• 文献检索
  • 文档翻译
  • 深度研究
  • 学术资讯
  • Suppr Zotero 插件Zotero 插件
  • 邀请有礼
  • 套餐&价格
  • 历史记录
应用&插件
Suppr Zotero 插件Zotero 插件浏览器插件Mac 客户端Windows 客户端微信小程序
定价
高级版会员购买积分包购买API积分包
服务
文献检索文档翻译深度研究API 文档MCP 服务
关于我们
关于 Suppr公司介绍联系我们用户协议隐私条款
关注我们

Suppr 超能文献

核心技术专利:CN118964589B侵权必究
粤ICP备2023148730 号-1Suppr @ 2026

文献检索

告别复杂PubMed语法,用中文像聊天一样搜索,搜遍4000万医学文献。AI智能推荐,让科研检索更轻松。

立即免费搜索

文件翻译

保留排版,准确专业,支持PDF/Word/PPT等文件格式,支持 12+语言互译。

免费翻译文档

深度研究

AI帮你快速写综述,25分钟生成高质量综述,智能提取关键信息,辅助科研写作。

立即免费体验

用光和辐射引发的各种结构环境中蛋氨酸的单电子氧化的时间分辨技术研究。

Photo- and Radiation-Induced One-Electron Oxidation of Methionine in Various Structural Environments Studied by Time-Resolved Techniques.

机构信息

Center for Advanced Technology, and Faculty of Chemistry, Adam Mickiewicz University, Uniwersytetu Poznanskiego 10, 61-712 Poznan, Poland.

Institute of Nuclear Chemistry and Technology, Dorodna 16, 03-195 Warsaw, Poland.

出版信息

Molecules. 2022 Feb 2;27(3):1028. doi: 10.3390/molecules27031028.

DOI:10.3390/molecules27031028
PMID:35164293
原文链接:https://pmc.ncbi.nlm.nih.gov/articles/PMC8915190/
Abstract

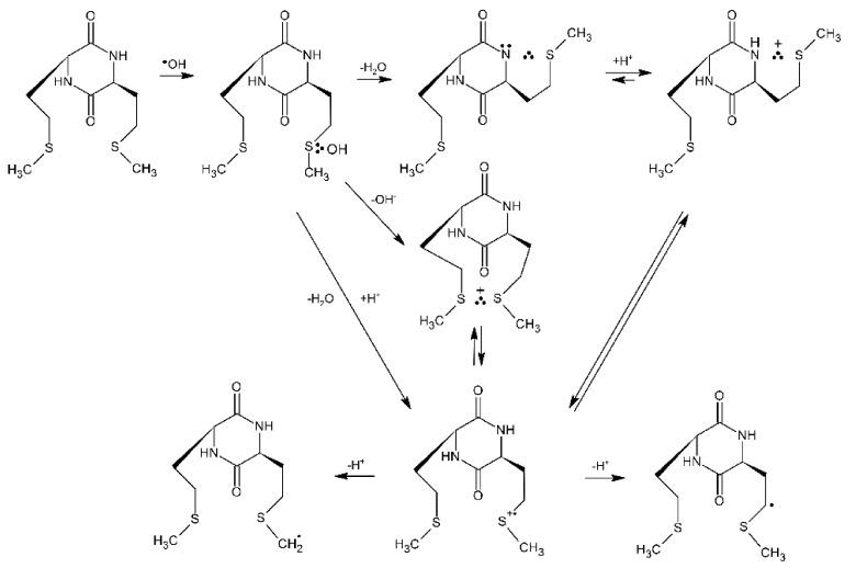
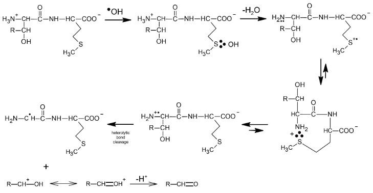
Oxidation of methionine (Met) is an important reaction that plays a key role in protein modifications during oxidative stress and aging. The first steps of Met oxidation involve the creation of very reactive and short-lived transients. Application of complementary time-resolved radiation and photochemical techniques (pulse radiolysis and laser flash photolysis together with time-resolved CIDNP and ESR techniques) allowed comparing in detail the one-electron oxidation mechanisms initiated either by OH radicals and other one-electron oxidants or the excited triplet state of the sensitizers e.g., 4-,3-carboxybenzophenones. The main purpose of this review is to present various factors that influence the character of the forming intermediates. They are divided into two parts: those inextricably related to the structures of molecules containing Met and those related to external factors. The former include (i) the protection of terminal amine and carboxyl groups, (ii) the location of Met in the peptide molecule, (iii) the character of neighboring amino acid other than Met, (iv) the character of the peptide chain (open vs cyclic), (v) the number of Met residues in peptide and protein, and (vi) the optical isomerism of Met residues. External factors include the type of the oxidant, pH, and concentration of Met-containing compounds in the reaction environment. Particular attention is given to the neighboring group participation, which is an essential parameter controlling one-electron oxidation of Met. Mechanistic aspects of oxidation processes by various one-electron oxidants in various structural and pH environments are summarized and discussed. The importance of these studies for understanding oxidation of Met in real biological systems is also addressed.

