Suppr超能文献

在患有轻症 COVID-19 的门诊患者中,炎症症状而非呼吸道症状与上呼吸道持续病毒脱落有关。

Inflammatory but not respiratory symptoms are associated with ongoing upper airway viral shedding in outpatients with uncomplicated COVID-19.

机构信息

Department of Medicine, Stanford University, Stanford, CA, USA.

Quantitative Sciences Unit, Stanford University, Stanford, CA, USA.

出版信息

Diagn Microbiol Infect Dis. 2022 Mar;102(3):115612. doi: 10.1016/j.diagmicrobio.2021.115612. Epub 2021 Nov 28.

Abstract

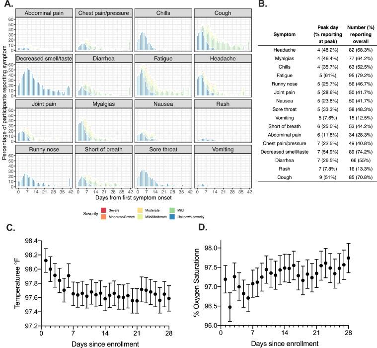
Although the vast majority of Severe Acute Respiratory Syndrome Coronavirus 2 (SARS-CoV-2) infections are uncomplicated, our understanding of predictors of symptom resolution and viral shedding cessation remains limited. We characterized symptom trajectories and oropharyngeal viral shedding among 120 outpatients with uncomplicated Coronavirus Disease of 2019 (COVID-19) enrolled in a clinical trial of Peginterferon Lambda, which demonstrated no clinical or virologic benefit compared with placebo. In the combined trial cohort, objective fever was uncommon, inflammatory symptoms (myalgias, fatigue) peaked at 4 to 5 days postsymptom onset, and cough peaked at 9 days. The median time to symptom resolution from earliest symptom onset was 17 days (95% confidence interval 14-18). SARS-CoV-2 IgG seropositivity at enrollment was associated with hastened resolution of viral shedding (hazard ratio 1.80, 95% confidence interval 1.05-3.1, P = 0.03), but not with symptom resolution. Inflammatory symptoms were associated with a significantly greater odds of oropharyngeal SARS-CoV-2 RNA detection; respiratory symptoms were not. These findings have important implications for COVID-19 screening approaches and trial design.

摘要

虽然绝大多数严重急性呼吸综合征冠状病毒 2 (SARS-CoV-2)感染是不复杂的,但我们对症状缓解和病毒脱落停止的预测因素的了解仍然有限。我们对 120 名患有未复杂化的 2019 年冠状病毒病(COVID-19)的门诊患者的症状轨迹和口咽病毒脱落进行了描述,这些患者参加了聚乙二醇干扰素 Lambda 的临床试验,与安慰剂相比,该试验未显示出临床或病毒学益处。在联合试验队列中,客观发热并不常见,炎症症状(肌痛、疲劳)在症状出现后 4 至 5 天达到峰值,咳嗽在 9 天达到峰值。从最早症状出现到症状缓解的中位时间为 17 天(95%置信区间 14-18)。在入组时 SARS-CoV-2 IgG 血清阳性与病毒脱落的快速缓解相关(危险比 1.80,95%置信区间 1.05-3.1,P=0.03),但与症状缓解无关。炎症症状与口咽 SARS-CoV-2 RNA 检测的可能性显著增加有关;呼吸道症状则没有。这些发现对 COVID-19 的筛查方法和试验设计具有重要意义。

https://cdn.ncbi.nlm.nih.gov/pmc/blobs/388f/8627385/5325f5c2d3b6/gr1_lrg.jpg

文献AI研究员

20分钟写一篇综述,助力文献阅读效率提升50倍。

立即体验

用中文搜PubMed

大模型驱动的PubMed中文搜索引擎

马上搜索

文档翻译

学术文献翻译模型,支持多种主流文档格式。

立即体验