• 文献检索
  • 文档翻译
  • 深度研究
  • 学术资讯
  • Suppr Zotero 插件Zotero 插件
  • 邀请有礼
  • 套餐&价格
  • 历史记录
应用&插件
Suppr Zotero 插件Zotero 插件浏览器插件Mac 客户端Windows 客户端微信小程序
定价
高级版会员购买积分包购买API积分包
服务
文献检索文档翻译深度研究API 文档MCP 服务
关于我们
关于 Suppr公司介绍联系我们用户协议隐私条款
关注我们

Suppr 超能文献

核心技术专利:CN118964589B侵权必究
粤ICP备2023148730 号-1Suppr @ 2026

文献检索

告别复杂PubMed语法,用中文像聊天一样搜索,搜遍4000万医学文献。AI智能推荐,让科研检索更轻松。

立即免费搜索

文件翻译

保留排版,准确专业,支持PDF/Word/PPT等文件格式,支持 12+语言互译。

免费翻译文档

深度研究

AI帮你快速写综述,25分钟生成高质量综述,智能提取关键信息,辅助科研写作。

立即免费体验

运用网络分析了解个体化物理治疗或建议如何改变腰痛患者残疾的不同方面。

Understanding how individualised physiotherapy or advice altered different elements of disability for people with low back pain using network analysis.

机构信息

School of Sport, Rehabilitation and Exercise Sciences, University of Essex, Colchester, Essex, United Kingdom.

Discipline of Physiotherapy, School of Allied Health, Human Services & Sport, La Trobe University, Melbourne Australia.

出版信息

PLoS One. 2022 Feb 10;17(2):e0263574. doi: 10.1371/journal.pone.0263574. eCollection 2022.

DOI:10.1371/journal.pone.0263574
PMID:35143552
原文链接:https://pmc.ncbi.nlm.nih.gov/articles/PMC8830646/
Abstract

PURPOSE

The Oswestry Disability Index (ODI) is a common aggregate measure of disability for people with Low Back Pain (LBP). Scores on individual items and the relationship between items of the ODI may help understand the complexity of low back disorders and their response to treatment. In this study, we present a network analysis to explore how individualised physiotherapy or advice might influence individual items of the ODI, and the relationship between those items, at different time points for people with LBP.

METHODS

Data from a randomised controlled trial (n = 300) comparing individualised physiotherapy versus advice for low back pain were used. A network analysis was performed at baseline, 5, 10, 26 and 52 weeks, with the 10 items of the Oswestry Disability Index modelled as continuous variables and treatment group (Individualised Physiotherapy or Advice) modelled as a dichotomous variable. A Mixed Graphical Model was used to estimate associations between variables in the network, while centrality indices (Strength, Closeness and Betweenness) were calculated to determine the importance of each variable.

RESULTS

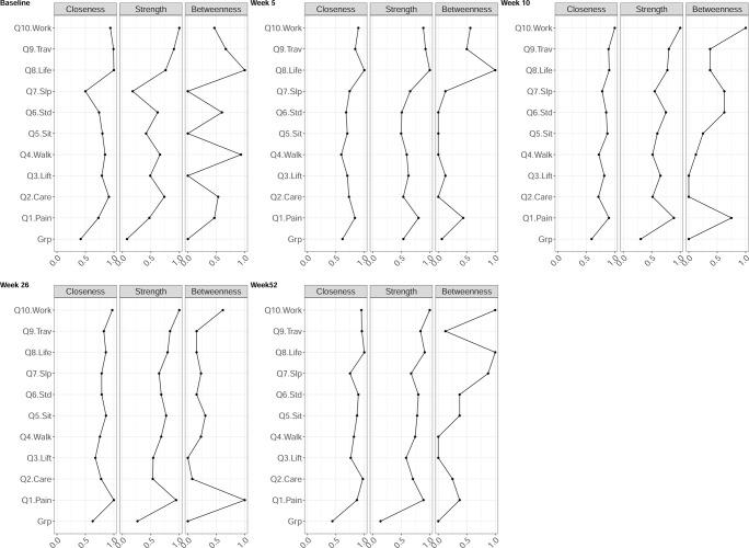
Individualised Physiotherapy was directly related to lower Sleep and Pain scores at all follow-up time points relative to advice, as well as a lower Standing score at 10-weeks, and higher Lifting and Travelling scores at 5-weeks. The strongest associations in the network were between Sitting and Travelling at weeks 5 and 26, between Walking and Standing at week 10, and between Sitting and Standing scores at week 52. ODI items with the highest centrality measures were consistently found to be Pain, Work and Social Life.