摘要

甲硫氨酸(Met)的氧化是一种重要的反应,在氧化应激和衰老过程中的蛋白质修饰中起着关键作用。Met 氧化的第一步涉及到非常活跃和短暂的瞬态的产生。应用互补的时间分辨辐射和光化学技术(脉冲辐射解和激光闪光光解以及时间分辨 CIDNP 和 ESR 技术),可以详细比较由 OH 自由基和其他单电子氧化剂或敏化剂的激发三重态引发的单电子氧化机制,例如 4-,3-羧酸二苯甲酮。本综述的主要目的是介绍影响形成中间体性质的各种因素。它们分为两部分:与含 Met 的分子结构密不可分的部分和与外部因素相关的部分。前者包括(i)末端胺和羧基的保护,(ii)Met 在肽分子中的位置,(iii)除 Met 以外的相邻氨基酸的性质,(iv)肽链的性质(开环与闭环),(v)肽和蛋白质中 Met 残基的数量,以及(vi)Met 残基的光学异构体。外部因素包括氧化剂的类型、pH 值以及反应环境中含 Met 化合物的浓度。特别关注邻基参与,这是控制 Met 单电子氧化的一个重要参数。在各种结构和 pH 环境中,各种单电子氧化剂氧化过程的机制方面进行了总结和讨论。还讨论了这些研究对于理解真实生物系统中 Met 氧化的重要性。

