Department of Chemistry, University of Turin, Via Pietro Giuria 7, 10125 Torino, Italy.
Molecules. 2021 Nov 26;26(23):7161. doi: 10.3390/molecules26237161.
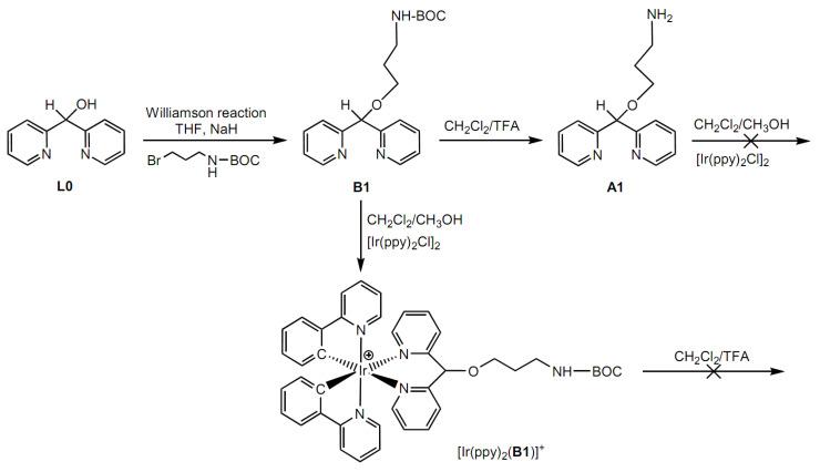
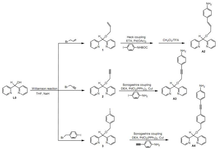
This work reports two new cationic heteroleptic cyclometalated iridium complexes, containing ether derivatives of di(pyridin-2-yl)methanol. The new ligands are based on dipyridin-2-ylmethane and are designed to obtain ether-based intermediates with extended electronic conjugation by insertion of π system such as phenyl, allyl and ethynyl. Different synthetic strategies were employed to introduce these units, as molecular wires, between the dipyridin-2-ylmethane chelating portion and the terminal N-containing functional group, such as amine and carbamide. The corresponding complexes show luminescence in the blue region of the spectrum, lifetimes between 0.6 and 2.1 μs, high quantum yield and good electrochemical behavior. The computational description (DFT) of the electronic structure highlights the key role of the conjugated π systems on optical and electrochemical properties of the final products.
这项工作报道了两个新的阳离子杂环金属铱配合物,含有二(吡啶-2-基)甲醇的醚衍生物。新的配体基于二吡啶-2-基甲烷,并设计通过插入苯、烯丙基和乙炔基等π 体系来获得具有扩展电子共轭的基于醚的中间体。采用不同的合成策略在二吡啶-2-基甲烷螯合部分和末端含氮官能团(如胺和脒)之间引入这些单元,作为分子导线。相应的配合物在光谱的蓝色区域显示出发光,寿命在 0.6 和 2.1 μs 之间,量子产率高,电化学性能良好。电子结构的计算描述(DFT)突出了共轭π 体系对最终产物光学和电化学性质的关键作用。