• 文献检索
  • 文档翻译
  • 深度研究
  • 学术资讯
  • Suppr Zotero 插件Zotero 插件
  • 邀请有礼
  • 套餐&价格
  • 历史记录
应用&插件
Suppr Zotero 插件Zotero 插件浏览器插件Mac 客户端Windows 客户端微信小程序
定价
高级版会员购买积分包购买API积分包
服务
文献检索文档翻译深度研究API 文档MCP 服务
关于我们
关于 Suppr公司介绍联系我们用户协议隐私条款
关注我们

Suppr 超能文献

核心技术专利:CN118964589B侵权必究
粤ICP备2023148730 号-1Suppr @ 2026

文献检索

告别复杂PubMed语法,用中文像聊天一样搜索,搜遍4000万医学文献。AI智能推荐,让科研检索更轻松。

立即免费搜索

文件翻译

保留排版,准确专业,支持PDF/Word/PPT等文件格式,支持 12+语言互译。

免费翻译文档

深度研究

AI帮你快速写综述,25分钟生成高质量综述,智能提取关键信息,辅助科研写作。

立即免费体验

用于实际应用的锯木厂木材废料复合材料性能的实验与统计分析

Experimental and Statistical Analysis of Saw Mill Wood Waste Composite Properties for Practical Applications.

作者信息

Khan Muhammad Usman, Abas Muhammad, Noor Sahar, Salah Bashir, Saleem Waqas, Khan Razaullah

机构信息

Department of Industrial Engineering, University of Engineering and Technology, Peshawar 25100, Pakistan.

Industrial Engineering Department, College of Engineering, King Saud University, P.O. Box 800, Riyadh 11421, Saudi Arabia.

出版信息

Polymers (Basel). 2021 Nov 22;13(22):4038. doi: 10.3390/polym13224038.

DOI:10.3390/polym13224038
PMID:34833336
原文链接:https://pmc.ncbi.nlm.nih.gov/articles/PMC8623938/
Abstract

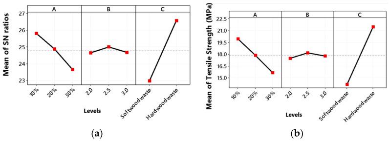
The utilization of composite materials is increasing at a growing rate in almost all types of products, due to their strength-to-stiffness ratio. From this perspective, natural waste composites, i.e., wood waste composites, have also been investigated for their effective and sustainable employment. This paper deals with the application of hard and soft wood waste (i.e., acacia and cedar wood) with epoxy resin polymer to develop high strength and thermally stable wood composites. Mechanical (tensile, flexural, impact, and hardness) and thermal properties of samples are studied using Differential Scanning Calorimeter (DSC) and Thermo Gravimetric Analysis (TGA), respectively. The properties are evaluated by varying the type of wood waste and its percentage by weight. Based on the Taguchi Orthogonal Array Mixture Design, eighteen experiments are investigated. Analysis of variance (ANOVA) results show that wood waste type and wood waste content have a significant effect on all mechanical properties. From the TGA analysis, it is predicted that both types of wood waste composites exhibit similar thermal-induced degradation profiles in terms of the initial and final degradation temperatures. From the DSC results, higher glass transition temperature T is detected in 10% of the hardwood waste composite, and a reducing tendency of glass transition temperature T is observed with exceeding wood waste content. Moreover, hardwood waste at 10% demonstrated improved decomposition temperature T, due to strong adhesion between waste and matrix.

摘要

由于复合材料的强度与刚度比,其在几乎所有类型产品中的利用率正以越来越快的速度增长。从这个角度来看,天然废弃物复合材料,即木材废弃物复合材料,也因其有效且可持续的利用而受到研究。本文探讨了将硬木和软木废弃物(即相思木和雪松木)与环氧树脂聚合物相结合,以开发高强度和热稳定的木材复合材料。分别使用差示扫描量热仪(DSC)和热重分析(TGA)研究了样品的机械性能(拉伸、弯曲、冲击和硬度)和热性能。通过改变木材废弃物的类型及其重量百分比来评估这些性能。基于田口正交阵列混合设计,进行了18次实验。方差分析(ANOVA)结果表明,木材废弃物类型和木材废弃物含量对所有机械性能都有显著影响。从TGA分析可以预测,两种类型的木材废弃物复合材料在初始和最终降解温度方面表现出相似的热诱导降解曲线。从DSC结果来看,在10%的硬木废弃物复合材料中检测到较高的玻璃化转变温度T,并且随着木材废弃物含量的增加,玻璃化转变温度T呈现出降低的趋势。此外,10%的硬木废弃物由于废弃物与基体之间的强附着力,其分解温度T有所提高。

