• 文献检索
  • 文档翻译
  • 深度研究
  • 学术资讯
  • Suppr Zotero 插件Zotero 插件
  • 邀请有礼
  • 套餐&价格
  • 历史记录
应用&插件
Suppr Zotero 插件Zotero 插件浏览器插件Mac 客户端Windows 客户端微信小程序
定价
高级版会员购买积分包购买API积分包
服务
文献检索文档翻译深度研究API 文档MCP 服务
关于我们
关于 Suppr公司介绍联系我们用户协议隐私条款
关注我们

Suppr 超能文献

核心技术专利:CN118964589B侵权必究
粤ICP备2023148730 号-1Suppr @ 2026

文献检索

告别复杂PubMed语法,用中文像聊天一样搜索,搜遍4000万医学文献。AI智能推荐,让科研检索更轻松。

立即免费搜索

文件翻译

保留排版,准确专业,支持PDF/Word/PPT等文件格式,支持 12+语言互译。

免费翻译文档

深度研究

AI帮你快速写综述,25分钟生成高质量综述,智能提取关键信息,辅助科研写作。

立即免费体验

新型噻吩并[2,3-d]嘧啶衍生物的设计、合成及作为 PI3K 靶向治疗的生物评价及其分子模拟研究。

Design, synthesis, and biological evaluation of new thieno[2,3-] pyrimidine derivatives as targeted therapy for PI3K with molecular modelling study.

机构信息

Faculty of Pharmacy, Pharmaceutical Chemistry Department, Ain Shams University, Cairo, Egypt.

Faculty of Pharmacy, Department of Organic and Medicinal Chemistry, University of Sadat City, Menoufia, Egypt.

出版信息

J Enzyme Inhib Med Chem. 2022 Dec;37(1):315-332. doi: 10.1080/14756366.2021.2010729.

DOI:10.1080/14756366.2021.2010729
PMID:34955086
原文链接:https://pmc.ncbi.nlm.nih.gov/articles/PMC8725920/
Abstract

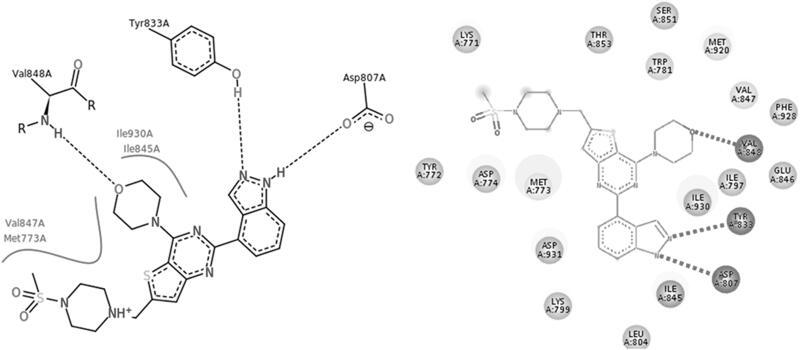
Cancer is one of the most aggressive diseases characterised by abnormal growth and uncontrolled cell division. PI3K is a lipid kinase involved in cancer progression which makes it fruitful target for cancer control. 28 new morpholine based thieno[2,3-] pyrimidine derivatives were designed and synthesised as anti-PI3K agents maintaining the common pharmacophoric features of several potent PI3K inhibitors. Their antiproliferative activity on NCI 60 cell lines as well as their enzymatic activity against PI3K isoforms were evaluated. Three compounds revealed good cytotoxic activities against breast cancer cell lines, especially T-47D. Compound exhibited the best enzymatic inhibitory activity (72% & 84% on PI3Kβ & PI3Kγ), respectively and good activity on most NCI cell lines especially those with over expressed PI3K. Docking was carried out into PI3K active site which showed comparable binding mode to that of the PI-103 inhibitor. Compound could be optimised to serve as a new chemical entity for discovering new anticancer agents.

