• 文献检索
  • 文档翻译
  • 深度研究
  • 学术资讯
  • Suppr Zotero 插件Zotero 插件
  • 邀请有礼
  • 套餐&价格
  • 历史记录
应用&插件
Suppr Zotero 插件Zotero 插件浏览器插件Mac 客户端Windows 客户端微信小程序
定价
高级版会员购买积分包购买API积分包
服务
文献检索文档翻译深度研究API 文档MCP 服务
关于我们
关于 Suppr公司介绍联系我们用户协议隐私条款
关注我们

Suppr 超能文献

核心技术专利:CN118964589B侵权必究
粤ICP备2023148730 号-1Suppr @ 2026

文献检索

告别复杂PubMed语法,用中文像聊天一样搜索,搜遍4000万医学文献。AI智能推荐,让科研检索更轻松。

立即免费搜索

文件翻译

保留排版,准确专业,支持PDF/Word/PPT等文件格式,支持 12+语言互译。

免费翻译文档

深度研究

AI帮你快速写综述,25分钟生成高质量综述,智能提取关键信息,辅助科研写作。

立即免费体验

ESCAPIe 研究:COVID-19 危重症患者个体化免疫治疗的开放标签试验

ESCAPE: An Open-Label Trial of Personalized Immunotherapy in Critically lll COVID-19 Patients.

机构信息

Fourth Department of Internal Medicine, National and Kapodistrian University of Athens, Medical School, Athens, Greece.

Department of Medicine and Research Laboratory of Internal Medicine, National Expertise Center of Greece in Autoimmune Liver Diseases, General University Hospital of Larissa, Larissa, Greece.

出版信息

J Innate Immun. 2022;14(3):218-228. doi: 10.1159/000519090. Epub 2021 Dec 1.

DOI:10.1159/000519090
PMID:34852352
原文链接:https://pmc.ncbi.nlm.nih.gov/articles/PMC8805059/
Abstract

BACKGROUND

Macrophage activation-like syndrome (MALS) and complex immune dysregulation (CID) often underlie acute respiratory distress (ARDS) in COVID-19. We aimed to investigate the effect of personalized immunotherapy on clinical improvement of critical COVID-19.

METHODS

In this open-label prospective trial, 102 patients with ARDS by SARS-CoV-2 were screened for MALS (ferritin >4,420 ng/mL) and CID (ferritin ≤4,420 ng/mL and low human leukocyte antigen (HLA)-DR expression on CD14-monocytes). Patients with MALS or CID with increased aminotransferases received intravenous anakinra; those with CID and normal aminotransferases received tocilizumab. The primary outcome was ≥25% decrease in the Sequential Organ Failure Assessment (SOFA) score and/or 50% increase in the respiratory ratio by day 8; 28-day mortality, change of SOFA score by day 28, serum biomarkers, and cytokine production by mononuclear cells were secondary endpoints.

RESULTS

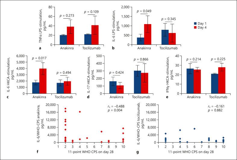
The primary study endpoint was met in 58.3% of anakinra-treated patients and in 33.3% of tocilizumab-treated patients (p: 0.01). Most patients in both groups received dexamethasone as standard of care. No differences were found in secondary outcomes, mortality, and SOFA score changes. Ferritin decreased among anakinra-treated patients; interleukin-6, soluble urokinase plasminogen activator receptor, and HLA-DR expression increased among tocilizumab-treated patients. Survivors by day 28 who received anakinra were distributed to lower severity levels of the WHO clinical progression scale. Greater incidence of secondary infections was found with tocilizumab treatment.

CONCLUSION

Immune assessment resulted in favorable anakinra responses among critically ill patients with COVID-19 and features of MALS.

摘要

背景

巨噬细胞活化综合征(MALS)和复杂免疫失调(CID)常为 COVID-19 中急性呼吸窘迫(ARDS)的基础。我们旨在研究个体化免疫疗法对危重症 COVID-19 临床改善的影响。

方法

在这项开放标签的前瞻性试验中,筛选了 102 例由 SARS-CoV-2 引起的 ARDS 患者,以确定是否存在 MALS(铁蛋白>4420ng/ml)和 CID(铁蛋白≤4420ng/ml 且 CD14-单核细胞 HLA-DR 表达低)。对 MALS 或 CID 患者中伴有氨基转移酶升高者给予静脉内阿那白滞素;对 CID 且氨基转移酶正常者给予托珠单抗。主要终点为第 8 天序贯器官衰竭评估(SOFA)评分下降≥25%和/或呼吸比增加≥50%;28 天死亡率、第 28 天 SOFA 评分变化、血清生物标志物和单核细胞产生的细胞因子为次要终点。