https://cdn.ncbi.nlm.nih.gov/pmc/blobs/59dd/8623938/6d9f0cf75a48/polymers-13-04038-g013a.jpg
https://cdn.ncbi.nlm.nih.gov/pmc/blobs/59dd/8623938/d26dc91b5479/polymers-13-04038-g001.jpg
https://cdn.ncbi.nlm.nih.gov/pmc/blobs/59dd/8623938/9528ff8734b6/polymers-13-04038-g002.jpg
https://cdn.ncbi.nlm.nih.gov/pmc/blobs/59dd/8623938/f85866e740d0/polymers-13-04038-g003.jpg
https://cdn.ncbi.nlm.nih.gov/pmc/blobs/59dd/8623938/fa9db9f85f62/polymers-13-04038-g004.jpg
https://cdn.ncbi.nlm.nih.gov/pmc/blobs/59dd/8623938/7593bce77414/polymers-13-04038-g005.jpg
https://cdn.ncbi.nlm.nih.gov/pmc/blobs/59dd/8623938/78d0b52fc5d0/polymers-13-04038-g006.jpg
https://cdn.ncbi.nlm.nih.gov/pmc/blobs/59dd/8623938/200d7196e756/polymers-13-04038-g007.jpg
https://cdn.ncbi.nlm.nih.gov/pmc/blobs/59dd/8623938/9bcf84ed63cb/polymers-13-04038-g008.jpg
https://cdn.ncbi.nlm.nih.gov/pmc/blobs/59dd/8623938/20b39a6cbb6c/polymers-13-04038-g009.jpg
https://cdn.ncbi.nlm.nih.gov/pmc/blobs/59dd/8623938/0554da6821f3/polymers-13-04038-g010.jpg
https://cdn.ncbi.nlm.nih.gov/pmc/blobs/59dd/8623938/842cb3f2ec4b/polymers-13-04038-g011.jpg
https://cdn.ncbi.nlm.nih.gov/pmc/blobs/59dd/8623938/622f88dec69d/polymers-13-04038-g012.jpg
https://cdn.ncbi.nlm.nih.gov/pmc/blobs/59dd/8623938/6d9f0cf75a48/polymers-13-04038-g013a.jpg
https://cdn.ncbi.nlm.nih.gov/pmc/blobs/59dd/8623938/d26dc91b5479/polymers-13-04038-g001.jpg
https://cdn.ncbi.nlm.nih.gov/pmc/blobs/59dd/8623938/9528ff8734b6/polymers-13-04038-g002.jpg
https://cdn.ncbi.nlm.nih.gov/pmc/blobs/59dd/8623938/f85866e740d0/polymers-13-04038-g003.jpg
https://cdn.ncbi.nlm.nih.gov/pmc/blobs/59dd/8623938/fa9db9f85f62/polymers-13-04038-g004.jpg
https://cdn.ncbi.nlm.nih.gov/pmc/blobs/59dd/8623938/7593bce77414/polymers-13-04038-g005.jpg
https://cdn.ncbi.nlm.nih.gov/pmc/blobs/59dd/8623938/78d0b52fc5d0/polymers-13-04038-g006.jpg
https://cdn.ncbi.nlm.nih.gov/pmc/blobs/59dd/8623938/200d7196e756/polymers-13-04038-g007.jpg
https://cdn.ncbi.nlm.nih.gov/pmc/blobs/59dd/8623938/9bcf84ed63cb/polymers-13-04038-g008.jpg
https://cdn.ncbi.nlm.nih.gov/pmc/blobs/59dd/8623938/20b39a6cbb6c/polymers-13-04038-g009.jpg
https://cdn.ncbi.nlm.nih.gov/pmc/blobs/59dd/8623938/0554da6821f3/polymers-13-04038-g010.jpg
https://cdn.ncbi.nlm.nih.gov/pmc/blobs/59dd/8623938/842cb3f2ec4b/polymers-13-04038-g011.jpg
https://cdn.ncbi.nlm.nih.gov/pmc/blobs/59dd/8623938/622f88dec69d/polymers-13-04038-g012.jpg
https://cdn.ncbi.nlm.nih.gov/pmc/blobs/59dd/8623938/6d9f0cf75a48/polymers-13-04038-g013a.jpg

