Suppr超能文献

一种用于分析保守序列甲基化水平的哺乳动物甲基化芯片。

A mammalian methylation array for profiling methylation levels at conserved sequences.

作者信息

Arneson Adriana, Haghani Amin, Thompson Michael J, Pellegrini Matteo, Kwon Soo Bin, Vu Ha, Maciejewski Emily, Yao Mingjia, Li Caesar Z, Lu Ake T, Morselli Marco, Rubbi Liudmilla, Barnes Bret, Hansen Kasper D, Zhou Wanding, Breeze Charles E, Ernst Jason, Horvath Steve

机构信息

Bioinformatics Interdepartmental Program, University of California, Los Angeles, CA, 90095, USA.

Department of Biological Chemistry, University of California, Los Angeles, Los Angeles, CA, USA.

出版信息

Nat Commun. 2022 Feb 10;13(1):783. doi: 10.1038/s41467-022-28355-z.

Abstract

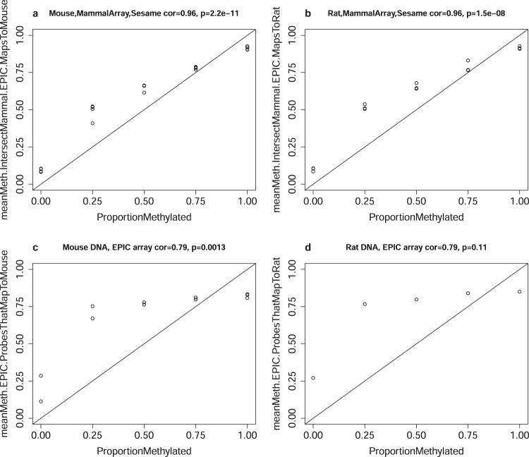
Infinium methylation arrays are not available for the vast majority of non-human mammals. Moreover, even if species-specific arrays were available, probe differences between them would confound cross-species comparisons. To address these challenges, we developed the mammalian methylation array, a single custom array that measures up to 36k CpGs per species that are well conserved across many mammalian species. We designed a set of probes that can tolerate specific cross-species mutations. We annotate the array in over 200 species and report CpG island status and chromatin states in select species. Calibration experiments demonstrate the high fidelity in humans, rats, and mice. The mammalian methylation array has several strengths: it applies to all mammalian species even those that have not yet been sequenced, it provides deep coverage of conserved cytosines facilitating the development of epigenetic biomarkers, and it increases the probability that biological insights gained in one species will translate to others.

摘要

绝大多数非人类哺乳动物无法使用Infinium甲基化芯片。此外,即使有物种特异性芯片,它们之间的探针差异也会混淆跨物种比较。为应对这些挑战,我们开发了哺乳动物甲基化芯片,这是一种定制芯片,每个物种可检测多达36k个在许多哺乳动物物种中高度保守的CpG位点。我们设计了一组能够耐受特定跨物种突变的探针。我们在200多个物种中对该芯片进行注释,并报告选定物种中的CpG岛状态和染色质状态。校准实验证明了其在人类、大鼠和小鼠中的高保真度。哺乳动物甲基化芯片有几个优点:它适用于所有哺乳动物物种,甚至那些尚未测序的物种;它能深度覆盖保守的胞嘧啶,有助于表观遗传生物标志物的开发;它增加了在一个物种中获得的生物学见解转化到其他物种的可能性。

https://cdn.ncbi.nlm.nih.gov/pmc/blobs/92a5/8831611/9993543b9340/41467_2022_28355_Fig1_HTML.jpg

文献AI研究员

20分钟写一篇综述,助力文献阅读效率提升50倍。

立即体验

用中文搜PubMed

大模型驱动的PubMed中文搜索引擎

马上搜索

文档翻译

学术文献翻译模型,支持多种主流文档格式。

立即体验