Department of General Surgery, Affiliated Cancer Hospital of Zhengzhou University, Henan Cancer Hospital, Zhengzhou, China.
Xenotransplantation Program, Department of Surgery, University of Alabama at Birmingham, Birmingham, AL, United States.
Front Immunol. 2021 Dec 8;12:788949. doi: 10.3389/fimmu.2021.788949. eCollection 2021.
In pig-to-baboon transplantation models, there is increasing evidence of systemic inflammation in xenograft recipients (SIXR) associated with pig xenograft failure. We evaluated the relationship between systemic inflammatory factors and pig kidney xenograft failure.
Baboons received kidney transplants from genetically engineered pigs (n=9), and received an anti-CD40mAb-based (n=4) or conventional (n=5) immunosuppressive regimen. The pig kidney grafts were monitored by measurements of serum creatinine, serum amyloid A (SAA), white blood cell (WBC) and platelet counts, plasma fibrinogen, and pro-inflammatory cytokines (baboon and pig IL-6, TNF-α, IL-1β).
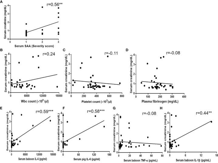
Six baboons were euthanized or died from rejection, and 3 were euthanized for infection. Changes in serum creatinine correlated with those of SAA (r=0.56, p<0.01). Serum IL-6 was increased significantly on day 1 after transplantation and at euthanasia (both p<0.05) and correlated with serum creatinine and SAA (r=0.59, p<0.001, r=0.58, p<0.01; respectively). but no difference was observed between rejection and infection. Levels of serum IL-6, TNF-α, IL-1β were also significantly increased on day 1 and at euthanasia, and serum pig IL-6 and IL-1β correlated with serum creatinine and SAA. The level of serum baboon IL-6 correlated with the expression of IL-6 and amyloid A in the baboon liver (r=0.93, p<0.01, r=0.79, p<0.05; respectively).
Early upregulation of SAA and serum IL-6 may indicate the development of rejection or infection, and are associated with impaired kidney graft function. Detection and prevention of systemic inflammation may be required to prevent pig kidney xenograft failure after xenotransplantation.
在猪-狒狒移植模型中,越来越多的证据表明,异种移植物受体(SIXR)存在全身性炎症与猪异种移植物失败有关。我们评估了全身性炎症因子与猪肾异种移植物失败之间的关系。
狒狒接受了来自基因工程猪的肾脏移植(n=9),并接受了抗 CD40mAb 为基础的(n=4)或常规(n=5)免疫抑制方案。通过测量血清肌酐、血清淀粉样蛋白 A(SAA)、白细胞(WBC)和血小板计数、血浆纤维蛋白原和促炎细胞因子(狒狒和猪的 IL-6、TNF-α、IL-1β)来监测猪肾移植物。
6 只狒狒因排斥反应而安乐死或死亡,3 只因感染而安乐死。血清肌酐的变化与 SAA 的变化相关(r=0.56,p<0.01)。血清 IL-6 在移植后第 1 天和安乐死时显著升高(均 p<0.05),并与血清肌酐和 SAA 相关(r=0.59,p<0.001,r=0.58,p<0.01;分别)。但排斥和感染之间没有差异。血清 IL-6、TNF-α、IL-1β 水平在第 1 天和安乐死时也显著升高,血清猪 IL-6 和 IL-1β 与血清肌酐和 SAA 相关。血清狒狒 IL-6 水平与狒狒肝脏中 IL-6 和淀粉样蛋白 A 的表达相关(r=0.93,p<0.01,r=0.79,p<0.05;分别)。
SAA 和血清 IL-6 的早期上调可能表明排斥或感染的发生,并与肾脏移植物功能受损有关。异种移植后,可能需要检测和预防全身性炎症,以防止猪肾异种移植物失败。