Suppr超能文献

评估冷等离子体对细胞膜脂质和氧化损伤的影响。

Evaluation of the Effects of Cold Plasma on Cell Membrane Lipids and Oxidative Injury of .

机构信息

School of Food Science and Engineering, South China University of Technology, Guangzhou 510641, China.

Academy of Contemporary Food Engineering, South China University of Technology, Guangzhou Higher Education Mega Center, Guangzhou 510006, China.

出版信息

Molecules. 2022 Jan 19;27(3):640. doi: 10.3390/molecules27030640.

Abstract

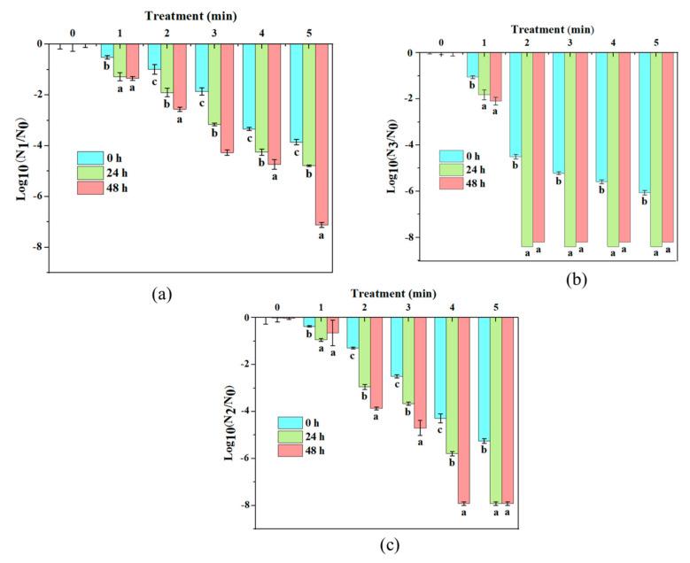
( is a major causative agent of foodborne illness worldwide. Cold plasma (CP) was used to inactivate and to investigate the effect of CP on cell membrane lipids and oxidative injury of cells. Results indicated that the inactivation effect of CP on was positively correlated with the treatment time and voltage. was undetectable (total number of surviving colonies <2 log CFU/mL) after 5 min treatment with the voltage of 50 V. CP treatment caused damage to the cell membrane of and the leakage of cell contents, and the relative content of unsaturated fatty acids in cell membrane decreased. Cell membrane lipids were oxidized; the malondialdehyde content increased from 0.219 nmol/mL to 0.658 nmol/mL; the catalase activity of solution increased from 751 U/mL to 2542 U/mL; and the total superoxide dismutase activity increased from 3.076 U/mL to 4.54 U/mL, which confirmed the oxidative damage in cell membrane caused by CP treatment. It was demonstrated that the potential application of plasma-mediated reactive oxygen species is suitable for destroying the structures of the cell membrane and ensuring the microbial safety of fresh food samples.

摘要

( 是一种食源性病原体,在全球范围内导致食源性疾病。冷等离子体(CP)被用于灭活 并研究 CP 对细胞膜脂质和细胞氧化损伤的影响。结果表明,CP 对 的灭活效果与处理时间和电压呈正相关。在 50 V 的电压下处理 5 分钟后, 不可检出(存活菌落总数<2 log CFU/mL)。CP 处理导致 的细胞膜损伤和细胞内容物泄漏,细胞膜中不饱和脂肪酸的相对含量降低。细胞膜脂质发生氧化;丙二醛含量从 0.219 nmol/mL 增加到 0.658 nmol/mL; 溶液中的过氧化氢酶活性从 751 U/mL 增加到 2542 U/mL;总超氧化物歧化酶活性从 3.076 U/mL 增加到 4.54 U/mL,证实 CP 处理导致 的细胞膜发生氧化损伤。研究表明,等离子体介导的活性氧具有破坏细胞膜结构的潜在应用,可确保新鲜食品样品的微生物安全性。

https://cdn.ncbi.nlm.nih.gov/pmc/blobs/1412/8838372/5cc2dab15c7f/molecules-27-00640-g001.jpg

文献AI研究员

20分钟写一篇综述,助力文献阅读效率提升50倍。

立即体验

用中文搜PubMed

大模型驱动的PubMed中文搜索引擎

马上搜索

文档翻译

学术文献翻译模型,支持多种主流文档格式。

立即体验