Wang Wenyan, Du Guangying, Lin Shilan, Liu Jing, Yang Huijie, Yu Dawei, Ye Liang, Zou Fangxia, Wang Hongbo, Zhang Rui, Tian Jingwei
School of Pharmacy, Key Laboratory of Molecular Pharmacology and Drug Evaluation (Yantai University), Ministry of Education, Collaborative Innovation Center of Advanced Drug Delivery System and Biotech Drugs in Universities of Shandong, Yantai University, Yantai, China.
New Drug Discovery and Research Department, R&D Center, Luye Pharma Group Ltd., Yantai, China.
Front Pharmacol. 2021 Dec 7;12:770377. doi: 10.3389/fphar.2021.770377. eCollection 2021.
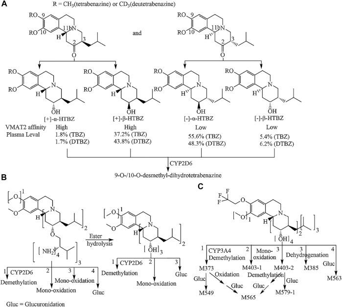
Valbenazine and deutetrabenazine are the only two therapeutic drugs approved for tardive dyskinesia based on blocking the action of vesicular monoamine transporter 2 (VMAT2). But there exist demethylated inactive metabolism at the nine position for both them resulting in low availability, and CYP2D6 plays a major role in this metabolism resulting in the genetic polymorphism issue. 9-trifluoroethoxy-dihydrotetrabenazine (13e) was identified as a promising lead compound for treating tardive dyskinesia. In this study, we separated 13e via chiral chromatography and acquired -13e [(+)-13e] and -13e [(-)-13e], and we investigated their VMAT2-inhibitory activity and examined the related pharmacodynamics and pharmacokinetics properties using and models (+)-13e displayed high affinity for VMAT2 (K = 1.48 nM) and strongly inhibited [H]DA uptake (IC = 6.11 nM) in striatal synaptosomes. Conversely, its enantiomer was inactive. , (+)-13e decreased locomotion in rats in a dose-dependent manner. The treatment had faster, stronger, and longer-lasting effects than valbenazine at an equivalent dose. Mono-oxidation was the main metabolic pathway in the liver microsomes and in dog plasma after oral administration, and glucuronide conjugation of mono-oxidized and/or demethylated products and direct glucuronide conjugation were also major metabolic pathways in dog plasma. O-detrifluoroethylation of (+)-13e did not occur. Furthermore, CYP3A4 was identified as the primary isoenzyme responsible for mono-oxidation and demethylation metabolism, and CYP2C8 was a secondary isoenzyme (+)-13e displayed high permeability across the Caco-2 cell monolayer, and it was not a P-glycoprotein substrate as demonstrated by its high oral absolute bioavailability (75.9%) in dogs. Thus, our study findings highlighted the potential efficacy and safety of (+)-13e in the treatment of tardive dyskinesia. These results should promote its clinical development.
基于阻断囊泡单胺转运体2(VMAT2)的作用,氘代丁苯那嗪和缬苯那嗪是仅有的两种被批准用于治疗迟发性运动障碍的治疗药物。但它们在9位均存在去甲基化的无活性代谢产物,导致药物利用率低,且细胞色素P450 2D6(CYP2D6)在这种代谢中起主要作用,从而引发了基因多态性问题。9-三氟乙氧基-二氢丁苯那嗪(13e)被确定为一种有前景的治疗迟发性运动障碍的先导化合物。在本研究中,我们通过手性色谱法分离出13e,并获得了(+)-13e和(-)-13e,我们研究了它们对VMAT2的抑制活性,并使用大鼠和犬模型研究了相关的药效学和药代动力学性质。(+)-13e对VMAT2表现出高亲和力(K = 1.48 nM),并强烈抑制纹状体突触体中[H]多巴胺(DA)的摄取(IC = 6.11 nM)。相反,其对映体无活性。此外,(+)-13e以剂量依赖性方式降低大鼠的运动能力。在等效剂量下,该治疗比缬苯那嗪具有更快、更强和更持久的效果。单氧化是口服给药后肝微粒体和犬血浆中的主要代谢途径,单氧化和/或去甲基化产物的葡萄糖醛酸结合以及直接葡萄糖醛酸结合也是犬血浆中的主要代谢途径。(+)-13e未发生O-去三氟乙基化。此外,CYP3A4被确定为负责单氧化和去甲基化代谢的主要同工酶,CYP2C8是次要同工酶。(+)-13e在Caco-2细胞单层中表现出高渗透性,并且如在犬中其高口服绝对生物利用度(75.9%)所示,它不是P-糖蛋白底物。因此,我们的研究结果突出了(+)-13e在治疗迟发性运动障碍方面的潜在疗效和安全性。这些结果应促进其临床开发。