• 文献检索
  • 文档翻译
  • 深度研究
  • 学术资讯
  • Suppr Zotero 插件Zotero 插件
  • 邀请有礼
  • 套餐&价格
  • 历史记录
应用&插件
Suppr Zotero 插件Zotero 插件浏览器插件Mac 客户端Windows 客户端微信小程序
定价
高级版会员购买积分包购买API积分包
服务
文献检索文档翻译深度研究API 文档MCP 服务
关于我们
关于 Suppr公司介绍联系我们用户协议隐私条款
关注我们

Suppr 超能文献

核心技术专利:CN118964589B侵权必究
粤ICP备2023148730 号-1Suppr @ 2026

文献检索

告别复杂PubMed语法,用中文像聊天一样搜索,搜遍4000万医学文献。AI智能推荐,让科研检索更轻松。

立即免费搜索

文件翻译

保留排版,准确专业,支持PDF/Word/PPT等文件格式,支持 12+语言互译。

免费翻译文档

深度研究

AI帮你快速写综述,25分钟生成高质量综述,智能提取关键信息,辅助科研写作。

立即免费体验

在 2021 年 3 月至 4 月期间,美国州、部落、地方和地区公共卫生工作者在 COVID-19 大流行期间出现抑郁、焦虑、创伤后应激障碍和自杀意念的症状。

Symptoms of Depression, Anxiety, Post-Traumatic Stress Disorder, and Suicidal Ideation Among State, Tribal, Local, and Territorial Public Health Workers During the COVID-19 Pandemic - United States, March-April 2021.

出版信息

MMWR Morb Mortal Wkly Rep. 2021 Dec 3;70(48):1680-1685. doi: 10.15585/mmwr.mm7048a6.

DOI:10.15585/mmwr.mm7048a6
PMID:34855723
原文链接:https://pmc.ncbi.nlm.nih.gov/articles/PMC8641565/
Abstract

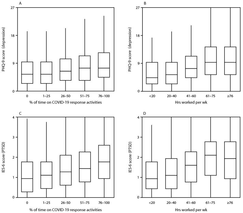
Increases in mental health conditions have been documented among the general population and health care workers since the start of the COVID-19 pandemic (1-3). Public health workers might be at similar risk for negative mental health consequences because of the prolonged demand for responding to the pandemic and for implementing an unprecedented vaccination campaign. The extent of mental health conditions among public health workers during the COVID-19 pandemic, however, is uncertain. A 2014 survey estimated that there were nearly 250,000 state and local public health workers in the United States (4). To evaluate mental health conditions among these workers, a nonprobability-based online survey was conducted during March 29-April 16, 2021, to assess symptoms of depression, anxiety, post-traumatic stress disorder (PTSD), and suicidal ideation among public health workers in state, tribal, local, and territorial public health departments. Among 26,174 respondents, 52.8% reported symptoms of at least one mental health condition in the preceding 2 weeks, including depression (30.8%), anxiety (30.3%), PTSD (36.8%), or suicidal ideation (8.4%). The highest prevalence of symptoms of a mental health condition was among respondents aged ≤29 years (range = 13.6%-47.4%) and transgender or nonbinary persons (i.e., those who identified as neither male nor female) of all ages (range = 30.4%-65.5%). Public health workers who reported being unable to take time off from work were more likely to report adverse mental health symptoms. Severity of symptoms increased with increasing weekly work hours and percentage of work time dedicated to COVID-19 response activities. Implementing prevention and control practices that eliminate, reduce, and manage factors that cause or contribute to public health workers' poor mental health might improve mental health outcomes during emergencies.

