Suppr超能文献

秋水仙碱对急性冠脉综合征发生后 6 个月内主要不良心脏事件的影响:一项随机安慰剂对照试验。

Effects of colchicine on major adverse cardiac events in next 6-month period after acute coronary syndrome occurrence; a randomized placebo-control trial.

机构信息

Cardiovascular Department, Shiraz University of Medical Sciences, Shiraz, Iran.

Cardiovascular Research Center, Shiraz University of Medical Sciences, Shiraz, Iran.

出版信息

BMC Cardiovasc Disord. 2021 Dec 7;21(1):583. doi: 10.1186/s12872-021-02393-9.

Abstract

BACKGROUND

Cardiovascular disease in particular acute coronary syndrome (ACS) is remained one of the most cause of morbidity and mortality, annually. Considering inflammatory pathway of atherosclerosis, colchicine as an anti-inflammatory drug is introduced to be effective in pathogenesis, prognosis and mortality rate of these patients. So in order to find out the effects of this drug we conducted this trial to know whether it reduces major adverse cardiac events (MACE) in ACS patients or not.

METHODS

In a prospective randomized double-blinded placebo-controlled trial, we enrolled ACS patients (40-70 years) with recent ST-segment elevation myocardial infarction (STEMI) or NSTE-ACS diagnosed by coronary angiography and managed with either medical therapy or percutaneous coronary intervention. Patients were assigned to two groups either receiving colchicine 0.5 mg daily or placebo for 6 months. Both groups simultaneously received standard medical therapy as accessible guidelines. MACE occurrence consists of decompensated heart failure, ACS, stroke and survival rate compared between two groups.

RESULTS

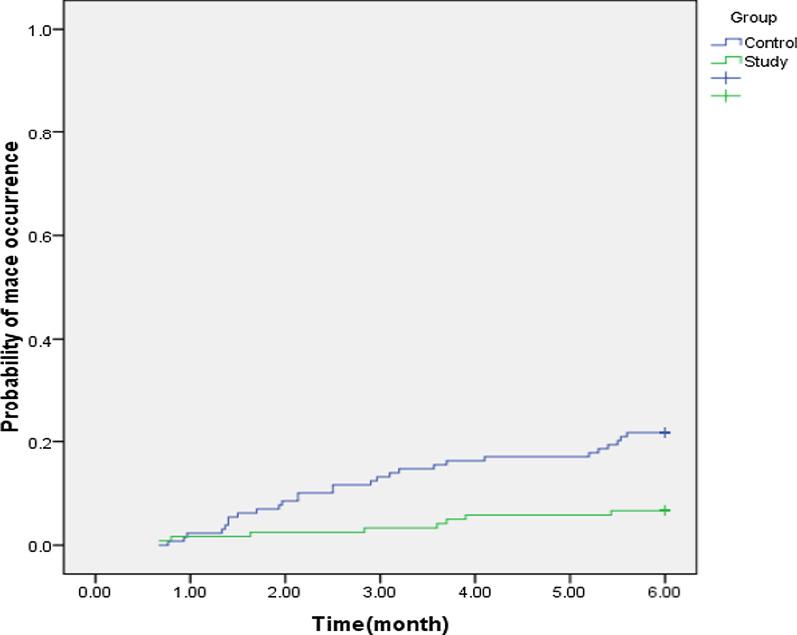
A total of 249 patients were recruited between October 2019-March 2020 with mean age of 56.89 ± 7.54, 69.5% males; 120 assigned to the colchicine group and 129 assigned to the placebo group. Over the 6 months' period, 36 MACE occurred that were 8 events in the colchicine group compared with 28 events in the placebo group experiencing the event (P = 0.001). All of four deaths in the colchicine group and two in the placebo group were due to cardiovascular events. Evaluating adverse effects, gastrointestinal symptom was the most with the rate of 15 (12.5%) in the colchicine group and 3 (2.5%) in the controls. (P = 0.002).

CONCLUSION

The addition of colchicine to standard medical therapy in ACS patients significantly reduces MACE occurrence and improves survival rate over the time.

摘要

背景

心血管疾病,特别是急性冠脉综合征(ACS),仍然是发病率和死亡率最高的疾病之一,每年都有大量患者因此死亡。鉴于动脉粥样硬化的炎症途径,秋水仙碱作为一种抗炎药物,被证明在这些患者的发病机制、预后和死亡率方面具有一定疗效。因此,为了研究这种药物的作用,我们开展了这项试验,以了解它是否能降低 ACS 患者的主要不良心脏事件(MACE)发生率。

方法

在一项前瞻性、随机、双盲、安慰剂对照试验中,我们纳入了经冠状动脉造影诊断为近期 ST 段抬高型心肌梗死(STEMI)或非 ST 段抬高型急性冠脉综合征(NSTE-ACS)的 ACS 患者(年龄 40-70 岁),并通过药物治疗或经皮冠状动脉介入治疗进行管理。患者被分为两组,分别接受每日 0.5mg 秋水仙碱或安慰剂治疗 6 个月。两组同时接受标准的药物治疗,根据可用的指南进行。主要不良心脏事件(MACE)的发生包括心力衰竭失代偿、ACS、中风和死亡率,以评估两组之间的差异。

结果

2019 年 10 月至 2020 年 3 月期间,共招募了 249 名患者,平均年龄为 56.89±7.54 岁,男性占 69.5%;120 名患者被分配到秋水仙碱组,129 名患者被分配到安慰剂组。在 6 个月的随访期间,共发生 36 例 MACE,其中秋水仙碱组 8 例,安慰剂组 28 例(P=0.001)。秋水仙碱组有 4 例死亡,均为心血管事件,安慰剂组有 2 例死亡,也均为心血管事件。评估不良反应时,胃肠道症状发生率最高,秋水仙碱组发生率为 15(12.5%),安慰剂组发生率为 3(2.5%)(P=0.002)。

结论

在 ACS 患者的标准药物治疗基础上加用秋水仙碱可显著降低 MACE 的发生,并提高生存率。

https://cdn.ncbi.nlm.nih.gov/pmc/blobs/3d39/8650300/6fbdbf078f84/12872_2021_2393_Fig1_HTML.jpg

文献AI研究员

20分钟写一篇综述,助力文献阅读效率提升50倍。

立即体验

用中文搜PubMed

大模型驱动的PubMed中文搜索引擎

马上搜索

文档翻译

学术文献翻译模型,支持多种主流文档格式。

立即体验