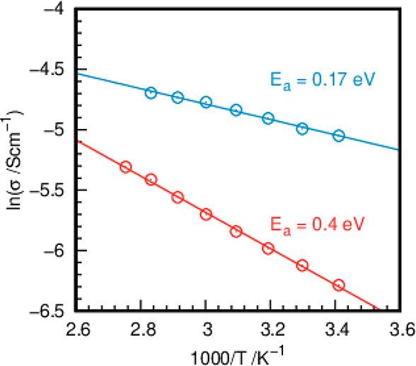
Transition-metal phosphates show a wide range of chemical compositions, variations of the valence states, and crystal structures. They are commercially used as solid-state catalysts, cathode materials in rechargeable batteries, or potential candidates for proton-exchange membranes in fuel cells. Here, we report on the successful ab initio structure determination of two novel titanium pyrophosphates, Ti(III)p and Ti(IV)p, from powder X-ray diffraction (PXRD) data. The low-symmetry space groups 2/ for Ti(III)p and 1̅ for Ti(IV)p required the combination of spectroscopic and diffraction techniques for structure determination. In Ti(III)p, trivalent titanium ions occupy the center of TiO polyhedra, coordinated by five pyrophosphate groups, one of them as a bidentate ligand. This secondary coordination causes the formation of one-dimensional six-membered ring channels with a diameter of 3.93(2) Å, which is stabilized by NH ions. Annealing Ti(III)p in inert atmospheres results in the formation of a new compound, denoted as Ti(IV)p. The structure of this compound shows a similar three-dimensional framework consisting of [PO] tetrahedra and TiO octahedra and an empty one-dimensional channel with a diameter of 5.07(1) Å. The PXRD of the transformation of Ti(III)p to Ti(IV)p reveals a two-step mechanism, i.e., the decomposition of NH ions in a first step and subsequent structure relaxation. The specific proton conductivity and activation energy of the proton migration of Ti(III)p, governed by the Grotthus mechanism, belong to the highest and lowest, respectively, ever reported for this class of materials, which reveals its potential application in electrochemical devices like fuel cells and water electrolyzers in the intermediate temperature range.

摘要

过渡金属磷酸盐具有广泛的化学成分、价态变化和晶体结构。它们在商业上用作固态催化剂、可充电电池的阴极材料或燃料电池中质子交换膜的潜在候选材料。在此,我们报告了从粉末X射线衍射(PXRD)数据成功从头算确定两种新型焦磷酸钛Ti(III)p和Ti(IV)p的结构。Ti(III)p的低对称空间群为2/,Ti(IV)p的为1̅,这需要结合光谱和衍射技术来确定结构。在Ti(III)p中,三价钛离子占据TiO多面体的中心,由五个焦磷酸基团配位,其中一个作为双齿配体。这种二级配位导致形成直径为3.93(2) Å的一维六元环通道,该通道由NH离子稳定。在惰性气氛中对Ti(III)p进行退火会导致形成一种新化合物,记为Ti(IV)p。该化合物的结构显示出类似的三维骨架,由[PO]四面体和TiO八面体组成,以及一个直径为5.07(1) Å的空一维通道。Ti(III)p向Ti(IV)p转变的PXRD揭示了一种两步机制,即第一步中NH离子的分解以及随后的结构弛豫。由Grotthus机制控制的Ti(III)p的比质子电导率和质子迁移活化能分别属于这类材料中报道过的最高和最低值,这揭示了其在中温范围内的燃料电池和水电解槽等电化学装置中的潜在应用。

https://cdn.ncbi.nlm.nih.gov/pmc/blobs/8201/8826274/91206df06843/ic1c02613_0011.jpg
https://cdn.ncbi.nlm.nih.gov/pmc/blobs/8201/8826274/feae8f10da35/ic1c02613_0001.jpg
https://cdn.ncbi.nlm.nih.gov/pmc/blobs/8201/8826274/1bf4367b9c5d/ic1c02613_0002.jpg
https://cdn.ncbi.nlm.nih.gov/pmc/blobs/8201/8826274/336b1a51f4a5/ic1c02613_0003.jpg
https://cdn.ncbi.nlm.nih.gov/pmc/blobs/8201/8826274/796101b7d0ef/ic1c02613_0004.jpg
https://cdn.ncbi.nlm.nih.gov/pmc/blobs/8201/8826274/765a544330b2/ic1c02613_0005.jpg
https://cdn.ncbi.nlm.nih.gov/pmc/blobs/8201/8826274/07c4ff1b3774/ic1c02613_0006.jpg
https://cdn.ncbi.nlm.nih.gov/pmc/blobs/8201/8826274/e9848c8bbefe/ic1c02613_0007.jpg
https://cdn.ncbi.nlm.nih.gov/pmc/blobs/8201/8826274/72e59eaec972/ic1c02613_0008.jpg
https://cdn.ncbi.nlm.nih.gov/pmc/blobs/8201/8826274/91206df06843/ic1c02613_0011.jpg
https://cdn.ncbi.nlm.nih.gov/pmc/blobs/8201/8826274/feae8f10da35/ic1c02613_0001.jpg
https://cdn.ncbi.nlm.nih.gov/pmc/blobs/8201/8826274/1bf4367b9c5d/ic1c02613_0002.jpg
https://cdn.ncbi.nlm.nih.gov/pmc/blobs/8201/8826274/336b1a51f4a5/ic1c02613_0003.jpg
https://cdn.ncbi.nlm.nih.gov/pmc/blobs/8201/8826274/796101b7d0ef/ic1c02613_0004.jpg
https://cdn.ncbi.nlm.nih.gov/pmc/blobs/8201/8826274/765a544330b2/ic1c02613_0005.jpg
https://cdn.ncbi.nlm.nih.gov/pmc/blobs/8201/8826274/07c4ff1b3774/ic1c02613_0006.jpg
https://cdn.ncbi.nlm.nih.gov/pmc/blobs/8201/8826274/e9848c8bbefe/ic1c02613_0007.jpg
https://cdn.ncbi.nlm.nih.gov/pmc/blobs/8201/8826274/72e59eaec972/ic1c02613_0008.jpg
https://cdn.ncbi.nlm.nih.gov/pmc/blobs/8201/8826274/91206df06843/ic1c02613_0011.jpg

