Suppr超能文献

基于肺部受累情况,对 COVID-19 所致急性呼吸衰竭患者在重症监护病房外采取清醒俯卧位治疗的反应。

Response of patients with acute respiratory failure caused by COVID-19 to awake-prone position outside the intensive care unit based on pulmonary involvement.

机构信息

Departamento de Anestesia, Faculdade de Medicina FMUSP, Universidade de Sao Paulo, Sao Paulo, SP, BR.

Programa de Pos-Doutorado em Anestesiologia, Faculdade de Medicina FMUSP, Universidade de Sao Paulo, Sao Paulo, SP, BR.

出版信息

Clinics (Sao Paulo). 2021 Dec 10;76:e3368. doi: 10.6061/clinics/2021/e3368. eCollection 2021.

Abstract

OBJECTIVES

Since there are difficulties in establishing effective treatments for COVID-19, a vital way to reduce mortality is an early intervention to prevent disease progression. This study aimed to evaluate the performance of patients with COVID-19 with acute hypoxic respiratory failure according to pulmonary impairment in the awake-prone position, outside of the intensive care unit (ICU).

METHODS

A prospective observational cohort study was conducted on COVID-19 patients under noninvasive respiratory support. Clinical and laboratory data were obtained for each patient before the treatment and after they were placed in the awake-prone position. To identify responders and non-responders after the first prone maneuver, receiver operating characteristic curves with sensitivity and specificity of the PaO2/FiO2 and SpO2/FiO2 indices were analyzed. The maneuver was considered positive if the patient did not require endotracheal intubation for ventilatory assistance.

RESULTS

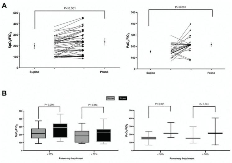
Forty-eight patients were included, and 64.6% were categorized as responders. The SpO2/FiO2 index was effective for predicting endotracheal intubation in COVID-19 patients regardless of lung parenchymal damage (area under the curve 0.84, cutoff point 165, sensitivity 85%, specificity 75%). Responders had better outcomes with lower hospital mortality (hazard ratio [HR]=0.107, 95% confidence interval [CI]: 0.012-0.93) and a shorter length of stay (median difference 6 days, HR=0.30, 95% CI: 0.13-0.66) after adjusting for age, body mass index, sex, and comorbidities.

CONCLUSIONS

The awake-prone position for COVID-19 patients outside the ICU can improve oxygenation and clinical outcomes regardless of the extent of pulmonary impairment. Furthermore, the SpO2/FiO2 index discriminates responders from non-responders to the prone maneuver predicting endotracheal intubation with a cutoff under or below 165.

摘要

目的

由于目前针对 COVID-19 尚缺乏有效的治疗手段,降低病死率的关键方法是早期干预以阻止疾病进展。本研究旨在评估 COVID-19 合并急性低氧性呼吸衰竭患者在重症监护病房(ICU)之外的清醒俯卧位时的肺损伤情况。

方法

对接受无创呼吸支持的 COVID-19 患者进行前瞻性观察性队列研究。对每位患者在治疗前和置于清醒俯卧位后采集临床和实验室数据。为了确定首次俯卧位后患者的反应情况,分析了 PaO2/FiO2 和 SpO2/FiO2 指数的受试者工作特征曲线,评估其对敏感性和特异性的影响。如果患者不需要气管插管进行通气支持,则认为该操作是阳性的。

结果

共纳入 48 例患者,其中 64.6%的患者被归类为反应者。SpO2/FiO2 指数对于预测 COVID-19 患者是否需要气管插管是有效的,而与肺实质损伤无关(曲线下面积 0.84,截断值 165,敏感性 85%,特异性 75%)。调整年龄、体重指数、性别和合并症后,反应者的住院病死率更低(风险比 [HR]=0.107,95%置信区间 [CI]:0.012-0.93),住院时间更短(中位差异 6 天,HR=0.30,95%CI:0.13-0.66)。

结论

COVID-19 患者在 ICU 之外采用清醒俯卧位可以改善氧合和临床结局,而与肺损伤程度无关。此外,SpO2/FiO2 指数可以区分俯卧位反应者和非反应者,截断值低于或等于 165 时可以预测气管插管。

https://cdn.ncbi.nlm.nih.gov/pmc/blobs/3268/8614624/d41d5b5b7362/cln-76-e3368-g001.jpg

文献AI研究员

20分钟写一篇综述,助力文献阅读效率提升50倍。

立即体验

用中文搜PubMed

大模型驱动的PubMed中文搜索引擎

马上搜索

文档翻译

学术文献翻译模型,支持多种主流文档格式。

立即体验