摘要

自 COVID-19 大流行开始以来,已在普通人群和医护人员中记录到心理健康状况的增加(1-3)。由于对大流行做出反应和实施前所未有的疫苗接种运动的需求持续增加,公共卫生工作者可能面临类似的负面心理健康后果的风险。然而,在 COVID-19 大流行期间,公共卫生工作者的心理健康状况程度尚不确定。2014 年的一项调查估计,美国有近 25 万名州和地方公共卫生工作者(4)。为了评估这些工作人员的心理健康状况,于 2021 年 3 月 29 日至 4 月 16 日进行了一项非概率性在线调查,以评估州、部落、地方和地区公共卫生部门公共卫生工作者的抑郁、焦虑、创伤后应激障碍(PTSD)和自杀意念症状。在 26174 名受访者中,有 52.8%的人在前两周内报告了至少一种心理健康状况的症状,包括抑郁(30.8%)、焦虑(30.3%)、PTSD(36.8%)或自杀意念(8.4%)。在年龄≤29 岁的受访者(范围为 13.6%-47.4%)和所有年龄段的跨性别或非二元性别者(即既非男性也非女性的人)中,心理健康状况症状的患病率最高(范围为 30.4%-65.5%)。报告无法休假的公共卫生工作者更有可能报告不良心理健康症状。症状的严重程度随着每周工作时间的增加和用于应对 COVID-19 活动的工作时间比例的增加而增加。实施消除、减少和管理导致或促成公共卫生工作者心理健康状况不佳的因素的预防和控制措施,可能会改善紧急情况下的心理健康结果。

https://cdn.ncbi.nlm.nih.gov/pmc/blobs/4cd1/8641565/911063ef5ed2/mm7048a6-F.jpg
https://cdn.ncbi.nlm.nih.gov/pmc/blobs/4cd1/8641565/911063ef5ed2/mm7048a6-F.jpg
https://cdn.ncbi.nlm.nih.gov/pmc/blobs/4cd1/8641565/911063ef5ed2/mm7048a6-F.jpg

相似文献

1
Symptoms of Depression, Anxiety, Post-Traumatic Stress Disorder, and Suicidal Ideation Among State, Tribal, Local, and Territorial Public Health Workers During the COVID-19 Pandemic - United States, March-April 2021.在 2021 年 3 月至 4 月期间,美国州、部落、地方和地区公共卫生工作者在 COVID-19 大流行期间出现抑郁、焦虑、创伤后应激障碍和自杀意念的症状。
MMWR Morb Mortal Wkly Rep. 2021 Dec 3;70(48):1680-1685. doi: 10.15585/mmwr.mm7048a6.
2
Symptoms of Depression, Anxiety, Post-Traumatic Stress Disorder, and Suicidal Ideation Among State, Tribal, Local, and Territorial Public Health Workers During the COVID-19 Pandemic - United States, March-April 2021.在 2021 年 3 月至 4 月期间,美国州、部落、地方和地区公共卫生工作者在 COVID-19 大流行期间出现抑郁、焦虑、创伤后应激障碍和自杀意念的症状。
MMWR Morb Mortal Wkly Rep. 2021 Jul 2;70(26):947-952. doi: 10.15585/mmwr.mm7026e1.
3
Symptoms of Mental Health Conditions and Suicidal Ideation Among State, Tribal, Local, and Territorial Public Health Workers - United States, March 14-25, 2022.心理健康状况和自杀意念的症状在美国州、部落、地方和地区公共卫生工作者中出现-2022 年 3 月 14 日至 25 日。
MMWR Morb Mortal Wkly Rep. 2022 Jul 22;71(29):925-930. doi: 10.15585/mmwr.mm7129a4.
4