摘要

癌症是一种最具侵袭性的疾病,其特征是异常生长和不受控制的细胞分裂。PI3K 是一种参与癌症进展的脂质激酶,是癌症控制的富有成效的靶点。设计并合成了 28 种基于吗啉的噻吩并[2,3-d]嘧啶衍生物,作为抗 PI3K 药物,保持了几种有效的 PI3K 抑制剂的常见药效特征。评估了它们对 NCI 60 细胞系的抗增殖活性及其对 PI3K 同工型的酶活性。三种化合物对乳腺癌细胞系,特别是 T-47D 表现出良好的细胞毒性。化合物 表现出最好的酶抑制活性(对 PI3Kβ 和 PI3Kγ 的抑制活性分别为 72%和 84%),对大多数 NCI 细胞系也表现出良好的活性,特别是那些 PI3K 过表达的细胞系。进行了对接到 PI3K 活性部位,结果表明与 PI-103 抑制剂具有可比的结合模式。化合物 可以被优化为发现新的抗癌药物的新的化学实体。

https://cdn.ncbi.nlm.nih.gov/pmc/blobs/91f7/8725920/16198facffe2/IENZ_A_2010729_F0014_B.jpg
https://cdn.ncbi.nlm.nih.gov/pmc/blobs/91f7/8725920/bcb389a6bd89/IENZ_A_2010729_UF0001_C.jpg
https://cdn.ncbi.nlm.nih.gov/pmc/blobs/91f7/8725920/d7dae8f72105/IENZ_A_2010729_F0001_B.jpg
https://cdn.ncbi.nlm.nih.gov/pmc/blobs/91f7/8725920/62502ed8097e/IENZ_A_2010729_F0002_B.jpg
https://cdn.ncbi.nlm.nih.gov/pmc/blobs/91f7/8725920/127051faa9f6/IENZ_A_2010729_F0003_B.jpg
https://cdn.ncbi.nlm.nih.gov/pmc/blobs/91f7/8725920/1a8c685b3dcb/IENZ_A_2010729_F0004_B.jpg
https://cdn.ncbi.nlm.nih.gov/pmc/blobs/91f7/8725920/6e74d18b5424/IENZ_A_2010729_SCH0001_B.jpg
https://cdn.ncbi.nlm.nih.gov/pmc/blobs/91f7/8725920/eb1fd30ca118/IENZ_A_2010729_SCH0002_B.jpg
https://cdn.ncbi.nlm.nih.gov/pmc/blobs/91f7/8725920/afa3e049b1a5/IENZ_A_2010729_SCH0003_B.jpg
https://cdn.ncbi.nlm.nih.gov/pmc/blobs/91f7/8725920/d1aadef8e0cd/IENZ_A_2010729_F0005_B.jpg
https://cdn.ncbi.nlm.nih.gov/pmc/blobs/91f7/8725920/d4024ea8793f/IENZ_A_2010729_F0006_B.jpg
https://cdn.ncbi.nlm.nih.gov/pmc/blobs/91f7/8725920/19b3f23e410f/IENZ_A_2010729_F0007_B.jpg
https://cdn.ncbi.nlm.nih.gov/pmc/blobs/91f7/8725920/c8617ad10583/IENZ_A_2010729_F0008_B.jpg
https://cdn.ncbi.nlm.nih.gov/pmc/blobs/91f7/8725920/2d57840f2ebb/IENZ_A_2010729_F0009_B.jpg
https://cdn.ncbi.nlm.nih.gov/pmc/blobs/91f7/8725920/d46ec49f0ba4/IENZ_A_2010729_F0010_B.jpg
https://cdn.ncbi.nlm.nih.gov/pmc/blobs/91f7/8725920/6be5e2966ebe/IENZ_A_2010729_F0011_B.jpg
