Suppr超能文献

原发性开角型青光眼女性患者性激素与视野进展的关系:一项横断面和前瞻性队列研究。

Association Between Sex Hormones and Visual Field Progression in Women With Primary Open Angle Glaucoma: A Cross-Sectional and Prospective Cohort Study.

作者信息

Qiu Yichao, Yu Jian, Tang Li, Ren Jun, Shao Mingxi, Li Shengjie, Song Yunxiao, Cao Wenjun, Sun Xinghuai

机构信息

Clinical Laboratory, Eye & ENT Hospital, Fudan University, Shanghai, China.

Eye Institute and Department of Ophthalmology, Eye & ENT Hospital, Fudan University, Shanghai, China.

出版信息

Front Aging Neurosci. 2021 Dec 24;13:756186. doi: 10.3389/fnagi.2021.756186. eCollection 2021.

Abstract

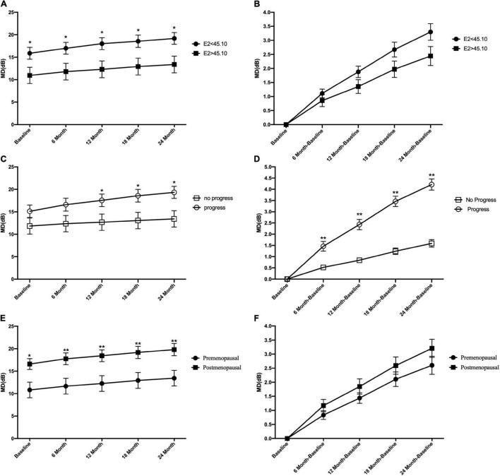
We evaluated the level of sex hormones in female patients with primary open angle glaucoma (POAG) to determine whether they are associated with the onset and/or progression of POAG. The cross-sectional study enrolled 63 women with POAG and 56 healthy women as normal control subjects. Furthermore, 57 women with POAG were included and followed-up for at least 2 years in the cohort study. All subjects were evaluated for serum concentration of sex hormones [prolactin (PRL), luteinizing hormone (LH), testosterone (TESTO), follicle-stimulating hormone (FSH), progesterone (PROG), and estrogen (E2)] and underwent visual field (VF) examination. In the cross-sectional study, Spearman analysis, linear regression analysis, and logistic regression analysis were performed to assess risk factors for POAG in women. In the cohort study, Cox regression analyses and Kaplan-Meier survival analysis were performed to identify factors associated with VF progression in women with POAG. In the cross-sectional study, the level of E2 was significantly lower in the POAG group than in the normal group ( < 0.05). Multiple logistic regression showed that the decreased level of E2 was a risk factor of POAG (OR = 0.27, 95% CI = 0.09-0.78, < 0.05), especially in premenopausal subjects. In the cohort study, there were 29 non-progression subjects and 28 progression subjects. Patients in the progression group had significantly lower levels of E2 than those in the no progression group ( < 0.01). The decreased level of E2 at baseline was associated with POAG progression (HR = 0.08, 95% CI = 0.02-0.46, < 0.05), especially in premenopausal subjects. Patients with POAG and with lower baseline E2 levels had significantly lower VF non-progression rates than patients with higher E2 levels (log-rank test < 0.001), especially premenopausal subjects (log-rank test < 0.05). Additionally, logistic regression analyses, Cox regression analyses, and Kaplan-Meier survival analysis showed that PROG, LH, FSH, and TESTO were risk factors of POAG and/or significantly associated with POAG progression. A decreased E2 level is a POAG risk factor and is associated with VF progression in women with POAG, especially in premenopausal subjects. Additionally, other sex hormones (PROG, LH, FSH, and TESTO) might also play a role in POAG pathogenesis.

摘要

我们评估了原发性开角型青光眼(POAG)女性患者的性激素水平,以确定它们是否与POAG的发病和/或进展相关。横断面研究纳入了63例POAG女性患者和56例健康女性作为正常对照。此外,队列研究纳入了57例POAG女性患者并随访至少2年。所有受试者均评估了血清性激素浓度[催乳素(PRL)、黄体生成素(LH)、睾酮(TESTO)、卵泡刺激素(FSH)、孕酮(PROG)和雌激素(E2)],并进行了视野(VF)检查。在横断面研究中,进行了Spearman分析、线性回归分析和逻辑回归分析,以评估女性POAG的危险因素。在队列研究中,进行了Cox回归分析和Kaplan-Meier生存分析,以确定与POAG女性患者VF进展相关的因素。在横断面研究中,POAG组的E2水平显著低于正常组(<0.05)。多元逻辑回归显示,E2水平降低是POAG的危险因素(OR = 0.27,95%CI = 0.09 - 0.78,<0.05),尤其是在绝经前受试者中。在队列研究中,有29例无进展受试者和28例进展受试者。进展组患者的E2水平显著低于无进展组(<0.01)。基线时E2水平降低与POAG进展相关(HR = 0.08,95%CI = 0.02 - 0.46,<0.05),尤其是在绝经前受试者中。POAG且基线E2水平较低的患者的VF无进展率显著低于E2水平较高者(对数秩检验<0.001),尤其是绝经前受试者(对数秩检验<0.05)。此外,逻辑回归分析、Cox回归分析和Kaplan-Meier生存分析显示,PROG、LH、FSH和TESTO是POAG的危险因素和/或与POAG进展显著相关。E2水平降低是POAG的危险因素,并且与POAG女性患者的VF进展相关,尤其是在绝经前受试者中。此外,其他性激素(PROG、LH、FSH和TESTO)可能也在POAG发病机制中起作用。

https://cdn.ncbi.nlm.nih.gov/pmc/blobs/0761/8741302/a70a7aaf0bd8/fnagi-13-756186-g001.jpg

文献AI研究员

20分钟写一篇综述,助力文献阅读效率提升50倍。

立即体验

用中文搜PubMed

大模型驱动的PubMed中文搜索引擎

马上搜索

文档翻译

学术文献翻译模型,支持多种主流文档格式。

立即体验