https://cdn.ncbi.nlm.nih.gov/pmc/blobs/c4d1/8915190/e3cb5dd320aa/molecules-27-01028-sch016.jpg
https://cdn.ncbi.nlm.nih.gov/pmc/blobs/c4d1/8915190/c208719c4ddc/molecules-27-01028-sch003.jpg
https://cdn.ncbi.nlm.nih.gov/pmc/blobs/c4d1/8915190/84ec6e2bc464/molecules-27-01028-sch009.jpg
https://cdn.ncbi.nlm.nih.gov/pmc/blobs/c4d1/8915190/1a7b999d410b/molecules-27-01028-sch010.jpg
https://cdn.ncbi.nlm.nih.gov/pmc/blobs/c4d1/8915190/1353d5f060e1/molecules-27-01028-sch011.jpg
https://cdn.ncbi.nlm.nih.gov/pmc/blobs/c4d1/8915190/b0e1f2545f5f/molecules-27-01028-sch015.jpg
https://cdn.ncbi.nlm.nih.gov/pmc/blobs/c4d1/8915190/88f857d940ff/molecules-27-01028-g001.jpg
https://cdn.ncbi.nlm.nih.gov/pmc/blobs/c4d1/8915190/124a5df19f63/molecules-27-01028-g002.jpg
https://cdn.ncbi.nlm.nih.gov/pmc/blobs/c4d1/8915190/1d374c5810ac/molecules-27-01028-sch001.jpg
https://cdn.ncbi.nlm.nih.gov/pmc/blobs/c4d1/8915190/07c75cbd1744/molecules-27-01028-sch002.jpg
https://cdn.ncbi.nlm.nih.gov/pmc/blobs/c4d1/8915190/9ec069858013/molecules-27-01028-sch004.jpg
https://cdn.ncbi.nlm.nih.gov/pmc/blobs/c4d1/8915190/390b5dece718/molecules-27-01028-sch005.jpg
https://cdn.ncbi.nlm.nih.gov/pmc/blobs/c4d1/8915190/f9526b81e01b/molecules-27-01028-sch006.jpg
https://cdn.ncbi.nlm.nih.gov/pmc/blobs/c4d1/8915190/e3c31ada00b5/molecules-27-01028-sch007.jpg
https://cdn.ncbi.nlm.nih.gov/pmc/blobs/c4d1/8915190/92dc0c4b2275/molecules-27-01028-sch008.jpg
https://cdn.ncbi.nlm.nih.gov/pmc/blobs/c4d1/8915190/69e29a65a67d/molecules-27-01028-g003.jpg
https://cdn.ncbi.nlm.nih.gov/pmc/blobs/c4d1/8915190/389c97e17a58/molecules-27-01028-sch012.jpg
https://cdn.ncbi.nlm.nih.gov/pmc/blobs/c4d1/8915190/7a0a7e596cb3/molecules-27-01028-g004.jpg
https://cdn.ncbi.nlm.nih.gov/pmc/blobs/c4d1/8915190/a5184e9efc71/molecules-27-01028-sch013.jpg
https://cdn.ncbi.nlm.nih.gov/pmc/blobs/c4d1/8915190/13336bde3d1b/molecules-27-01028-sch014.jpg
https://cdn.ncbi.nlm.nih.gov/pmc/blobs/c4d1/8915190/c8145826dbe3/molecules-27-01028-g005.jpg
https://cdn.ncbi.nlm.nih.gov/pmc/blobs/c4d1/8915190/e3cb5dd320aa/molecules-27-01028-sch016.jpg
https://cdn.ncbi.nlm.nih.gov/pmc/blobs/c4d1/8915190/c208719c4ddc/molecules-27-01028-sch003.jpg
https://cdn.ncbi.nlm.nih.gov/pmc/blobs/c4d1/8915190/84ec6e2bc464/molecules-27-01028-sch009.jpg
https://cdn.ncbi.nlm.nih.gov/pmc/blobs/c4d1/8915190/1a7b999d410b/molecules-27-01028-sch010.jpg
https://cdn.ncbi.nlm.nih.gov/pmc/blobs/c4d1/8915190/1353d5f060e1/molecules-27-01028-sch011.jpg
https://cdn.ncbi.nlm.nih.gov/pmc/blobs/c4d1/8915190/b0e1f2545f5f/molecules-27-01028-sch015.jpg
https://cdn.ncbi.nlm.nih.gov/pmc/blobs/c4d1/8915190/88f857d940ff/molecules-27-01028-g001.jpg
https://cdn.ncbi.nlm.nih.gov/pmc/blobs/c4d1/8915190/124a5df19f63/molecules-27-01028-g002.jpg
https://cdn.ncbi.nlm.nih.gov/pmc/blobs/c4d1/8915190/1d374c5810ac/molecules-27-01028-sch001.jpg
https://cdn.ncbi.nlm.nih.gov/pmc/blobs/c4d1/8915190/07c75cbd1744/molecules-27-01028-sch002.jpg
https://cdn.ncbi.nlm.nih.gov/pmc/blobs/c4d1/8915190/9ec069858013/molecules-27-01028-sch004.jpg
https://cdn.ncbi.nlm.nih.gov/pmc/blobs/c4d1/8915190/390b5dece718/molecules-27-01028-sch005.jpg
https://cdn.ncbi.nlm.nih.gov/pmc/blobs/c4d1/8915190/f9526b81e01b/molecules-27-01028-sch006.jpg
https://cdn.ncbi.nlm.nih.gov/pmc/blobs/c4d1/8915190/e3c31ada00b5/molecules-27-01028-sch007.jpg
https://cdn.ncbi.nlm.nih.gov/pmc/blobs/c4d1/8915190/92dc0c4b2275/molecules-27-01028-sch008.jpg
https://cdn.ncbi.nlm.nih.gov/pmc/blobs/c4d1/8915190/69e29a65a67d/molecules-27-01028-g003.jpg
https://cdn.ncbi.nlm.nih.gov/pmc/blobs/c4d1/8915190/389c97e17a58/molecules-27-01028-sch012.jpg
https://cdn.ncbi.nlm.nih.gov/pmc/blobs/c4d1/8915190/7a0a7e596cb3/molecules-27-01028-g004.jpg
https://cdn.ncbi.nlm.nih.gov/pmc/blobs/c4d1/8915190/a5184e9efc71/molecules-27-01028-sch013.jpg
https://cdn.ncbi.nlm.nih.gov/pmc/blobs/c4d1/8915190/13336bde3d1b/molecules-27-01028-sch014.jpg
https://cdn.ncbi.nlm.nih.gov/pmc/blobs/c4d1/8915190/c8145826dbe3/molecules-27-01028-g005.jpg
https://cdn.ncbi.nlm.nih.gov/pmc/blobs/c4d1/8915190/e3cb5dd320aa/molecules-27-01028-sch016.jpg