CONCLUSION

This study represents the first to understand how individualised physiotherapy or advice differentially altered disability in people with LBP. Individualised Physiotherapy directly reduced Pain and Sleep more effectively than advice, which in turn may have facilitated improvements in other disability items. Through their high centrality measures, Pain may be considered as a candidate therapeutic target for optimising LBP management, while Work and Socialising may need to be addressed via intermediary improvements in lifting, standing, walking, travelling or sleep. Slower (5-week follow-up) improvements in Lifting and Travelling as an intended element of the Individualised Physiotherapy approach did not negatively impact any longer-term outcomes.

TRIALS REGISTRATION

ACTRN12609000834257.

摘要

目的

Oswestry 残疾指数(ODI)是一种常见的腰痛(LBP)患者残疾综合衡量指标。个别项目的分数以及 ODI 项目之间的关系有助于理解下腰痛的复杂性及其对治疗的反应。在这项研究中,我们进行了网络分析,以探讨个体化物理治疗或建议如何在不同时间点影响腰痛患者的 ODI 个别项目以及这些项目之间的关系。

方法

使用比较个体化物理治疗与腰痛建议的随机对照试验(n=300)的数据。在基线、5、10、26 和 52 周时进行网络分析,将 Oswestry 残疾指数的 10 个项目建模为连续变量,将治疗组(个体化物理治疗或建议)建模为二分类变量。使用混合图形模型来估计网络中变量之间的关联,同时计算中心性指数(强度、接近度和中间度)以确定每个变量的重要性。

结果

与建议相比,个体化物理治疗在所有随访时间点均与较低的睡眠和疼痛评分直接相关,在 10 周时与较低的站立评分相关,在 5 周时与较高的提举和旅行评分相关。网络中最强的关联是在第 5 和 26 周时的坐姿和旅行之间,在第 10 周时的步行和站立之间,以及在第 52 周时的坐姿和站立评分之间。中心性测量最高的 ODI 项目始终是疼痛、工作和社会生活。

结论

这项研究代表了首次了解个体化物理治疗或建议如何在腰痛患者中不同程度地改变残疾。与建议相比,个体化物理治疗更直接地减轻疼痛和睡眠,这反过来可能促进了其他残疾项目的改善。通过其高中心性测量,疼痛可能被视为优化腰痛管理的候选治疗靶点,而工作和社交则可能需要通过中间改善举重、站立、行走、旅行或睡眠来解决。作为个体化物理治疗方法的预期要素,提升和旅行在 5 周的随访中较慢的改善并没有对任何长期结果产生负面影响。

试验注册

ACTRN12609000834257。

https://cdn.ncbi.nlm.nih.gov/pmc/blobs/7cdf/8830646/1d59768d40ea/pone.0263574.g004.jpg
https://cdn.ncbi.nlm.nih.gov/pmc/blobs/7cdf/8830646/e11503264841/pone.0263574.g001.jpg
https://cdn.ncbi.nlm.nih.gov/pmc/blobs/7cdf/8830646/ba5096044294/pone.0263574.g002.jpg
https://cdn.ncbi.nlm.nih.gov/pmc/blobs/7cdf/8830646/4c67cf71e43e/pone.0263574.g003.jpg
https://cdn.ncbi.nlm.nih.gov/pmc/blobs/7cdf/8830646/1d59768d40ea/pone.0263574.g004.jpg
https://cdn.ncbi.nlm.nih.gov/pmc/blobs/7cdf/8830646/e11503264841/pone.0263574.g001.jpg
https://cdn.ncbi.nlm.nih.gov/pmc/blobs/7cdf/8830646/ba5096044294/pone.0263574.g002.jpg
https://cdn.ncbi.nlm.nih.gov/pmc/blobs/7cdf/8830646/4c67cf71e43e/pone.0263574.g003.jpg
https://cdn.ncbi.nlm.nih.gov/pmc/blobs/7cdf/8830646/1d59768d40ea/pone.0263574.g004.jpg