https://cdn.ncbi.nlm.nih.gov/pmc/blobs/91f7/8725920/14b14ef51b70/IENZ_A_2010729_F0012_B.jpg
https://cdn.ncbi.nlm.nih.gov/pmc/blobs/91f7/8725920/57d0a941f67e/IENZ_A_2010729_F0013_B.jpg
https://cdn.ncbi.nlm.nih.gov/pmc/blobs/91f7/8725920/16198facffe2/IENZ_A_2010729_F0014_B.jpg
https://cdn.ncbi.nlm.nih.gov/pmc/blobs/91f7/8725920/bcb389a6bd89/IENZ_A_2010729_UF0001_C.jpg
https://cdn.ncbi.nlm.nih.gov/pmc/blobs/91f7/8725920/d7dae8f72105/IENZ_A_2010729_F0001_B.jpg
https://cdn.ncbi.nlm.nih.gov/pmc/blobs/91f7/8725920/62502ed8097e/IENZ_A_2010729_F0002_B.jpg
https://cdn.ncbi.nlm.nih.gov/pmc/blobs/91f7/8725920/127051faa9f6/IENZ_A_2010729_F0003_B.jpg
https://cdn.ncbi.nlm.nih.gov/pmc/blobs/91f7/8725920/1a8c685b3dcb/IENZ_A_2010729_F0004_B.jpg
https://cdn.ncbi.nlm.nih.gov/pmc/blobs/91f7/8725920/6e74d18b5424/IENZ_A_2010729_SCH0001_B.jpg
https://cdn.ncbi.nlm.nih.gov/pmc/blobs/91f7/8725920/eb1fd30ca118/IENZ_A_2010729_SCH0002_B.jpg
https://cdn.ncbi.nlm.nih.gov/pmc/blobs/91f7/8725920/afa3e049b1a5/IENZ_A_2010729_SCH0003_B.jpg
https://cdn.ncbi.nlm.nih.gov/pmc/blobs/91f7/8725920/d1aadef8e0cd/IENZ_A_2010729_F0005_B.jpg
https://cdn.ncbi.nlm.nih.gov/pmc/blobs/91f7/8725920/d4024ea8793f/IENZ_A_2010729_F0006_B.jpg
https://cdn.ncbi.nlm.nih.gov/pmc/blobs/91f7/8725920/19b3f23e410f/IENZ_A_2010729_F0007_B.jpg
https://cdn.ncbi.nlm.nih.gov/pmc/blobs/91f7/8725920/c8617ad10583/IENZ_A_2010729_F0008_B.jpg
https://cdn.ncbi.nlm.nih.gov/pmc/blobs/91f7/8725920/2d57840f2ebb/IENZ_A_2010729_F0009_B.jpg
https://cdn.ncbi.nlm.nih.gov/pmc/blobs/91f7/8725920/d46ec49f0ba4/IENZ_A_2010729_F0010_B.jpg
https://cdn.ncbi.nlm.nih.gov/pmc/blobs/91f7/8725920/6be5e2966ebe/IENZ_A_2010729_F0011_B.jpg
https://cdn.ncbi.nlm.nih.gov/pmc/blobs/91f7/8725920/14b14ef51b70/IENZ_A_2010729_F0012_B.jpg
https://cdn.ncbi.nlm.nih.gov/pmc/blobs/91f7/8725920/57d0a941f67e/IENZ_A_2010729_F0013_B.jpg
https://cdn.ncbi.nlm.nih.gov/pmc/blobs/91f7/8725920/16198facffe2/IENZ_A_2010729_F0014_B.jpg