结果

阿那白滞素治疗组的主要研究终点为 58.3%,托珠单抗治疗组为 33.3%(p:0.01)。两组患者均接受地塞米松作为标准治疗。次要终点、死亡率和 SOFA 评分变化均无差异。阿那白滞素治疗组铁蛋白下降,托珠单抗治疗组白细胞介素-6、可溶性尿激酶型纤溶酶原激活物受体和 HLA-DR 表达增加。第 28 天存活的患者按 WHO 临床进展量表分布至较低严重程度水平。托珠单抗治疗组继发感染发生率较高。

结论

免疫评估可使 COVID-19 危重症患者和 MALS 特征患者对阿那白滞素产生有利反应。

https://cdn.ncbi.nlm.nih.gov/pmc/blobs/1df4/9149481/47ed09e655c0/jin-0014-0218-g04.jpg
https://cdn.ncbi.nlm.nih.gov/pmc/blobs/1df4/9149481/056cb7d242d1/jin-0014-0218-g01.jpg
https://cdn.ncbi.nlm.nih.gov/pmc/blobs/1df4/9149481/7f7ee260e084/jin-0014-0218-g02.jpg
https://cdn.ncbi.nlm.nih.gov/pmc/blobs/1df4/9149481/2692e91634ac/jin-0014-0218-g03.jpg
https://cdn.ncbi.nlm.nih.gov/pmc/blobs/1df4/9149481/47ed09e655c0/jin-0014-0218-g04.jpg
https://cdn.ncbi.nlm.nih.gov/pmc/blobs/1df4/9149481/056cb7d242d1/jin-0014-0218-g01.jpg
https://cdn.ncbi.nlm.nih.gov/pmc/blobs/1df4/9149481/7f7ee260e084/jin-0014-0218-g02.jpg
https://cdn.ncbi.nlm.nih.gov/pmc/blobs/1df4/9149481/2692e91634ac/jin-0014-0218-g03.jpg
https://cdn.ncbi.nlm.nih.gov/pmc/blobs/1df4/9149481/47ed09e655c0/jin-0014-0218-g04.jpg

相似文献

1
ESCAPE: An Open-Label Trial of Personalized Immunotherapy in Critically lll COVID-19 Patients.ESCAPIe 研究:COVID-19 危重症患者个体化免疫治疗的开放标签试验
J Innate Immun. 2022;14(3):218-228. doi: 10.1159/000519090. Epub 2021 Dec 1.
2
High dose subcutaneous Anakinra to treat acute respiratory distress syndrome secondary to cytokine storm syndrome among severely ill COVID-19 patients.高剂量皮下注射阿那白滞素治疗重症 COVID-19 患者细胞因子风暴综合征继发急性呼吸窘迫综合征。
J Autoimmun. 2020 Dec;115:102537. doi: 10.1016/j.jaut.2020.102537. Epub 2020 Aug 20.
3
Treatment of severely ill COVID-19 patients with anti-interleukin drugs (COV-AID): A structured summary of a study protocol for a randomised controlled trial.抗白细胞介素药物治疗重症 COVID-19 患者(COV-AID):一项随机对照试验研究方案的结构化总结。
Trials. 2020 Jun 3;21(1):468. doi: 10.1186/s13063-020-04453-5.
4
An open label trial of anakinra to prevent respiratory failure in COVID-19.阿那白滞素预防 COVID-19 呼吸衰竭的开放标签试验。
Elife. 2021 Mar 8;10:e66125. doi: 10.7554/eLife.66125.
5
Effect of anti-interleukin drugs in patients with COVID-19 and signs of cytokine release syndrome (COV-AID): a factorial, randomised, controlled trial.抗白细胞介素药物治疗 COVID-19 患者伴细胞因子释放综合征(COV-AID)的效果:一项析因、随机、对照试验。
Lancet Respir Med. 2021 Dec;9(12):1427-1438. doi: 10.1016/S2213-2600(21)00377-5. Epub 2021 Oct 29.
6
Tocilizumab versus anakinra in COVID-19: results from propensity score matching.托珠单抗与阿那白滞素治疗 COVID-19 的疗效比较:倾向评分匹配分析结果。
Front Immunol. 2023 May 26;14:1185716. doi: 10.3389/fimmu.2023.1185716. eCollection 2023.
7
Double-blind, randomized, controlled, trial to assess the efficacy of allogenic mesenchymal stromal cells in patients with acute respiratory distress syndrome due to COVID-19 (COVID-AT): A structured summary of a study protocol for a randomised controlled trial.双盲、随机、对照临床试验评估同种异体间充质基质细胞治疗 COVID-19 所致急性呼吸窘迫综合征患者的疗效(COVID-AT):一项随机对照试验的研究方案的结构总结。
Trials. 2021 Jan 6;22(1):9. doi: 10.1186/s13063-020-04964-1.
8
Anakinra in hospitalized COVID-19 patients guided by baseline soluble urokinase plasminogen receptor plasma levels: A real world, retrospective cohort study.基于基线可溶性尿激酶型纤溶酶原激活物受体血浆水平指导的 COVID-19 住院患者使用阿那白滞素:一项真实世界、回顾性队列研究。
PLoS One. 2023 Apr 4;18(4):e0273202. doi: 10.1371/journal.pone.0273202. eCollection 2023.
9
Toward personalized immunotherapy in sepsis: The PROVIDE randomized clinical trial.迈向脓毒症个体化免疫治疗:PROVIDE 随机临床试验。
Cell Rep Med. 2022 Nov 15;3(11):100817. doi: 10.1016/j.xcrm.2022.100817.
10
Effectiveness of anakinra for tocilizumab-refractory severe COVID-19: A single-centre retrospective comparative study.阿那白滞素治疗托珠单抗治疗抵抗的重症 COVID-19 的疗效:一项单中心回顾性对照研究。
Int J Infect Dis. 2021 Apr;105:319-325. doi: 10.1016/j.ijid.2021.02.041. Epub 2021 Feb 13.