Health Care Workers' Mental Health and Quality of Life During COVID-19: Results From a Mid-Pandemic, National Survey.医护人员在 COVID-19 大流行期间的心理健康和生活质量:一项中期全国调查的结果。
Psychiatr Serv. 2021 Feb 1;72(2):122-128. doi: 10.1176/appi.ps.202000424. Epub 2020 Dec 3.
5
Psychosocial impact of the COVID-19 pandemic on 4378 UK healthcare workers and ancillary staff: initial baseline data from a cohort study collected during the first wave of the pandemic.COVID-19 大流行对 4378 名英国医护人员和辅助人员的心理社会影响:大流行第一波期间收集的队列研究的初始基线数据。
Occup Environ Med. 2021 Nov;78(11):801-808. doi: 10.1136/oemed-2020-107276. Epub 2021 Jun 28.
6
The impact of traumatic experiences, coping mechanisms, and workplace benefits on the mental health of U.S. public health workers during the COVID-19 pandemic.创伤经历、应对机制和工作场所福利对美国 COVID-19 大流行期间公共卫生工作者心理健康的影响。
Ann Epidemiol. 2022 Oct;74:66-74. doi: 10.1016/j.annepidem.2022.07.001. Epub 2022 Jul 16.
7
The prevalence and risk factors of PTSD symptoms among medical assistance workers during the COVID-19 pandemic.COVID-19 大流行期间医疗救援人员创伤后应激障碍症状的患病率及其危险因素。
J Psychosom Res. 2020 Dec;139:110270. doi: 10.1016/j.jpsychores.2020.110270. Epub 2020 Oct 6.
8
The impact of the COVID-19 Pandemic on the Greek population: Suicidal ideation during the first and second lockdown.COVID-19 大流行对希腊人口的影响:在第一次和第二次封锁期间的自杀意念。
Psychiatriki. 2021 Dec 20;32(4):267-270. doi: 10.22365/jpsych.2021.041. Epub 2021 Nov 26.
9
Prevalence and Sociodemographic Predictors of Mental Health in a Representative Sample of Young Adults from Germany, Israel, Poland, and Slovenia: A Longitudinal Study during the COVID-19 Pandemic.在德国、以色列、波兰和斯洛文尼亚的代表性青年成年人样本中,心理健康的流行情况及其社会人口学预测因素:COVID-19 大流行期间的纵向研究。
Int J Environ Res Public Health. 2022 Jan 25;19(3):1334. doi: 10.3390/ijerph19031334.
10
Public mental health under the long-term influence of COVID-19 in China: Geographical and temporal distribution.中国 COVID-19 长期影响下的公众心理健康:地理和时间分布。
J Affect Disord. 2020 Dec 1;277:893-900. doi: 10.1016/j.jad.2020.08.045. Epub 2020 Aug 24.