相似文献

1
Understanding how individualised physiotherapy or advice altered different elements of disability for people with low back pain using network analysis.运用网络分析了解个体化物理治疗或建议如何改变腰痛患者残疾的不同方面。
PLoS One. 2022 Feb 10;17(2):e0263574. doi: 10.1371/journal.pone.0263574. eCollection 2022.
2
How does individualised physiotherapy work for people with low back pain? A Bayesian Network analysis using randomised controlled trial data.针对腰痛患者的个体化物理治疗是如何起作用的?一项基于随机对照试验数据的贝叶斯网络分析。
PLoS One. 2021 Oct 11;16(10):e0258515. doi: 10.1371/journal.pone.0258515. eCollection 2021.
3
Individualised physiotherapy as an adjunct to guideline-based advice for low back disorders in primary care: a randomised controlled trial.个体化物理治疗作为初级保健中基于指南的建议辅助治疗下腰痛的一种方法:一项随机对照试验。
Br J Sports Med. 2016 Feb;50(4):237-45. doi: 10.1136/bjsports-2015-095058. Epub 2015 Oct 20.
4
Individualised functional restoration plus guideline-based advice vs advice alone for non-reducible discogenic low back pain: a randomised controlled trial.个体化功能恢复加基于指南的建议与单纯建议治疗不可复性盘源性下腰痛的随机对照试验
Physiotherapy. 2017 Jun;103(2):121-130. doi: 10.1016/j.physio.2016.08.001. Epub 2016 Aug 10.
5
Specific treatment of problems of the spine (STOPS): design of a randomised controlled trial comparing specific physiotherapy versus advice for people with subacute low back disorders.脊柱问题的特定治疗(STOPS):一项比较特定物理治疗与亚急性下腰痛患者建议的随机对照试验设计。
BMC Musculoskelet Disord. 2011 May 20;12:104. doi: 10.1186/1471-2474-12-104.
6
Individualised manual therapy plus guideline-based advice vs advice alone for people with clinical features of lumbar zygapophyseal joint pain: a randomised controlled trial.针对具有腰椎关节突关节疼痛临床特征的患者,采用个体化手法治疗联合基于指南的建议与单纯建议比较:一项随机对照试验。
Physiotherapy. 2019 Mar;105(1):53-64. doi: 10.1016/j.physio.2018.07.008. Epub 2018 Aug 3.
7
Progressive exercise compared with best-practice advice, with or without corticosteroid injection, for rotator cuff disorders: the GRASP factorial RCT.渐进性锻炼与最佳实践建议比较,有无皮质类固醇注射,用于肩袖疾病:GRASP 析因 RCT。
Health Technol Assess. 2021 Aug;25(48):1-158. doi: 10.3310/hta25480.
8
Effects of individualised directional preference management versus advice for reducible discogenic pain: A pre-planned secondary analysis of a randomised controlled trial.个体化方向偏好管理与针对可复性盘源性疼痛的建议的效果比较:一项随机对照试验的预先计划的二次分析
Man Ther. 2016 Sep;25:69-80. doi: 10.1016/j.math.2016.06.002. Epub 2016 Jun 11.
9
A randomized controlled trial investigating effects of an individualized pedometer driven walking program on chronic low back pain.一项随机对照试验,旨在研究个体化计步器驱动的步行计划对慢性下腰痛的影响。
BMC Musculoskelet Disord. 2021 Feb 19;22(1):206. doi: 10.1186/s12891-021-04060-8.
10
Physiotherapy for sleep disturbance in chronic low back pain: a feasibility randomised controlled trial.慢性下腰痛睡眠障碍的物理治疗:一项可行性随机对照试验。
BMC Musculoskelet Disord. 2010 Apr 16;11:70. doi: 10.1186/1471-2474-11-70.