相似文献

1
Design, synthesis, and biological evaluation of new thieno[2,3-] pyrimidine derivatives as targeted therapy for PI3K with molecular modelling study.新型噻吩并[2,3-d]嘧啶衍生物的设计、合成及作为 PI3K 靶向治疗的生物评价及其分子模拟研究。
J Enzyme Inhib Med Chem. 2022 Dec;37(1):315-332. doi: 10.1080/14756366.2021.2010729.
2
Design, synthesis and structure-activity relationship study of piperazinone-containing thieno[3,2-d]pyrimidine derivatives as new PI3Kδ inhibitors.含哌嗪酮的噻吩并[3,2-d]嘧啶衍生物的设计、合成及构效关系研究作为新型 PI3Kδ 抑制剂。
Bioorg Med Chem Lett. 2020 Oct 15;30(20):127479. doi: 10.1016/j.bmcl.2020.127479. Epub 2020 Aug 9.
3
Design, synthesis and biological evaluation of thieno[3,2-d]pyrimidine derivatives containing aroyl hydrazone or aryl hydrazide moieties for PI3K and mTOR dual inhibition.含芳酰腙或芳酰肼部分的噻吩并[3,2-d]嘧啶衍生物的设计、合成及对 PI3K 和 mTOR 的双重抑制作用的生物评价。
Bioorg Chem. 2020 Nov;104:104197. doi: 10.1016/j.bioorg.2020.104197. Epub 2020 Aug 28.
4
New thieno[3,2-d]pyrimidine-based derivatives: Design, synthesis and biological evaluation as antiproliferative agents, EGFR and ARO inhibitors inducing apoptosis in breast cancer cells.新型噻吩并[3,2-d]嘧啶衍生物的设计、合成与生物评价:作为抗增殖剂、EGFR 和 ARO 抑制剂诱导乳腺癌细胞凋亡。
Bioorg Chem. 2021 Oct;115:105208. doi: 10.1016/j.bioorg.2021.105208. Epub 2021 Jul 26.
5
Discovery of new thieno[2,3-d]pyrimidine and thiazolo[5,4-d]pyrimidine derivatives as orally active phosphoinositide 3-kinase inhibitors.发现新型噻吩并[2,3-d]嘧啶和噻唑并[5,4-d]嘧啶衍生物作为具有口服活性的磷酸肌醇 3-激酶抑制剂。
Bioorg Med Chem. 2021 Jan 1;29:115890. doi: 10.1016/j.bmc.2020.115890. Epub 2020 Nov 25.
6
Discovery of cinnoline derivatives as potent PI3K inhibitors with antiproliferative activity.发现具有抗增殖活性的嘧啶并哒嗪衍生物作为有效的 PI3K 抑制剂。
Bioorg Med Chem Lett. 2021 Sep 15;48:128271. doi: 10.1016/j.bmcl.2021.128271. Epub 2021 Jul 17.
7
Design, synthesis, biological evaluation and molecular modeling study of new thieno[2,3-d]pyrimidines with anti-proliferative activity on pancreatic cancer cell lines.新型噻吩并[2,3-d]嘧啶类化合物的设计、合成、生物评价及对胰腺癌细胞系的增殖抑制活性的分子模拟研究。
Bioorg Chem. 2020 Jan;94:103472. doi: 10.1016/j.bioorg.2019.103472. Epub 2019 Nov 30.
8
Design, synthesis, and biological evaluation of novel 6-(pyridin-3-yl) quinazolin-4(3H)-one derivatives as potential anticancer agents via PI3K inhibition.新型 6-(吡啶-3-基)喹唑啉-4(3H)-酮衍生物的设计、合成及通过抑制 PI3K 活性的抗肿瘤活性评价。
Bioorg Med Chem. 2021 Sep 15;46:116346. doi: 10.1016/j.bmc.2021.116346. Epub 2021 Aug 8.
9
Novel Pyrazolo[3,4-d]pyrimidines as Potential Cytotoxic Agents: Design, Synthesis, Molecular Docking and CDK2 Inhibition.新型吡唑并[3,4-d]嘧啶类化合物作为潜在的细胞毒剂:设计、合成、分子对接和 CDK2 抑制。
Anticancer Agents Med Chem. 2019;19(11):1368-1381. doi: 10.2174/1871520619666190417153350.
10
Synthesis, anticancer activity and effects on cell cycle profile and apoptosis of novel thieno[2,3-d]pyrimidine and thieno[3,2-e] triazolo[4,3-c]pyrimidine derivatives.新型噻吩并[2,3-d]嘧啶和噻吩并[3,2-e]三唑并[4,3-c]嘧啶衍生物的合成、抗癌活性及对细胞周期谱和细胞凋亡的影响。
Eur J Med Chem. 2015 Jan 27;90:620-32. doi: 10.1016/j.ejmech.2014.12.009. Epub 2014 Dec 6.

引用本文的文献

1
Design and preparation of a new Ni/Arg@zeolite-Y nano-composite: investigation of its performance as a multi-functional and bio-organic catalyst for the one-pot synthesis of thieno[2,3-]pyrimidinones.新型Ni/Arg@沸石-Y纳米复合材料的设计与制备:作为多功能生物有机催化剂用于一锅法合成噻吩并[2,3 -]嘧啶酮的性能研究
RSC Adv. 2025 Aug 7;15(34):28045-28062. doi: 10.1039/d5ra04062k. eCollection 2025 Aug 1.
2
Targeting PI3K family with small-molecule inhibitors in cancer therapy: current clinical status and future directions.针对癌症治疗中小分子抑制剂的 PI3K 家族:当前临床现状和未来方向。
Mol Cancer. 2024 Aug 10;23(1):164. doi: 10.1186/s12943-024-02072-1.
3