引用本文的文献

1
Organizational interventions to support and promote the mental health of healthcare workers during pandemics and epidemics: a systematic review.在大流行和疫情期间支持和促进医护人员心理健康的组织干预措施:一项系统综述
BMC Health Serv Res. 2025 May 21;25(1):731. doi: 10.1186/s12913-025-12888-2.
2
The effects of organization and community embeddedness on public health professionals' intention to stay during the COVID-19 pandemic: a cross-sectional study.组织与社区融入对公共卫生专业人员在新冠疫情期间留任意向的影响:一项横断面研究
Hum Resour Health. 2025 Feb 20;23(1):12. doi: 10.1186/s12960-025-00973-w.
3
International healthcare workers' experiences and perceptions of the 2022 multi-country mpox outbreak.

本文引用的文献

1
Association Between Proportion of Workday Treating COVID-19 and Depression, Anxiety, and PTSD Outcomes in US Physicians.工作日治疗 COVID-19 的比例与美国医生的抑郁、焦虑和 PTSD 结局的关系。
J Occup Environ Med. 2021 Feb 1;63(2):89-97. doi: 10.1097/JOM.0000000000002086.
2
Pandemic-related mental health risk among front line personnel.一线人员与大流行病相关的心理健康风险。
J Psychiatr Res. 2021 May;137:673-680. doi: 10.1016/j.jpsychires.2020.10.045. Epub 2020 Nov 4.
3
Mental Health, Substance Use, and Suicidal Ideation During the COVID-19 Pandemic - United States, June 24-30, 2020.
国际医护人员对2022年多国猴痘疫情的经历与看法。
PLOS Glob Public Health. 2025 Feb 14;5(2):e0003704. doi: 10.1371/journal.pgph.0003704. eCollection 2025.
4
Public health care staff during the COVID-19 pandemic: a comparison of job demands and work functioning between temporary and permanent staff.新冠疫情期间的公共卫生保健人员:临时和永久员工之间的工作需求和工作功能比较。
BMC Health Serv Res. 2024 Sep 4;24(1):1024. doi: 10.1186/s12913-024-11429-7.
5
Understanding the mental health and intention to leave of the public health workforce in Canada during the COVID-19 pandemic: A cross-sectional study.了解加拿大 COVID-19 大流行期间公共卫生劳动力的心理健康和离职意向:一项横断面研究。
BMC Public Health. 2024 Aug 29;24(1):2347. doi: 10.1186/s12889-024-19783-1.
6
SHEA position statement on pandemic preparedness for policymakers: building a strong and resilient healthcare workforce.美国医院感染学会关于政策制定者大流行病防范的立场声明:建设强大且有韧性的医疗保健劳动力。
Infect Control Hosp Epidemiol. 2024 Jul;45(7):804-807. doi: 10.1017/ice.2024.62. Epub 2024 Jun 5.
7
Protecting the Mental Health and Well-Being of the Nation's Health Workforce.保护国家卫生工作队伍的心理健康和福祉。
Am J Public Health. 2024 Feb;114(S2):137-141. doi: 10.2105/AJPH.2023.307475.
8
Symptoms of Posttraumatic Stress During the COVID-19 Pandemic in the Governmental Public Health Workforce and General Population.新冠疫情期间政府公共卫生工作者和普通人群创伤后应激症状。
J Public Health Manag Pract. 2024;30(1):E14-E20. doi: 10.1097/PHH.0000000000001837. Epub 2023 Oct 26.
9
An Unsupervised Cluster Analysis of Post-COVID-19 Mental Health Outcomes and Associated Comorbidities.一项针对新冠后心理健康结局和相关合并症的无监督聚类分析。
AMIA Annu Symp Proc. 2023 Apr 29;2022:289-298. eCollection 2022.
10
Impact of the COVID-19 pandemic on the mental health of the general population and health care workers.COVID-19 大流行对普通人群和卫生保健工作者心理健康的影响。
Rev Esp Quimioter. 2023 Apr;36(2):125-143. doi: 10.37201/req/018.2023. Epub 2023 Feb 21.
《2020 年 6 月 24 日至 30 日美国在新冠疫情期间的心理健康、物质使用和自杀意念状况》
MMWR Morb Mortal Wkly Rep. 2020 Aug 14;69(32):1049-1057. doi: 10.15585/mmwr.mm6932a1.
4
Psychosocial Stressors at Work and the Risk of Sickness Absence Due to a Diagnosed Mental Disorder: A Systematic Review and Meta-analysis.工作中的心理社会压力源与因诊断性精神障碍导致的病假风险:系统评价和荟萃分析。
JAMA Psychiatry. 2020 Aug 1;77(8):842-851. doi: 10.1001/jamapsychiatry.2020.0322.
5
A systematic review on the effect of work-related stressors on mental health of young workers.一项关于工作相关压力源对年轻工人心理健康影响的系统评价。
Int Arch Occup Environ Health. 2020 Jul;93(5):611-622. doi: 10.1007/s00420-020-01516-7. Epub 2020 Jan 13.
6
Enumeration of the governmental public health workforce, 2014.2014年政府公共卫生工作人员数量统计
Am J Prev Med. 2014 Nov;47(5 Suppl 3):S306-13. doi: 10.1016/j.amepre.2014.07.018. Epub 2014 Oct 16.
7
Brief measure of posttraumatic stress reactions: impact of Event Scale-6.创伤后应激反应简易量表:事件影响量表-6。
Soc Psychiatry Psychiatr Epidemiol. 2010 Mar;45(3):405-12. doi: 10.1007/s00127-009-0073-x. Epub 2009 May 29.
8
Anxiety disorders in primary care: prevalence, impairment, comorbidity, and detection.基层医疗中的焦虑症:患病率、损害、共病情况及检测
Ann Intern Med. 2007 Mar 6;146(5):317-25. doi: 10.7326/0003-4819-146-5-200703060-00004.
9
Job performance deficits due to depression.抑郁症导致的工作表现缺陷。
Am J Psychiatry. 2006 Sep;163(9):1569-76. doi: 10.1176/ajp.2006.163.9.1569.
10
The PHQ-9: validity of a brief depression severity measure.PHQ-9:一种简短抑郁严重程度测量工具的效度
J Gen Intern Med. 2001 Sep;16(9):606-13. doi: 10.1046/j.1525-1497.2001.016009606.x.