相似文献

1
Experimental and Statistical Analysis of Saw Mill Wood Waste Composite Properties for Practical Applications.用于实际应用的锯木厂木材废料复合材料性能的实验与统计分析
Polymers (Basel). 2021 Nov 22;13(22):4038. doi: 10.3390/polym13224038.
2
Modification of Epoxy Compositions by the Application of Various Fillers of Natural Origin.通过应用各种天然来源的填料对环氧树脂组合物进行改性。
Materials (Basel). 2023 Apr 17;16(8):3149. doi: 10.3390/ma16083149.
3
Preparation and Characterisation of Wood Polymer Composites Using Sustainable Raw Materials.使用可持续原材料制备和表征木材聚合物复合材料
Polymers (Basel). 2022 Aug 4;14(15):3183. doi: 10.3390/polym14153183.
4
Synthesis and Thermo-Mechanical Study of Epoxy Resin-Based Composites with Waste Fibers of Hemp as an Eco-Friendly Filler.以大麻废纤维为环保填料的环氧树脂基复合材料的合成与热机械研究
Polymers (Basel). 2021 Feb 7;13(4):503. doi: 10.3390/polym13040503.
5
Effect of cellulosic filler loading on mechanical and thermal properties of date palm seed/vinyl ester composites.纤维素填充剂负载量对油棕籽/乙烯基酯复合材料力学和热性能的影响。
Int J Biol Macromol. 2020 Mar 15;147:53-66. doi: 10.1016/j.ijbiomac.2019.11.247. Epub 2019 Dec 27.
6
Characterization of Hybrid Composites with Polyester Waste Fibers, Olive Root Fibers and Coir Pith Micro-Particles Using Mixture Design Analysis for Structural Applications.使用混合设计分析对用于结构应用的含聚酯废纤维、橄榄根纤维和椰壳髓微粒的混杂复合材料进行表征
Polymers (Basel). 2021 Jul 13;13(14):2291. doi: 10.3390/polym13142291.
7
Preparation and Characterisation of Sustainable Wood Plastic Composites Extracted from Municipal Solid Waste.从城市固体废弃物中提取的可持续木塑复合材料的制备与表征
Polymers (Basel). 2021 Oct 25;13(21):3670. doi: 10.3390/polym13213670.
8
Synergy of hybridization of bauhinia vahlii and kenaf fiber on mechanical and sliding wear properties of epoxy composites: A Grey Taguchi Optimization Study.羊蹄甲与红麻纤维混杂对环氧复合材料力学性能和滑动磨损性能的协同作用:灰色田口优化研究
Heliyon. 2024 Feb 6;10(3):e25868. doi: 10.1016/j.heliyon.2024.e25868. eCollection 2024 Feb 15.
9
Wood plastic composites from agro-waste materials: Analysis of mechanical properties.农林废弃物基木塑复合材料的力学性能分析。
Bioresour Technol. 2010 Apr;101(7):2525-8. doi: 10.1016/j.biortech.2009.11.040. Epub 2009 Dec 9.
10
Mechanical Performance of Knitted Hollow Composites from Recycled Cotton and Glass Fibers for Packaging Applications.用于包装应用的再生棉与玻璃纤维针织中空复合材料的机械性能
Polymers (Basel). 2021 Jul 20;13(14):2381. doi: 10.3390/polym13142381.

本文引用的文献

1
Multi-Response Optimization of Tensile Creep Behavior of PLA 3D Printed Parts Using Categorical Response Surface Methodology.使用分类响应面法对聚乳酸3D打印部件拉伸蠕变行为进行多响应优化
Polymers (Basel). 2020 Dec 11;12(12):2962. doi: 10.3390/polym12122962.
2
Consistent DSC and TGA Methodology as Basis for the Measurement and Comparison of Thermo-Physical Properties of Phase Change Materials.一致的差示扫描量热法(DSC)和热重分析法(TGA)方法作为测量和比较相变材料热物理性质的基础。
Materials (Basel). 2020 Oct 10;13(20):4486. doi: 10.3390/ma13204486.
3
Thermal Stability, Fire and Smoke Behaviour of Epoxy Composites Modified with Plant Waste Fillers.
植物废料填料改性环氧复合材料的热稳定性、燃烧及烟雾行为
Polymers (Basel). 2019 Jul 25;11(8):1234. doi: 10.3390/polym11081234.
4
Preparation and Characterization of Epoxy Resin Cross-Linked with High Wood Pyrolysis Bio-Oil Substitution by Acetone Pretreatment.通过丙酮预处理用高木热解生物油替代交联的环氧树脂的制备与表征
Polymers (Basel). 2017 Mar 15;9(3):106. doi: 10.3390/polym9030106.
5
Use of thermal analysis techniques (TG-DSC) for the characterization of diverse organic municipal waste streams to predict biological stability prior to land application.利用热分析技术(热重-差示扫描量热法)对各种有机城市废物进行特性分析,以在土地应用前预测其生物稳定性。
Waste Manag. 2012 Jan;32(1):158-64. doi: 10.1016/j.wasman.2011.08.011. Epub 2011 Sep 25.