Suppr超能文献

高空腹血糖水平且既往无糖尿病史与 COVID-19 不良结局风险增加相关。

High Fasting Blood Glucose Level With Unknown Prior History of Diabetes Is Associated With High Risk of Severe Adverse COVID-19 Outcome.

机构信息

Key Laboratory of Ministry of Industry and Information Technology of Biomedical Engineering and Translational Medicine, Chinese People's Liberation Army (PLA) General Hospital, Beijing, China.

Translational Medical Research Center, Chinese People's Liberation Army (PLA) General Hospital, Beijing, China.

出版信息

Front Endocrinol (Lausanne). 2021 Dec 8;12:791476. doi: 10.3389/fendo.2021.791476. eCollection 2021.

Abstract

BACKGROUND

We aimed to understand how glycaemic levels among COVID-19 patients impact their disease progression and clinical complications.

METHODS

We enrolled 2,366 COVID-19 patients from Huoshenshan hospital in Wuhan. We stratified the COVID-19 patients into four subgroups by current fasting blood glucose (FBG) levels and their awareness of prior diabetic status, including patients with FBG<6.1mmol/L with no history of diabetes (group 1), patients with FBG<6.1mmol/L with a history of diabetes diagnosed (group 2), patients with FBG≥6.1mmol/L with no history of diabetes (group 3) and patients with FBG≥6.1mmol/L with a history of diabetes diagnosed (group 4). A multivariate cause-specific Cox proportional hazard model was used to assess the associations between FBG levels or prior diabetic status and clinical adversities in COVID-19 patients.

RESULTS

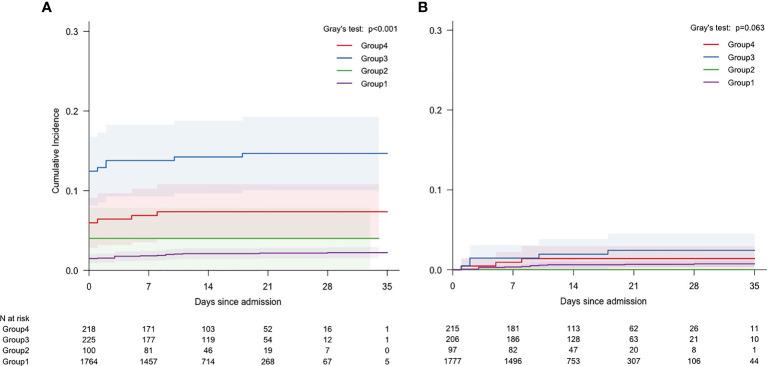
COVID-19 patients with higher FBG and unknown diabetes in the past (group 3) are more likely to progress to the severe or critical stage than patients in other groups (severe: 38.46% vs 23.46%-30.70%; critical 7.69% vs 0.61%-3.96%). These patients also have the highest abnormal level of inflammatory parameters, complications, and clinical adversities among all four groups (all p<0.05). On day 21 of hospitalisation, group 3 had a significantly higher risk of ICU admission [14.1% (9.6%-18.6%)] than group 4 [7.0% (3.7%-10.3%)], group 2 [4.0% (0.2%-7.8%)] and group 1 [2.1% (1.4%-2.8%)], (P<0.001). Compared with group 1 who had low FBG, group 3 demonstrated 5 times higher risk of ICU admission events during hospitalisation (HR=5.38, 3.46-8.35, P<0.001), while group 4, where the patients had high FBG and prior diabetes diagnosed, also showed a significantly higher risk (HR=1.99, 1.12-3.52, P=0.019), but to a much lesser extent than in group 3.

CONCLUSION

Our study shows that COVID-19 patients with current high FBG levels but unaware of pre-existing diabetes, or possibly new onset diabetes as a result of COVID-19 infection, have a higher risk of more severe adverse outcomes than those aware of prior diagnosis of diabetes and those with low current FBG levels.

摘要

背景

本研究旨在探讨 COVID-19 患者的血糖水平如何影响疾病进展和临床并发症。

方法

我们纳入了 2366 例来自武汉火神山医院的 COVID-19 患者。根据当前空腹血糖(FBG)水平和既往糖尿病史,我们将 COVID-19 患者分为四组,包括 FBG<6.1mmol/L 且无糖尿病史的患者(组 1)、FBG<6.1mmol/L 且诊断为糖尿病的患者(组 2)、FBG≥6.1mmol/L 且无糖尿病史的患者(组 3)和 FBG≥6.1mmol/L 且诊断为糖尿病的患者(组 4)。采用多变量原因特异性 Cox 比例风险模型评估 FBG 水平或既往糖尿病史与 COVID-19 患者临床不良结局之间的关系。

结果

与其他组相比,FBG 较高且既往无糖尿病史(组 3)的 COVID-19 患者更有可能进展为重症或危重症(重症:38.46%比 23.46%-30.70%;危重症:7.69%比 0.61%-3.96%)。这些患者在四个组中还具有最高的炎症参数异常水平、并发症和临床不良结局(均 P<0.05)。住院第 21 天,与组 4(7.0%[3.7%-10.3%])、组 2(4.0%[0.2%-7.8%])和组 1(2.1%[1.4%-2.8%])相比,组 3 入住 ICU 的风险显著更高[14.1%(9.6%-18.6%)](P<0.001)。与 FBG 较低的组 1 相比,在住院期间,组 3 发生 ICU 入住事件的风险高 5 倍(HR=5.38,3.46-8.35,P<0.001),而组 4 中,患者 FBG 较高且既往诊断为糖尿病,也显示出显著更高的风险(HR=1.99,1.12-3.52,P=0.019),但程度远低于组 3。

结论

本研究表明,与知晓既往糖尿病诊断和 FBG 水平较低的患者相比,当前 FBG 水平较高但不知晓既往糖尿病、或可能因 COVID-19 感染而新发糖尿病的 COVID-19 患者,发生更严重不良结局的风险更高。

https://cdn.ncbi.nlm.nih.gov/pmc/blobs/ff91/8692378/2383933748ec/fendo-12-791476-g001.jpg

文献AI研究员

20分钟写一篇综述,助力文献阅读效率提升50倍。

立即体验

用中文搜PubMed

大模型驱动的PubMed中文搜索引擎

马上搜索

文档翻译

学术文献翻译模型,支持多种主流文档格式。

立即体验