引用本文的文献

1
Machine learning tools for deciphering the regulatory logic of enhancers in health and disease.用于解读健康与疾病中增强子调控逻辑的机器学习工具
Front Genet. 2025 Aug 13;16:1603687. doi: 10.3389/fgene.2025.1603687. eCollection 2025.
2
Dynamics of Biomarkers in COVID-19 Patients Treated with Anakinra.使用阿那白滞素治疗的COVID-19患者生物标志物的动态变化
Biomedicines. 2024 Nov 25;12(12):2690. doi: 10.3390/biomedicines12122690.
3
Efficacy of COVID-19 Treatments in Intensive Care Unit: A Systematic Review and Meta-Analysis of Randomized Controlled Trials.
新型冠状病毒肺炎(COVID-19)重症监护治疗的疗效:随机对照试验的系统评价和荟萃分析
Crit Care Res Pract. 2024 Nov 27;2024:2973795. doi: 10.1155/ccrp/2973795. eCollection 2024.
4
Sepsis pathogenesis and outcome are shaped by the balance between the transcriptional states of systemic inflammation and antimicrobial response.脓毒症的发病机制和结局是由全身炎症和抗菌反应的转录状态之间的平衡决定的。
Cell Rep Med. 2024 Nov 19;5(11):101829. doi: 10.1016/j.xcrm.2024.101829.
5
Clinical Phenotyping for Prognosis and Immunotherapy Guidance in Bacterial Sepsis and COVID-19.临床表型分析在细菌性败血症和 COVID-19 预后和免疫治疗指导中的应用。
Crit Care Explor. 2024 Sep 10;6(9):e1153. doi: 10.1097/CCE.0000000000001153. eCollection 2024 Sep.
6
Risk assessment with gene expression markers in sepsis development.脓毒症发生中基因表达标志物的风险评估。
Cell Rep Med. 2024 Sep 17;5(9):101712. doi: 10.1016/j.xcrm.2024.101712. Epub 2024 Sep 3.
7
Macrophage Activation Syndrome in Viral Sepsis.病毒感染相关性噬血细胞综合征。
Viruses. 2024 Jun 22;16(7):1004. doi: 10.3390/v16071004.
8
Individualized High Dose Intravenous Anakinra Treatment in Cancer Patients with COVID-19 Associated Cytokine Storm: A Retrospective Controlled Study.针对新冠肺炎相关细胞因子风暴的癌症患者进行个体化高剂量静脉注射阿那白滞素治疗:一项回顾性对照研究。
Infect Dis Clin Microbiol. 2024 Mar 8;6(1):32-43. doi: 10.36519/idcm.2024.287. eCollection 2024 Mar.
9
An Update on SARS-CoV-2 Clinical Trial Results-What We Can Learn for the Next Pandemic.关于 SARS-CoV-2 临床试验结果的最新信息——我们可以从中学到什么以应对下一次大流行。
Int J Mol Sci. 2023 Dec 26;25(1):354. doi: 10.3390/ijms25010354.
10
Association between Pulmonary Aspergillosis and Reactivation in Critically Ill COVID-19 Patients: A Prospective Observational Cohort Study.COVID-19 危重症患者肺部曲霉菌病与再激活的相关性:一项前瞻性观察队列研究。
Viruses. 2023 Nov 15;15(11):2260. doi: 10.3390/v15112260.