相似文献

1
Crystal Structures of Two Titanium Phosphate-Based Proton Conductors: Ab Initio Structure Solution and Materials Properties.两种磷酸钛基质子导体的晶体结构:从头算结构解析与材料性能
Inorg Chem. 2022 Feb 7;61(5):2379-2390. doi: 10.1021/acs.inorgchem.1c02613. Epub 2021 Nov 22.
2
Kinetic products in coordination networks: ab initio X-ray powder diffraction analysis.配合物网络中的动力学产物:从头算 X 射线粉末衍射分析。
Acc Chem Res. 2013 Feb 19;46(2):493-505. doi: 10.1021/ar300212v. Epub 2012 Dec 19.
3
Preparation and crystal structure of K2Ce(PO4)2: a new complex phosphate of Ce(iv) having structure with one-dimensional channels.K2Ce(PO4)2的制备与晶体结构:一种具有一维通道结构的新型铈(IV)复合磷酸盐。
Dalton Trans. 2016 Jan 21;45(3):980-91. doi: 10.1039/c5dt03288a.
4
Insight into ramsdellite LI(2)Ti(3)O(7) and its proton-exchange derivative.对板钛矿型Li₂Ti₃O₇及其质子交换衍生物的洞察。
Inorg Chem. 2009 Aug 17;48(16):7659-66. doi: 10.1021/ic900398j.
5
Ca[Ti(HPO)(PO)]·HO, Ca[Ti(HO)(HPO)]·HO, and Ti(HPO): Solid-State Oxidation via Proton-Coupled Electron Transfer.Ca[Ti(HPO₄)(PO₄)]·H₂O、Ca[Ti(H₂O)₂(HPO₄)₂]·H₂O以及Ti(HPO₄)₂:通过质子耦合电子转移的固态氧化
Inorg Chem. 2022 Jan 24;61(3):1327-1334. doi: 10.1021/acs.inorgchem.1c02685. Epub 2022 Jan 7.
6
Trivalent cation-controlled phase space of new U(IV) fluorides, Na3MU6F30 (M = Al(3+), Ga(3+), Ti(3+), V(3+), Cr(3+), Fe(3+)): mild hydrothermal synthesis including an in situ reduction step, structures, optical, and magnetic properties.新型U(IV)氟化物Na3MU6F30(M = Al(3+)、Ga(3+)、Ti(3+)、V(3+)、Cr(3+)、Fe(3+))的三价阳离子控制相空间:包括原位还原步骤的温和水热合成、结构、光学和磁性
Inorg Chem. 2015 Feb 16;54(4):2058-66. doi: 10.1021/ic503034t. Epub 2015 Feb 5.
7
Hydrothermal synthesis and structure determination from powder data of new three-dimensional titanium(IV) diphosphonates Ti(O(3)P-(CH(2))(n)-PO(3)) or MIL-25(n) (n = 2, 3).新型三维二膦酸钛(IV)Ti(O(3)P-(CH(2))(n)-PO(3)) 即MIL-25(n)(n = 2, 3)的水热合成及基于粉末数据的结构测定
Inorg Chem. 2001 Oct 8;40(21):5350-3. doi: 10.1021/ic010260x.
8
Synthesis and Characterization of New Alkoxotitanates of Yttrium, Barium, and Copper: Single Crystal X-ray Diffraction Structures of Cl(2)Y{Ti(2)(OPr(i))(9)}, {Ti(OPr(i))(5)}Ba{Ti(2)(OPr(i))(9)}, and ClCu{Ti(2)(OPr(i))(9)}.钇、钡和铜的新型烷氧基钛酸盐的合成与表征:Cl(2)Y{Ti(2)(OPr(i))(9)}、{Ti(OPr(i))(5)}Ba{Ti(2)(OPr(i))(9)}和ClCu{Ti(2)(OPr(i))(9)}的单晶X射线衍射结构
Inorg Chem. 1997 May 21;36(11):2391-2399. doi: 10.1021/ic9613218.
9
Properties and Applications of Metal Phosphates and Pyrophosphates as Proton Conductors.金属磷酸盐和焦磷酸盐作为质子导体的性质与应用
Materials (Basel). 2022 Feb 9;15(4):1292. doi: 10.3390/ma15041292.
10
Aqueous spectroscopy and redox properties of carboxylate-bound titanium.羧酸盐结合钛的水溶液光谱和氧化还原性质
Inorg Chem. 2006 Feb 20;45(4):1795-804. doi: 10.1021/ic051714j.

