Suppr超能文献

水产养殖中的新型生态可持续饲料:昆虫类饮食对实验模型斑马鱼中潜在有毒元素含量的影响()。

New Eco-Sustainable Feed in Aquaculture: Influence of Insect-Based Diets on the Content of Potentially Toxic Elements in the Experimental Model Zebrafish ().

机构信息

Department of Life and Environmental Sciences, Università Politecnica delle Marche, Via Brecce Bianche, 60131 Ancona, Italy.

Independent Researcher, 06065 Passignano sul Trasimeno, Italy.

出版信息

Molecules. 2022 Jan 26;27(3):818. doi: 10.3390/molecules27030818.

Abstract

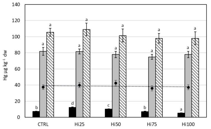
According to the concept of circular economy, insects represent good candidates as aquafeed ingredients. Nevertheless, there are some potential chemical risks linked with insect consumption. In this study, we reared the teleost , used as an experimental model, with five experimental diets characterized by increasing levels (0%, 25%, 50%, 75%, and 100%) of full-fat (Hi) prepupae, substituting for fish meal (FM) and fish oil (FO). We investigated the presence of potentially toxic elements (PTEs) Cd, Pb, Ni, As, and Hg in larval (20 days), juvenile (2 months), and adult (6 months) fish. Quantitative determinations of Cd, Pb, Ni, and As were made with an atomic absorption spectrometer; the total mercury content was determined by a direct mercury analyzer. The substitution of FM and FO with meal led to a reduction in the content of some PTEs, such as Pb, As, and Ni, in fishfeed, leading to concentrations below the legal limit of undesirable substances in animal feed. By increasing the Hi meal dietary content, we observed in the specimens an increase in Cd, Pb, and Ni content and a reduction in As content for all life stages. Moreover, a general increase in the content of Cd, Pb, Hg, and Ni from larvae to juvenile was measured, while the shift of from the juvenile to the adult stage involved a significant increase in the content of Pb, Hg, and Ni. Larvae had a reduced ability to bioaccumulate metal(loid)s compared to juveniles and adults. In conclusion, the content of PTEs in is influenced both by the type of diet administered and by the life stage of the animal itself. This research demonstrates the possibility of using Hi prepupae as an aquafeed ingredient without exposing fish to a chemical risk and, in perspective, allows applying these eco-sustainable diets for the breeding of edible fish species, without endangering human health.

摘要

根据循环经济的概念,昆虫作为水产饲料成分是很好的选择。然而,昆虫的消费可能存在一些潜在的化学风险。在这项研究中,我们用作为实验模型的硬骨鱼进行饲养,使用五种实验饲料,其特征是逐渐增加全脂(Hi)预蛹的水平(0%、25%、50%、75%和 100%),替代鱼粉(FM)和鱼油(FO)。我们研究了幼虫(20 天)、幼鱼(2 个月)和成鱼(6 个月)中潜在有毒元素(PTEs)Cd、Pb、Ni、As 和 Hg 的存在情况。使用原子吸收光谱仪定量测定 Cd、Pb、Ni 和 As;用直接测汞仪测定总汞含量。用 meal 替代 FM 和 FO,导致鱼饲料中一些 PTEs(如 Pb、As 和 Ni)的含量降低,使其浓度低于动物饲料中不希望存在的物质的法定限量。随着 Hi meal 饮食含量的增加,我们观察到所有生命阶段的样本中 Cd、Pb 和 Ni 含量增加,As 含量减少。此外,从幼虫到幼鱼阶段,Cd、Pb、Hg 和 Ni 的含量普遍增加,而 从幼鱼到成鱼阶段的转移则涉及 Pb、Hg 和 Ni 含量的显著增加。与幼鱼和成鱼相比,幼虫对金属(类)的生物积累能力降低。总之,动物自身的饮食类型和生命阶段都会影响 中 PTEs 的含量。这项研究表明,Hi 预蛹可以作为水产饲料成分而不会使鱼类面临化学风险,并且可以预见,这些生态可持续的饮食可以用于养殖食用鱼类,而不会危害人类健康。

https://cdn.ncbi.nlm.nih.gov/pmc/blobs/b335/8839634/ee4f0c5cae79/molecules-27-00818-g001.jpg

文献检索

告别复杂PubMed语法,用中文像聊天一样搜索,搜遍4000万医学文献。AI智能推荐,让科研检索更轻松。

立即免费搜索

文件翻译

保留排版,准确专业,支持PDF/Word/PPT等文件格式,支持 12+语言互译。

免费翻译文档

深度研究

AI帮你快速写综述,25分钟生成高质量综述,智能提取关键信息,辅助科研写作。

立即免费体验