• 文献检索
  • 文档翻译
  • 深度研究
  • 学术资讯
  • Suppr Zotero 插件Zotero 插件
  • 邀请有礼
  • 套餐&价格
  • 历史记录
应用&插件
Suppr Zotero 插件Zotero 插件浏览器插件Mac 客户端Windows 客户端微信小程序
定价
高级版会员购买积分包购买API积分包
服务
文献检索文档翻译深度研究API 文档MCP 服务
关于我们
关于 Suppr公司介绍联系我们用户协议隐私条款
关注我们

Suppr 超能文献

核心技术专利:CN118964589B侵权必究
粤ICP备2023148730 号-1Suppr @ 2026

文献检索

告别复杂PubMed语法,用中文像聊天一样搜索,搜遍4000万医学文献。AI智能推荐,让科研检索更轻松。

立即免费搜索

文件翻译

保留排版,准确专业,支持PDF/Word/PPT等文件格式,支持 12+语言互译。

免费翻译文档

深度研究

AI帮你快速写综述,25分钟生成高质量综述,智能提取关键信息,辅助科研写作。

立即免费体验

急性心肌梗死患者的三碘甲状腺原氨酸(T3)、炎症与死亡风险

Triiodothyronine (T3), inflammation and mortality risk in patients with acute myocardial infarction.

作者信息

Razvi Salman, Jabbar Avais, Bano Arjola, Ingoe Lorna, Carey Peter, Junejo Shahid, Thomas Honey, Addison Caroline, Austin David, Greenwood John P, Zaman Azfar G

机构信息

Translational and Clinical Research Institute, Newcastle University, Newcastle upon Tyne, UK.

Department of Endocrinology, Gateshead Health NHS Foundation Trust, Gateshead, UK.

出版信息

Eur Thyroid J. 2022 Feb 9;11(2):e210085. doi: 10.1530/ETJ-21-0085.

DOI:10.1530/ETJ-21-0085
PMID:35007210
原文链接:https://pmc.ncbi.nlm.nih.gov/articles/PMC9142797/
Abstract

OBJECTIVES

To study the relationship between serum-free T3 (FT3), C-reactive protein (CRP) and all-cause mortality in patients with acute myocardial infarction (AMI).

DESIGN

Prospective multicentre longitudinal cohort study.

METHODS

Between December 2014 and December 2016, thyroid function and CRP were analysed in AMI (both ST-elevation (STEMI) and non-ST-elevation) patients from the Thyroxine in Acute Myocardial Infarction study. The relationship of FT3 and CRP at baseline with all-cause mortality up to June 2020 was assessed. Mediation analysis was performed to evaluate if CRP mediated the relationship between FT3 and mortality.

RESULTS

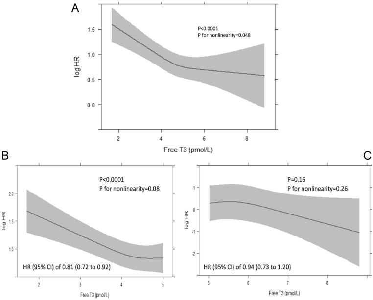
In 1919 AMI patients (29.2% women, mean (s.d.) age: 64.2 (12.1) years and 48.7% STEMI) followed over a median (interquartile range) period of 51 (46-58) months, there were 277 (14.4%) deaths. Overall, lower serum FT3 and higher CRP levels were associated with higher risk of mortality. When divided the patients into tertiles based on the levels of FT3 and CRP; the group with the lowest FT3 and highest CRP levels had a 2.5-fold increase in mortality risk (adjusted hazard ratio (95% CI) of 2.48 (1.82-3.16)) compared to the group with the highest FT3 and lowest CRP values. CRP mediated 9.8% (95% CI: 6.1-15.0%) of the relationship between FT3 and mortality.

CONCLUSIONS

In AMI patients, lower serum FT3 levels on admission are associated with a higher mortality risk, which is partly mediated by inflammation. Adequately designed trials to explore the potential benefits of T3 in AMI patients are required.