引用本文的文献

1
Investigating the Reductive Phosphatization Reaction Pathway in the Synthesis of Transition Metal Phosphates: A Case Study on Titanium Phosphates.研究过渡金属磷酸盐合成中的还原性磷酸化反应途径:以磷酸钛为例
Inorg Chem. 2025 Feb 10;64(5):2425-2432. doi: 10.1021/acs.inorgchem.4c04776. Epub 2025 Jan 24.
2
Green steel from red mud through climate-neutral hydrogen plasma reduction.赤泥的气候中性氢等离子体还原法制绿钢。
Nature. 2024 Jan;625(7996):703-709. doi: 10.1038/s41586-023-06901-z. Epub 2024 Jan 24.
3
Properties and Applications of Metal Phosphates and Pyrophosphates as Proton Conductors.

本文引用的文献

1
Ab initio computation for solid-state P NMR of inorganic phosphates: revisiting X-ray structures.无机磷酸盐固态磷核磁共振的从头计算:重新审视X射线结构。
Phys Chem Chem Phys. 2019 May 15;21(19):10070-10074. doi: 10.1039/c9cp01420a.
2
Is the P chemical shift anisotropy of aluminophosphates a useful parameter for NMR crystallography?对于 NMR 晶体学来说,磷酸铝的 P 化学位移各向异性是一个有用的参数吗?
Magn Reson Chem. 2019 May;57(5):176-190. doi: 10.1002/mrc.4788. Epub 2018 Sep 3.
3
Two-dimensional lithium diffusion behavior and probable hybrid phase transformation kinetics in olivine lithium iron phosphate.
金属磷酸盐和焦磷酸盐作为质子导体的性质与应用
Materials (Basel). 2022 Feb 9;15(4):1292. doi: 10.3390/ma15041292.
橄榄石型磷酸铁锂中的二维锂离子扩散行为及可能的混合相转变动力学。
Nat Commun. 2017 Oct 30;8(1):1194. doi: 10.1038/s41467-017-01315-8.
4
A Review on the Synthesis and Applications of Mesostructured Transition Metal Phosphates.介孔过渡金属磷酸盐的合成与应用综述
Materials (Basel). 2013 Jan 15;6(1):217-243. doi: 10.3390/ma6010217.
5
The ability of a fibrous titanium oxophosphate for nitrogen-adsorption above room temperature.一种纤维状磷氧化钛在室温以上进行氮吸附的能力。
Chem Commun (Camb). 2017 Feb 14;53(14):2249-2251. doi: 10.1039/c6cc07518e.
6
High-Pressure Phase Transformations in TiPO : A Route to Pentacoordinated Phosphorus.TiPO 高压相转变:五配位磷的途径。
Angew Chem Int Ed Engl. 2016 Nov 21;55(48):15053-15057. doi: 10.1002/anie.201608530. Epub 2016 Oct 31.
7
Frequency and zero-point vibrational energy scale factors for double-hybrid density functionals (and other selected methods): can anharmonic force fields be avoided?双杂化密度泛函(及其他选定方法)的频率和零点振动能量比例因子:能否避免非谐力场?
J Phys Chem A. 2015 Mar 5;119(9):1701-14. doi: 10.1021/jp508422u. Epub 2014 Oct 21.
8
Neutron diffraction study of the Li-ion battery cathode Li2FeP2O7.中子衍射研究锂离子电池正极材料 Li2FeP2O7。
Inorg Chem. 2013 Mar 18;52(6):3334-41. doi: 10.1021/ic302816w. Epub 2013 Feb 27.
9
High-voltage pyrophosphate cathode: insights into local structure and lithium-diffusion pathways.高压焦磷酸盐阴极:局部结构和锂离子扩散途径的研究。
Angew Chem Int Ed Engl. 2012 Dec 21;51(52):13149-53. doi: 10.1002/anie.201205997. Epub 2012 Nov 14.
10
PDFfit2 and PDFgui: computer programs for studying nanostructure in crystals.PDFfit2和PDFgui:用于研究晶体纳米结构的计算机程序。
J Phys Condens Matter. 2007 Aug 22;19(33):335219. doi: 10.1088/0953-8984/19/33/335219. Epub 2007 Jul 4.