Suppr超能文献

通过患者人体测量学变量预测前交叉韧带重建中四股半腱肌移植物大小:一项280例病例的队列研究

Predicting Quadruple Semitendinosus Graft Size for Anterior Cruciate Ligament Reconstruction by Patient Anthropometric Variables: A Cohort Study of 280 Cases.

作者信息

Singhal D, Kanodia N, Singh R, Singh S K, Agrawal S

机构信息

Department of Orthopaedic, Sir Ganga Ram Hospital, New Delhi, India.

Department of Orthopaedic and Traumatology, Mayo Institute of Medical Sciences, Barabanki, India.

出版信息

Malays Orthop J. 2021 Nov;15(3):71-77. doi: 10.5704/MOJ.2111.011.

Abstract

INTRODUCTION

Pre-operative identification of patients with inadequate hamstring graft for anterior cruciate ligament reconstruction is still a subject of interest. The purpose of this study is to correlate dimension of a harvested dimensions graft with patient physical anthropometric variables.

MATERIALS AND METHODS

This cohort study included 280 patients (male = 226, female = 54) scheduled for primary anterior cruciate ligament (ACL) reconstruction. Interrelationships between quadruple semitendinosus (ST) graft and anthropometric parameters (age, sex, height, weight, and BMI) were assessed using Pearson Correlation test and regression analysis. Difference among gender was analysed using Mann Whitney and t test. The observed graft diameter was also compared with the literature using Bland - Altman plot.

RESULTS

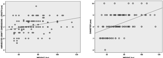
Mean age of cohort was 29 years (range, 17-50 years), mean height was 1.69m (range, 1.6-1.9m), mean weight was 75 kg (range, 50-116kg) and mean BMI was 26kg/m2 (range 16.65-40.40kg/m2). Mean quadruple length of harvested ST graft was 7cm (7.1±0.6 cm, range, 5.6-8.8cm) and mean diameter was 8mm (8.2±0.8mm, range, 6.5-10mm). Only height and weight were significantly correlated with graft length and diameter in both sex (p value <0.05). Female, compared to male, had significantly smaller (p<0.0001) and thinner graft (p<0.0001). There was a strong agreement between the literature and our observed graft diameter, but with an overestimated graft diameter in 18.5% of the cases.

CONCLUSION

Among anthropometric parameter, only height and weight had moderate positive correlation with graft diameter. Males had longer and wider ST graft in contrast to age-matched female group.

摘要

引言

术前识别前交叉韧带重建时腘绳肌移植物不足的患者仍是一个备受关注的问题。本研究的目的是将获取的移植物尺寸与患者身体测量学变量相关联。

材料与方法

这项队列研究纳入了280例计划进行初次前交叉韧带(ACL)重建的患者(男性=226例,女性=54例)。使用Pearson相关检验和回归分析评估四股半腱肌(ST)移植物与人体测量参数(年龄、性别、身高、体重和BMI)之间的相互关系。使用Mann-Whitney检验和t检验分析性别差异。还使用Bland-Altman图将观察到的移植物直径与文献进行比较。

结果

队列的平均年龄为29岁(范围17 - 50岁),平均身高为1.69米(范围1.6 - 1.9米),平均体重为75千克(范围50 - 116千克),平均BMI为26千克/平方米(范围16.65 - 40.40千克/平方米)。获取的ST移植物的平均四股长度为7厘米(7.1±0.6厘米,范围5.6 - 8.8厘米),平均直径为8毫米(8.2±0.8毫米,范围6.5 - 10毫米)。在两性中,只有身高和体重与移植物长度和直径显著相关(p值<0.05)。与男性相比,女性的移植物明显更短(p<0.0001)且更细(p<0.0001)。文献报道的移植物直径与我们观察到的结果之间存在很强的一致性,但在18.5%的病例中移植物直径被高估。

结论

在人体测量参数中,只有身高和体重与移植物直径呈中度正相关。与年龄匹配的女性组相比,男性的ST移植物更长且更宽。

https://cdn.ncbi.nlm.nih.gov/pmc/blobs/d5ee/8667253/6cd5b750a533/moj-15-071-f001.jpg

文献检索

告别复杂PubMed语法,用中文像聊天一样搜索,搜遍4000万医学文献。AI智能推荐,让科研检索更轻松。

立即免费搜索

文件翻译

保留排版,准确专业,支持PDF/Word/PPT等文件格式,支持 12+语言互译。

免费翻译文档

深度研究

AI帮你快速写综述,25分钟生成高质量综述,智能提取关键信息,辅助科研写作。

立即免费体验