摘要

目的

研究急性心肌梗死(AMI)患者血清游离三碘甲状腺原氨酸(FT3)、C反应蛋白(CRP)与全因死亡率之间的关系。

设计

前瞻性多中心纵向队列研究。

方法

在2014年12月至2016年12月期间,对急性心肌梗死甲状腺素研究中的AMI患者(包括ST段抬高型心肌梗死(STEMI)和非ST段抬高型心肌梗死)进行甲状腺功能和CRP分析。评估基线时FT3和CRP与截至2020年6月的全因死亡率之间的关系。进行中介分析以评估CRP是否介导了FT3与死亡率之间的关系。

结果

在1919例AMI患者中(女性占29.2%,平均(标准差)年龄:64.2(12.1)岁,STEMI占48.7%),随访时间中位数(四分位间距)为51(46 - 58)个月,有277例(14.4%)死亡。总体而言,血清FT3水平较低和CRP水平较高与较高的死亡风险相关。根据FT3和CRP水平将患者分为三分位数;与FT3水平最高且CRP水平最低的组相比,FT3水平最低且CRP水平最高的组死亡风险增加了2.5倍(调整后风险比(95%CI)为2.48(1.82 - 3.16))。CRP介导了FT3与死亡率之间关系的9.8%(95%CI:6.1 - 15.0%)。

结论

在AMI患者中,入院时血清FT3水平较低与较高的死亡风险相关,这部分是由炎症介导的。需要进行设计充分的试验来探索T3对AMI患者的潜在益处。

https://cdn.ncbi.nlm.nih.gov/pmc/blobs/4542/9142797/99de1b19160f/ETJ-21-0085fig4.jpg
https://cdn.ncbi.nlm.nih.gov/pmc/blobs/4542/9142797/7efbe369a55b/ETJ-21-0085fig1.jpg
https://cdn.ncbi.nlm.nih.gov/pmc/blobs/4542/9142797/e8694c5685a2/ETJ-21-0085fig2.jpg
https://cdn.ncbi.nlm.nih.gov/pmc/blobs/4542/9142797/b4dc825d65c2/ETJ-21-0085fig3.jpg
https://cdn.ncbi.nlm.nih.gov/pmc/blobs/4542/9142797/99de1b19160f/ETJ-21-0085fig4.jpg
https://cdn.ncbi.nlm.nih.gov/pmc/blobs/4542/9142797/7efbe369a55b/ETJ-21-0085fig1.jpg
https://cdn.ncbi.nlm.nih.gov/pmc/blobs/4542/9142797/e8694c5685a2/ETJ-21-0085fig2.jpg
https://cdn.ncbi.nlm.nih.gov/pmc/blobs/4542/9142797/b4dc825d65c2/ETJ-21-0085fig3.jpg
https://cdn.ncbi.nlm.nih.gov/pmc/blobs/4542/9142797/99de1b19160f/ETJ-21-0085fig4.jpg