引用本文的文献

1
Exploring the complexity of commonly held attitudes and beliefs of low back pain-a network analysis.探索关于腰痛的常见态度和信念的复杂性——一项网络分析
Front Med (Lausanne). 2024 Jan 24;11:1327791. doi: 10.3389/fmed.2024.1327791. eCollection 2024.

本文引用的文献

1
Comparing network structures on three aspects: A permutation test.比较网络结构的三个方面:置换检验。
Psychol Methods. 2023 Dec;28(6):1273-1285. doi: 10.1037/met0000476. Epub 2022 Apr 11.
2
Understanding the Relationship Between Complicated Grief Symptoms and Patterns of Personality Disorders in a Substance Users' Sample: A Network Analysis Approach.了解物质使用者样本中复杂悲伤症状与人格障碍模式之间的关系:一种网络分析方法。
Front Psychol. 2020 Oct 30;11:566785. doi: 10.3389/fpsyg.2020.566785. eCollection 2020.
3
Examining what factors mediate treatment effect in chronic low back pain: A mediation analysis of a Cognitive Functional Therapy clinical trial.
探讨慢性下腰痛治疗效果的中介因素:认知功能疗法临床试验的中介分析。
Eur J Pain. 2020 Oct;24(9):1765-1774. doi: 10.1002/ejp.1624. Epub 2020 Jul 20.
4
Symptom networks in acute depression across bipolar and major depressive disorders: A network analysis on a large, international, observational study.双相和单相抑郁障碍急性抑郁中的症状网络:一项大型国际观察性研究的网络分析。
Eur Neuropsychopharmacol. 2020 Jun;35:49-60. doi: 10.1016/j.euroneuro.2020.03.017. Epub 2020 May 12.
5
Global low back pain prevalence and years lived with disability from 1990 to 2017: estimates from the Global Burden of Disease Study 2017.1990年至2017年全球腰痛患病率及伤残调整生命年:来自《2017年全球疾病负担研究》的估计
Ann Transl Med. 2020 Mar;8(6):299. doi: 10.21037/atm.2020.02.175.
6
The Complex Interplay of Pain, Depression, and Anxiety Symptoms in Patients With Chronic Pain: A Network Approach.慢性疼痛患者疼痛、抑郁和焦虑症状的复杂相互作用:网络方法。
Clin J Pain. 2020 Apr;36(4):249-259. doi: 10.1097/AJP.0000000000000797.
7
Associations Between Sleep Disturbance and Chronic Pain Intensity and Function: A Test of Direct and Indirect Pathways.睡眠障碍与慢性疼痛强度和功能的关系:直接和间接途径的检验。
Clin J Pain. 2019 Jul;35(7):569-576. doi: 10.1097/AJP.0000000000000711.
8
Introducing Network Intervention Analysis to Investigate Sequential, Symptom-Specific Treatment Effects: A Demonstration in Co-Occurring Insomnia and Depression.引入网络干预分析以研究序贯性、症状特异性治疗效果:失眠与抑郁共病的实例分析
Psychother Psychosom. 2019;88(1):52-54. doi: 10.1159/000495045. Epub 2019 Jan 9.
9
Behavioral Therapy Approaches for the Management of Low Back Pain: An Up-To-Date Systematic Review.用于管理腰痛的行为疗法方法:最新系统评价
Pain Ther. 2018 Jun;7(1):1-12. doi: 10.1007/s40122-018-0099-4. Epub 2018 May 16.
10
Cognitive Functional Therapy: An Integrated Behavioral Approach for the Targeted Management of Disabling Low Back Pain.认知功能治疗:一种针对致残性下腰痛的目标管理的综合行为方法。
Phys Ther. 2018 May 1;98(5):408-423. doi: 10.1093/ptj/pzy022.