Suppr超能文献

病例讨论会是牙科住院医师采用循证医学实践的一种途径。

Journal Club is a way forward to adopt Evidence Based Practice among dental House Officers.

作者信息

Bana Kiran Fatima Mehboob Ali

机构信息

Dr. Kiran Fatima Mehboob Ali Bana, BDS, MCPS-HCSM, MHPE Assistant Professor, Department of Medical Education (Dental College), Bahria Dental College Karachi, Bahria University of Health Sciences (BUHS), Karachi, Pakistan.

出版信息

Pak J Med Sci. 2022 Jan-Feb;38(1):195-200. doi: 10.12669/pjms.38.1.4562.

Abstract

OBJECTIVES

To identify the improvement in knowledge, presentation skills, critical skills and self-directed learning process during Journal Club platform amidst dental house officers of 2018, 2019 and 2020 after completing one year house job training at Bahria dental College Karachi.

METHODS

This cross-sectional study was conducted from Dec- 2018 till Dec-2020. The six items were asked about perception of change for evidence-based process of (knowledge, cognitive, affective and participant domains) after completion of house job training by each cohort. The responses were noted on three point likert scale as agree, neutral and disagree. Total 150 questionnaires were distributed in three cohorts. The SPSS version 23 was used. P-value < 0.05 was considered as statistically significant.

RESULTS

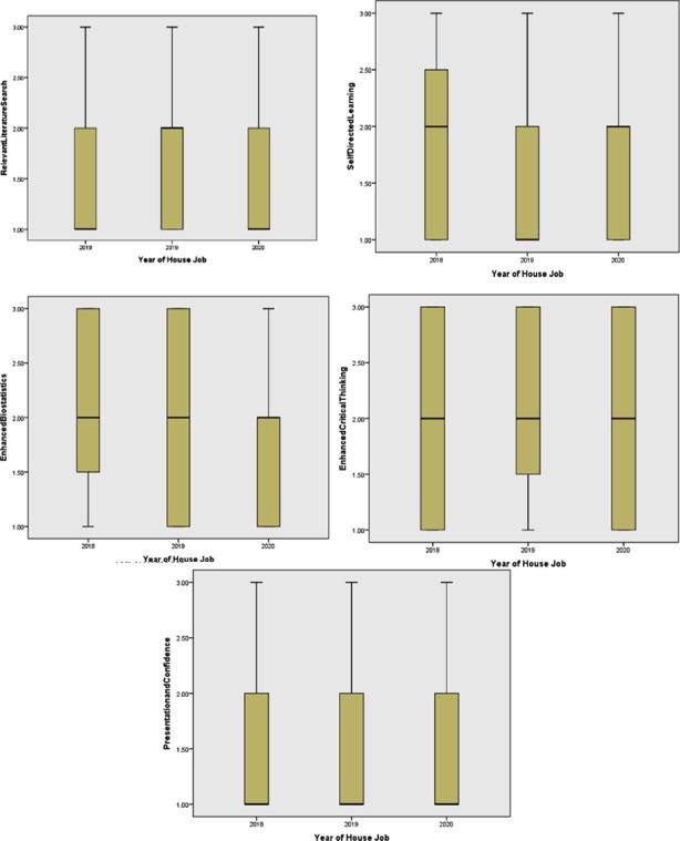
Total n=145 house officers had completed the proforma with response rate of 96.65%. The mean age was 24.45 ± SD 0.63 among three groups. There were n=20(14%) males and n=125(86%) females. There was improvement found for knowledge acquisition about relevant literature search among all three groups. Regarding knowledge acquisition of bio-statistics; majority of subjects n=26 (52%) in 2020 group had reported no change and in 2019 cohort n=23(48%) were agreed. Majority n=21(44%) of house officers had reported no change when asked as JC helped in critical thinking in year 2019.

CONCLUSION

Knowledge acquisition about relevant literature search, presentation and confidence skills were improved but no significant changes were found in knowledge of biostatistics and critical thinking skills. JC is a convincing platform to learn evidence-based process amid dental house officers.

摘要

目的

确定2018年、2019年和2020年的牙科住院医师在卡拉奇巴哈里亚牙科学院完成为期一年的住院医师培训后,通过期刊俱乐部平台在知识、演讲技巧、批判性技能和自主学习过程方面的提升情况。

方法

本横断面研究于2018年12月至2020年12月进行。询问了每个队列在完成住院医师培训后对循证过程(知识、认知、情感和参与领域)变化的看法的六个项目。回答以三点李克特量表记录,分为同意、中立和不同意。共向三个队列发放了150份问卷。使用SPSS 23版。P值<0.05被认为具有统计学意义。

结果

共有n = 145名住院医师完成了问卷,回复率为96.65%。三组的平均年龄为24.45±标准差0.63。男性n = 20(14%),女性n = 125(86%)。在所有三组中,关于相关文献检索的知识获取都有改善。关于生物统计学的知识获取;2020年组的大多数受试者n = 26(52%)报告没有变化,2019年队列中有n = 23(48%)表示同意。当被问及期刊俱乐部在2019年是否有助于批判性思维时,大多数住院医师n = 21(44%)报告没有变化。

结论

在相关文献检索、演讲和自信技能方面的知识获取有所改善,但在生物统计学知识和批判性思维技能方面未发现显著变化。期刊俱乐部是牙科住院医师学习循证过程的一个有说服力的平台。

https://cdn.ncbi.nlm.nih.gov/pmc/blobs/9188/8713214/a31c6d4f52e1/PJMS-38-195-g001.jpg

文献AI研究员

20分钟写一篇综述,助力文献阅读效率提升50倍。

立即体验

用中文搜PubMed

大模型驱动的PubMed中文搜索引擎

马上搜索

文档翻译

学术文献翻译模型,支持多种主流文档格式。

立即体验