相似文献

1
Triiodothyronine (T3), inflammation and mortality risk in patients with acute myocardial infarction.急性心肌梗死患者的三碘甲状腺原氨酸(T3)、炎症与死亡风险
Eur Thyroid J. 2022 Feb 9;11(2):e210085. doi: 10.1530/ETJ-21-0085.
2
The Association of Thyroid Hormones With Cardiogenic Shock and Prognosis in Patients with ST Segment Elevation Myocardial Infarction (STEMI) Treated with Primary PCI.甲状腺激素与接受直接经皮冠状动脉介入治疗的 ST 段抬高型心肌梗死(STEMI)患者心原性休克及预后的关系。
Am J Med Sci. 2022 Mar;363(3):251-258. doi: 10.1016/j.amjms.2021.06.020. Epub 2021 Sep 20.
3
Left ventricular function by speckle-tracking echocardiography in patients with low-T3 syndrome and acute myocardial infarction.应用斑点追踪超声心动图评价低 T3 综合征合并急性心肌梗死患者的左心室功能。
Medicina (Kaunas). 2015;51(4):209-16. doi: 10.1016/j.medici.2015.07.004. Epub 2015 Aug 1.
4
Higher Peripheral Thyroid Sensitivity Is Linked to a Lower Risk of Heart Failure After Acute Myocardial Infarction.外周甲状腺敏感性较高与急性心肌梗死后心力衰竭风险降低相关。
J Clin Endocrinol Metab. 2023 Oct 18;108(11):2950-2960. doi: 10.1210/clinem/dgad240.
5
Association between Low Free Triiodothyronine Levels and Poor Prognosis in Patients with Acute ST-Elevation Myocardial Infarction.游离三碘甲状腺原氨酸水平低与急性 ST 段抬高型心肌梗死患者预后不良的相关性。
Biomed Res Int. 2018 Apr 16;2018:9803851. doi: 10.1155/2018/9803851. eCollection 2018.
6
Free triiodothyronine level indicates the degree of myocardial injury in patients with acute ST-elevation myocardial infarction.游离三碘甲状腺原氨酸水平反映急性 ST 段抬高型心肌梗死患者心肌损伤程度。
Chin Med J (Engl). 2013 Oct;126(20):3926-9.
7
Relationship between left ventricular mechanics and low free triiodothyronine levels after myocardial infarction: a prospective study.心肌梗死后左心室力学与低游离三碘甲状腺原氨酸水平之间的关系:一项前瞻性研究。
Intern Emerg Med. 2016 Apr;11(3):391-8. doi: 10.1007/s11739-015-1370-x. Epub 2015 Dec 21.
8
Prevalence, predictors and outcomes of thyroid dysfunction in patients with acute myocardial infarction: the ThyrAMI-1 study.甲状腺功能障碍在急性心肌梗死患者中的患病率、预测因素和结局:ThyrAMI-1 研究。
J Endocrinol Invest. 2021 Jun;44(6):1209-1218. doi: 10.1007/s40618-020-01408-0. Epub 2020 Sep 8.
9
Correlation of Triiodothyronine Level with In-Hospital Cardiac Function and Long-Term Prognosis in Patients with Acute Myocardial Infarction.三碘甲状腺原氨酸水平与急性心肌梗死患者住院期间心功能及长期预后的相关性。
Dis Markers. 2018 Dec 2;2018:5236267. doi: 10.1155/2018/5236267. eCollection 2018.
10
Differential impact of admission C-reactive protein levels on 28-day mortality risk in patients with ST-elevation versus non-ST-elevation myocardial infarction (from the Monitoring Trends and Determinants on Cardiovascular Diseases [MONICA]/Cooperative Health Research in the Region of Augsburg [KORA] Augsburg Myocardial Infarction Registry).ST段抬高型与非ST段抬高型心肌梗死患者入院时C反应蛋白水平对28天死亡风险的差异影响(来自心血管疾病监测趋势与决定因素[MONICA]/奥格斯堡地区合作健康研究[KORA]奥格斯堡心肌梗死登记处)
Am J Cardiol. 2008 Nov 1;102(9):1125-30. doi: 10.1016/j.amjcard.2008.06.034. Epub 2008 Aug 15.

引用本文的文献

1
Abnormal expression of circ_0013958 in patients with acute myocardial infarction (AMI) and its influence on prognosis.circ_0013958 在急性心肌梗死(AMI)患者中的异常表达及其对预后的影响。
J Cardiothorac Surg. 2024 Sep 6;19(1):517. doi: 10.1186/s13019-024-03036-8.
2
Prognostic implications of thyroid disease in patients with atrial fibrillation.甲状腺疾病对心房颤动患者预后的影响。
Heart Vessels. 2024 Feb;39(2):185-193. doi: 10.1007/s00380-023-02341-x. Epub 2023 Dec 13.
3
Risk analysis of gastrointestinal bleeding in hospital patients with acute myocardial infarction undergoing primary PCI.

