Suppr超能文献

在无ST段抬高的院外心脏骤停幸存者中早期识别患有严重冠状动脉疾病的复苏患者。

Early Identification of Resuscitated Patients with a Significant Coronary Disease in Out-of-Hospital Cardiac Arrest Survivors without ST-Segment Elevation.

作者信息

Youn Chun-Song, Yi Hahn, Kim Youn-Jung, Song Hwan, Kim Namkug, Kim Won-Young

机构信息

Department of Emergency Medicine, Seoul St. Mary's Hospital, College of Medicine, The Catholic University of Korea, Seoul 06591, Korea.

Asan Medical Center, Asan Institute for Life Sciences, Seoul 05505, Korea.

出版信息

J Clin Med. 2021 Dec 2;10(23):5688. doi: 10.3390/jcm10235688.

Abstract

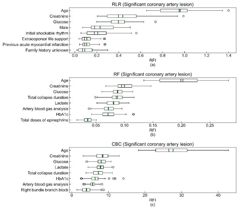
This study aimed to develop a machine learning (ML)-based model for identifying patients who had a significant coronary artery disease among out-of-hospital cardiac arrest (OHCA) survivors without ST-segment elevation (STE). This multicenter observational study used data from the Korean Hypothermia Network prospective registry (KORHN-PRO) gathered between October 2015 and December 2018. We used information available before targeted temperature management (TTM) as predictor variables, and the primary outcome was a significant coronary artery lesion in coronary angiography (CAG). Among 1373 OHCA patients treated with TTM, 331 patients without STE who underwent CAG were enrolled. Among them, 127 patients (38.4%) had a significant coronary artery lesion. Four ML algorithms, namely regularized logistic regression (RLR), random forest classifier (RF), CatBoost classifier (CBC), and voting classifier (VC), were used with data collected before CAG. The VC model showed the highest accuracy for predicting significant lesions (area under the curve of 0.751). Eight variables (older age, male, initial shockable rhythm, shorter total collapse duration, higher glucose and creatinine, and lower pH and lactate) were significant to ML models. These results showed that ML models may be useful in developing early predictive tools for identifying high-risk patients with a significant stenosis in CAG.

摘要

本研究旨在开发一种基于机器学习(ML)的模型,用于在无ST段抬高(STE)的院外心脏骤停(OHCA)幸存者中识别患有严重冠状动脉疾病的患者。这项多中心观察性研究使用了2015年10月至2018年12月期间从韩国低温网络前瞻性登记处(KORHN-PRO)收集的数据。我们将目标温度管理(TTM)之前可用的信息用作预测变量,主要结局是冠状动脉造影(CAG)中存在严重冠状动脉病变。在1373例接受TTM治疗的OHCA患者中,331例无STE且接受了CAG检查的患者被纳入研究。其中,127例患者(38.4%)存在严重冠状动脉病变。使用了四种ML算法,即正则化逻辑回归(RLR)、随机森林分类器(RF)、CatBoost分类器(CBC)和投票分类器(VC),对CAG检查前收集的数据进行分析。VC模型在预测严重病变方面显示出最高的准确性(曲线下面积为0.751)。八个变量(年龄较大、男性、初始可电击心律、总心脏停搏持续时间较短、血糖和肌酐较高、pH值和乳酸较低)对ML模型具有显著意义。这些结果表明,ML模型可能有助于开发早期预测工具,以识别CAG中存在严重狭窄的高危患者。

https://cdn.ncbi.nlm.nih.gov/pmc/blobs/25f2/8658463/26b62c007728/jcm-10-05688-g001.jpg

文献AI研究员

20分钟写一篇综述,助力文献阅读效率提升50倍。

立即体验

用中文搜PubMed

大模型驱动的PubMed中文搜索引擎

马上搜索

文档翻译

学术文献翻译模型,支持多种主流文档格式。

立即体验