Sun Lixia, Wang Yun, Qiu Xinming
"MWMC" Group, School of Geophysics and Information Technology, China University of Geosciences, Beijing 100083, China.
Sensors (Basel). 2022 Jan 27;22(3):983. doi: 10.3390/s22030983.
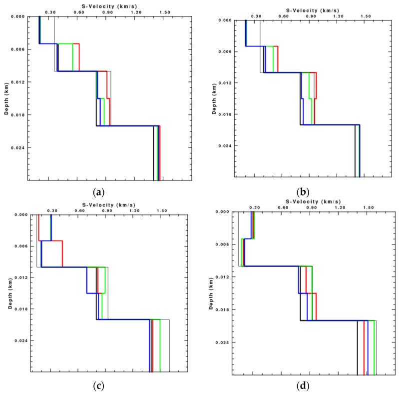
Rotational observation is essential for a comprehensive description of the ground motion, and can provide additional wave-field information. With respect to the three typical layered models in shallow engineering geology, under the assumption of linear small deformation, we simulate the 2-dimensional radial, vertical, and rotational components of the wave fields and analyze the different characteristics of Rayleigh wave dispersion recorded for the rotational and translational components. Then, we compare the results of single-component inversion with the results of multi-component joint inversion. It is found that the rotational component has wider spectral bands and more higher modes than the translational components, especially at high frequencies; the rotational component has better anti-interference performance in the noisy data test, and it can improve the inversion accuracy of the shallow shear-wave velocity. The field examples also show the significant advantages of the joint utility of the translational and rotational components, especially when a low-velocity layer exists. Rotational observation shall be beneficial for shallow surface-wave exploration.
旋转观测对于全面描述地面运动至关重要,并且可以提供额外的波场信息。针对浅部工程地质中的三种典型分层模型,在线性小变形假设下,我们模拟了波场的二维径向、垂直和旋转分量,并分析了旋转分量和平移分量记录的瑞利波频散的不同特征。然后,我们将单分量反演结果与多分量联合反演结果进行比较。结果发现,旋转分量比平移分量具有更宽的频谱带和更多的高阶模态,尤其是在高频时;在噪声数据测试中,旋转分量具有更好的抗干扰性能,并且可以提高浅层剪切波速度的反演精度。现场实例也表明了平移分量和旋转分量联合应用的显著优势,特别是当存在低速层时。旋转观测将有利于浅层面波勘探。