本文引用的文献

1
Effect of Levothyroxine on Left Ventricular Ejection Fraction in Patients With Subclinical Hypothyroidism and Acute Myocardial Infarction: A Randomized Clinical Trial.左甲状腺素对亚临床甲状腺功能减退症合并急性心肌梗死患者左心室射血分数的影响:一项随机临床试验。
JAMA. 2020 Jul 21;324(3):249-258. doi: 10.1001/jama.2020.9389.
2
Association of troponin level and age with mortality in 250 000 patients: cohort study across five UK acute care centres.在 250000 名患者中,肌钙蛋白水平和年龄与死亡率的关联:五个英国急性护理中心的队列研究。
BMJ. 2019 Nov 20;367:l6055. doi: 10.1136/bmj.l6055.
3
Efficacy and Safety of Low-Dose Colchicine after Myocardial Infarction.
接受直接经皮冠状动脉介入治疗的急性心肌梗死住院患者胃肠道出血的风险分析
J Geriatr Cardiol. 2023 May 28;20(5):386-390. doi: 10.26599/1671-5411.2023.05.005.
4
Meta-Analysis of the Effects of Recombinant Human Brain Natriuretic Peptides on Left Ventricular Remodeling in Patients with Acute Myocardial Infarction.急性心肌梗死后重组人脑利钠肽对左心室重构影响的Meta 分析。
Comput Math Methods Med. 2022 Aug 18;2022:8916791. doi: 10.1155/2022/8916791. eCollection 2022.
心梗后小剂量秋水仙碱的疗效和安全性。
N Engl J Med. 2019 Dec 26;381(26):2497-2505. doi: 10.1056/NEJMoa1912388. Epub 2019 Nov 16.
4
Usefulness of Triiodothyronine Replacement Therapy in Patients With ST Elevation Myocardial Infarction and Borderline/Reduced Triiodothyronine Levels (from the THIRST Study).三碘甲状腺原氨酸替代治疗对 ST 段抬高型心肌梗死伴边缘/低三碘甲状腺原氨酸血症患者的作用(来自 THIRST 研究)。
Am J Cardiol. 2019 Mar 15;123(6):905-912. doi: 10.1016/j.amjcard.2018.12.020. Epub 2018 Dec 18.
5
Low-Dose Methotrexate for the Prevention of Atherosclerotic Events.低剂量甲氨蝶呤预防动脉粥样硬化事件。
N Engl J Med. 2019 Feb 21;380(8):752-762. doi: 10.1056/NEJMoa1809798. Epub 2018 Nov 10.
6
Value of the fT3/fT4 ratio and its combination with the GRACE risk score in predicting the prognosis in euthyroid patients with acute myocardial infarction undergoing percutaneous coronary intervention: a prospective cohort study.游离三碘甲状腺原氨酸/游离甲状腺素比值及其与GRACE风险评分联合预测接受经皮冠状动脉介入治疗的甲状腺功能正常急性心肌梗死患者预后的价值:一项前瞻性队列研究
BMC Cardiovasc Disord. 2018 Sep 10;18(1):181. doi: 10.1186/s12872-018-0916-z.
7
Thyroid Hormones and Cardiovascular Function and Diseases.甲状腺激素与心血管功能和疾病。
J Am Coll Cardiol. 2018 Apr 24;71(16):1781-1796. doi: 10.1016/j.jacc.2018.02.045.
8
Comparison of Therapeutic Triiodothyronine Versus Metoprolol in the Treatment of Myocardial Infarction in Rats.比较三碘甲状腺原氨酸与美托洛尔治疗大鼠心肌梗死的疗效。
Thyroid. 2018 Jun;28(6):799-810. doi: 10.1089/thy.2017.0544. Epub 2018 May 7.
9
Post-Myocardial Infarction Heart Failure.心肌梗死后心力衰竭。
JACC Heart Fail. 2018 Mar;6(3):179-186. doi: 10.1016/j.jchf.2017.09.015.
10
Antiinflammatory Therapy with Canakinumab for Atherosclerotic Disease.卡那奴单抗治疗动脉粥样硬化疾病的抗炎疗法。
N Engl J Med. 2017 Sep 21;377(12):1119-1131. doi: 10.1056/NEJMoa1707914. Epub 2017 Aug 27.