Suppr超能文献

从牦牛乳渣中分离得到的肽通过 Nrf2 信号通路发挥抗氧化作用。

Peptides Isolated from Yak Milk Residue Exert Antioxidant Effects through Nrf2 Signal Pathway.

机构信息

Hunan Key Laboratory of Processed Food for Special Medical Purpose, Central South University of Forestry and Technology, Changsha, Hunan 410004, China.

Hunan Provincial Key Laboratory of Deeply Processing and Quality Control of Cereals and Oils, College of Food Science and Engineering, Central South University of Forestry and Technology, Changsha, 410004 Hunan, China.

出版信息

Oxid Med Cell Longev. 2021 Dec 31;2021:9426314. doi: 10.1155/2021/9426314. eCollection 2021.

Abstract

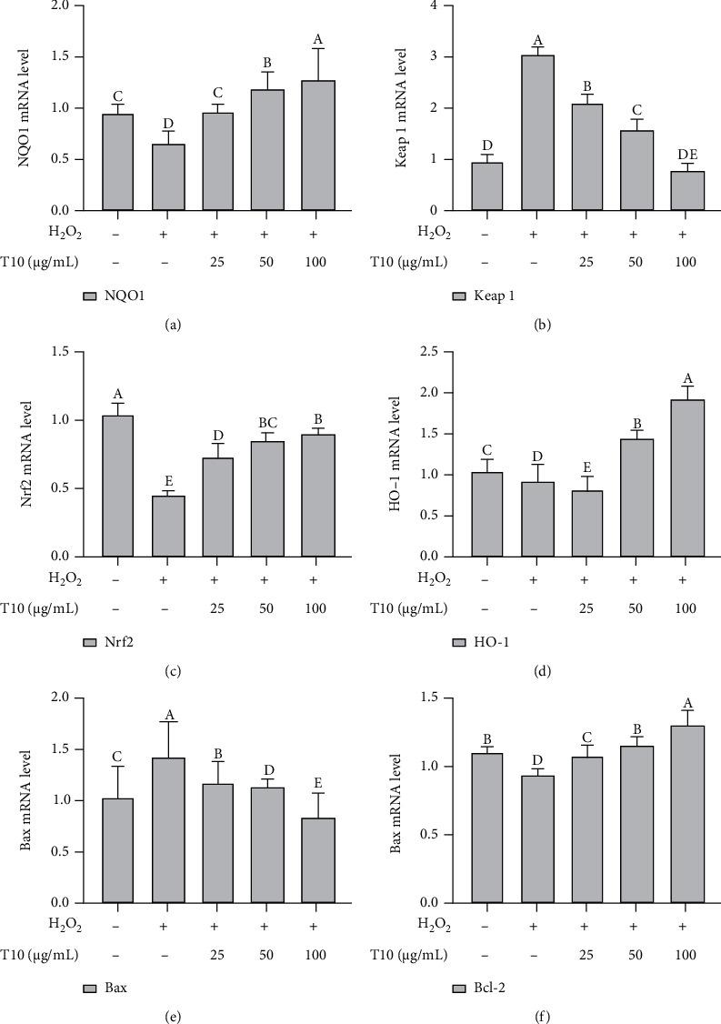
Food-derived bioactive peptides are considered as the important sources of natural bioactive ingredients. Approximately 3094 peptides were identified by nESI-LC-MS/MS in the hydrolyzed yak milk residue. Peptide KALNEINQF (T10) is the strongest antioxidant peptide. The damage model of HO-induced human umbilical vein endothelial cells (HUVECs) was used to evaluate the antioxidant effect. After treatment with 25, 50, or 100 g/mL T10 peptide, T10 obviously decreased HO-induced damage and increased the cell survival. Comparing with the HO-induced damage group, superoxide dismutase (SOD) activities were significantly increased 1.03, 1.1, and 1.33 times, and glutathione reductase (GR) activities were significantly increased 1.11, 1.30, and 1.43 times, respectively. Malondialdehyde (MDA) also reduced 1.41, 1.54, and 1.72 times, respectively. T10 inhibited HO-induced apoptosis in HUVECs, and protein expressions of the apoptosis-related genes bcl-2 and bax were increased and decreased by 1.95 and 1.44 times, respectively, suggesting T10 decreases apoptosis of the mitochondria-dependent pathway. Comparing with the HO-induced damage group, the RNA expressions of Nrf2, HO-1, and NQO1 were significantly increased by 2.00, 2.11, and 1.94 times; the protein expressions of p-Nrf2, HO-1, and NQO1 were significantly increased by 2.67, 1.73, and 1.04 times; and Keap1 was downregulated by 3.9 and 1.32 times, respectively. T10 also regulated the Nrf2 pathway and expressions of related genes (Keap1, HO-1, and NQO1), and blocking the Nrf2 pathway in the model decreased the protective effect of T10. Taken together, T10 peptide isolated from yak milk residue has a protective effect against HO-induced damage in HUVECs and the molecular mechanisms are involved in the regulation of Nrf2 signaling pathway and cell apoptosis.

摘要

食源性生物活性肽被认为是天然生物活性成分的重要来源。通过 nESI-LC-MS/MS 在水解牦牛乳残渣中鉴定出约 3094 种肽。肽 KALNEINQF(T10)是最强的抗氧化肽。使用 HO 诱导的人脐静脉内皮细胞(HUVEC)损伤模型来评估抗氧化作用。用 25、50 或 100μg/mL T10 肽处理后,T10 明显降低了 HO 诱导的损伤,提高了细胞存活率。与 HO 诱导损伤组相比,超氧化物歧化酶(SOD)活性分别显著增加了 1.03、1.1 和 1.33 倍,谷胱甘肽还原酶(GR)活性分别显著增加了 1.11、1.30 和 1.43 倍。丙二醛(MDA)也分别减少了 1.41、1.54 和 1.72 倍。T10 抑制了 HUVEC 中的 HO 诱导凋亡,凋亡相关基因 bcl-2 和 bax 的蛋白表达分别增加了 1.95 和 1.44 倍,表明 T10 减少了线粒体依赖性途径的凋亡。与 HO 诱导损伤组相比,Nrf2、HO-1 和 NQO1 的 RNA 表达分别显著增加了 2.00、2.11 和 1.94 倍;p-Nrf2、HO-1 和 NQO1 的蛋白表达分别显著增加了 2.67、1.73 和 1.04 倍;Keap1 下调了 3.9 和 1.32 倍。T10 还调节了 Nrf2 通路和相关基因(Keap1、HO-1 和 NQO1)的表达,并且在模型中阻断 Nrf2 通路会降低 T10 的保护作用。总之,从牦牛乳残渣中分离出的 T10 肽对 HUVEC 中 HO 诱导的损伤具有保护作用,其分子机制涉及调节 Nrf2 信号通路和细胞凋亡。

https://cdn.ncbi.nlm.nih.gov/pmc/blobs/738f/8741346/4c3466b09941/OMCL2021-9426314.001.jpg

文献检索

告别复杂PubMed语法,用中文像聊天一样搜索,搜遍4000万医学文献。AI智能推荐,让科研检索更轻松。

立即免费搜索

文件翻译

保留排版,准确专业,支持PDF/Word/PPT等文件格式,支持 12+语言互译。

免费翻译文档

深度研究

AI帮你快速写综述,25分钟生成高质量综述,智能提取关键信息,辅助科研写作。

立即免费体验