Department of Nephrology, Juntendo University Faculty of Medicine, Tokyo, Japan.
Medical Technology Innovation Center, Juntendo University, Tokyo, Japan.
Sci Rep. 2022 Jan 7;12(1):70. doi: 10.1038/s41598-021-03878-5.
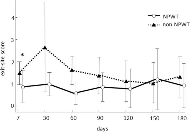
Peritoneal dialysis (PD) catheter exit-site care is critically important for the prevention of catheter-related infections (CRIs) and subsequent peritonitis. The postoperative management of the site is particularly essential because it has an open wound that is always adjacent to a PD catheter tube. This study aimed to examine the effectiveness of negative-pressure wound therapy (NPWT) for postoperative PD catheter exit sites. Thirty patients with end-stage renal disease who underwent simultaneous PD catheter insertion and exit-site formation were randomly assigned to receive NPWT (NPWT group) or conventional dressing (non-NPWT group) for the first seven postoperative days. The exit-site scores on the seventh postoperative day was lower in the NPWT group than in the non-NPWT group (p = 0.0049). Analysis of variance F statistic for the effect of NPWT over 180 days was highly significant (11.482595, p = 0.007). There were no statistically significant differences between the time to first CRI and PD-related peritonitis between the two groups. There was one case of CRI with relapsing peritonitis and catheter loss in the non-NPWT group. These findings demonstrate the association between NPWT and low exit-site score. NPWT can be recommended for the management of PD catheter exit sites in the early postoperative period.
腹膜透析(PD)导管出口部位护理对于预防导管相关感染(CRI)和随后的腹膜炎至关重要。该部位的术后管理尤为重要,因为它有一个开放的伤口,且始终与 PD 导管管相邻。本研究旨在探讨负压伤口治疗(NPWT)对 PD 导管出口部位术后的效果。30 名终末期肾病患者同时接受 PD 导管插入和出口部位形成,随机分为 NPWT(NPWT 组)或常规敷料(非 NPWT 组)治疗,术后第 7 天。NPWT 组术后第 7 天的出口部位评分低于非 NPWT 组(p=0.0049)。NPWT 在 180 天内的效果的方差分析 F 统计量具有高度显著性(11.482595,p=0.007)。两组之间首次 CRI 和 PD 相关腹膜炎的时间无统计学差异。非 NPWT 组有 1 例 CRI 合并复发性腹膜炎和导管丢失。这些发现表明 NPWT 与低出口部位评分之间存在关联。NPWT 可推荐用于 PD 导管出口部位的术后早期管理。