本文引用的文献

1
Phosphatidylinositol 3 kinase (PI3K) inhibitors as new weapon to combat cancer.磷脂酰肌醇 3 激酶(PI3K)抑制剂——抗癌的新武器。
Eur J Med Chem. 2019 Dec 1;183:111718. doi: 10.1016/j.ejmech.2019.111718. Epub 2019 Sep 20.
2
Structural Determinants of Isoform Selectivity in PI3K Inhibitors.PI3K 抑制剂的异构体选择性的结构决定因素。
Biomolecules. 2019 Feb 26;9(3):82. doi: 10.3390/biom9030082.
3
Identification of new pyrrolo[2,3-d]pyrimidines as potent VEGFR-2 tyrosine kinase inhibitors: Design, synthesis, biological evaluation and molecular modeling.
Designing Potent Anti-Cancer Agents: Synthesis and Molecular Docking Studies of Thieno[2,3-][1,2,4]triazolo[1,5-]pyrimidine Derivatives.
设计强效抗癌剂:噻吩并[2,3-][1,2,4]三唑并[1,5-]嘧啶衍生物的合成与分子对接研究。
Molecules. 2024 Feb 29;29(5):1067. doi: 10.3390/molecules29051067.
4
Synthesis of new multitarget-directed ligands containing thienopyrimidine nucleus for inhibition of 15-lipoxygenase, cyclooxygenases, and pro-inflammatory cytokines.合成含有噻吩嘧啶核的新型多靶点导向配体,用于抑制 15-脂氧合酶、环氧化酶和促炎细胞因子。
Eur J Med Chem. 2023 Aug 5;256:115443. doi: 10.1016/j.ejmech.2023.115443. Epub 2023 May 5.
鉴定新型吡咯并[2,3-d]嘧啶类化合物作为有效的 VEGFR-2 酪氨酸激酶抑制剂:设计、合成、生物评价与分子模拟。
Bioorg Chem. 2018 Dec;81:612-629. doi: 10.1016/j.bioorg.2018.09.001. Epub 2018 Sep 14.
4
Kinase inhibitors: the road ahead.激酶抑制剂:前路漫漫。
Nat Rev Drug Discov. 2018 May;17(5):353-377. doi: 10.1038/nrd.2018.21. Epub 2018 Mar 16.
5
Phosphorylation of PI3K regulatory subunit p85 contributes to resistance against PI3K inhibitors in radioresistant head and neck cancer.PI3K 调节亚基 p85 的磷酸化有助于头颈部耐辐射癌细胞对 PI3K 抑制剂的耐药性。
Oral Oncol. 2018 Mar;78:56-63. doi: 10.1016/j.oraloncology.2018.01.014. Epub 2018 Feb 20.
6
Hallmarks of cancer: The CRISPR generation.癌症的特征:CRISPR 时代。
Eur J Cancer. 2018 Apr;93:10-18. doi: 10.1016/j.ejca.2018.01.002. Epub 2018 Feb 9.
7
Cancer statistics, 2018.癌症统计数据,2018 年。
CA Cancer J Clin. 2018 Jan;68(1):7-30. doi: 10.3322/caac.21442. Epub 2018 Jan 4.
8
Duvelisib, a novel oral dual inhibitor of PI3K-δ,γ, is clinically active in advanced hematologic malignancies.杜韦利西布,一种新型口服 PI3K-δ、γ双重抑制剂,在晚期血液系统恶性肿瘤中具有临床活性。
Blood. 2018 Feb 22;131(8):877-887. doi: 10.1182/blood-2017-05-786566. Epub 2017 Nov 30.
9
Thienopyrimidine derivatives exert their anticancer efficacy via apoptosis induction, oxidative stress and mitotic catastrophe.噻吩嘧啶衍生物通过诱导细胞凋亡、氧化应激和有丝分裂灾难发挥其抗癌功效。
Eur J Med Chem. 2017 Sep 29;138:1053-1065. doi: 10.1016/j.ejmech.2017.07.028. Epub 2017 Jul 20.
10
PI3K-AKT-mTOR inhibitors in breast cancers: From tumor cell signaling to clinical trials.PI3K-AKT-mTOR 抑制剂在乳腺癌中的作用:从肿瘤细胞信号转导到临床试验。
Pharmacol Ther. 2017 Jul;175:91-106. doi: 10.1016/j.pharmthera.2017.02.037. Epub 2017 Feb 16.