相似文献

1
Photo- and Radiation-Induced One-Electron Oxidation of Methionine in Various Structural Environments Studied by Time-Resolved Techniques.用光和辐射引发的各种结构环境中蛋氨酸的单电子氧化的时间分辨技术研究。
Molecules. 2022 Feb 2;27(3):1028. doi: 10.3390/molecules27031028.
2
Radiation- and Photo-Induced Oxidation Pathways of Methionine in Model Peptide Backbone under Anoxic Conditions.在缺氧条件下模型肽骨架中天冬氨酸的辐射和光诱导氧化途径。
Int J Mol Sci. 2021 Apr 30;22(9):4773. doi: 10.3390/ijms22094773.
3
Stabilization of sulfide radical cations through complexation with the peptide bond: mechanisms relevant to oxidation of proteins containing multiple methionine residues.通过与肽键络合实现硫化物自由基阳离子的稳定化:与含多个甲硫氨酸残基的蛋白质氧化相关的机制
J Phys Chem B. 2007 Aug 16;111(32):9608-20. doi: 10.1021/jp071191w. Epub 2007 Jul 21.
4
Pulse Radiolysis Studies for Mechanism in Biochemical Redox Reactions.脉冲辐解在生化氧化还原反应机制研究中的应用。
Chem Rev. 2019 Mar 27;119(6):4413-4462. doi: 10.1021/acs.chemrev.8b00405. Epub 2019 Feb 11.
5
Methionine residue acts as a prooxidant in the •OH-induced oxidation of enkephalins.蛋氨酸残基在 •OH 诱导的脑啡肽氧化中充当促氧化剂。
J Phys Chem B. 2012 Oct 18;116(41):12460-72. doi: 10.1021/jp307043q. Epub 2012 Oct 9.
6
Photo-CIDNP study of transient radicals of Met-Gly and Gly-Met peptides in aqueous solution at variable pH.在可变pH值的水溶液中对Met-Gly和Gly-Met肽瞬态自由基的光化学诱导动态核极化研究。
J Phys Chem B. 2009 May 21;113(20):7398-406. doi: 10.1021/jp8112182.
7
Evaluation of Hydroxyl Radical Reactivity by Thioether Group Proximity in Model Peptide Backbone: Methionine versus S-Methyl-Cysteine.评价模型肽骨架中硫醚基团邻近性的羟基自由基反应活性:蛋氨酸与 S-甲基半胱氨酸。
Int J Mol Sci. 2022 Jun 11;23(12):6550. doi: 10.3390/ijms23126550.
8
Sensitized photo-oxidation of plant cytokinin-specific binding protein - Does the environment of the thioether group influence the oxidation reaction? From primary intermediates to stable products.植物细胞分裂素特异性结合蛋白的敏化光氧化 - 硫醚基团的环境是否会影响氧化反应?从初级中间体到稳定产物。
Free Radic Biol Med. 2021 Mar;165:411-420. doi: 10.1016/j.freeradbiomed.2021.02.004. Epub 2021 Feb 10.
9
One-electron oxidation of beta-amyloid peptide: sequence modulation of reactivity.β-淀粉样肽的单电子氧化:反应性的序列调节
Free Radic Biol Med. 2004 Sep 15;37(6):881-91. doi: 10.1016/j.freeradbiomed.2004.06.015.
10
Secondary reactions and strategies to improve quantitative protein footprinting.改善定量蛋白质足迹分析的二级反应及策略
Anal Chem. 2005 May 15;77(10):3029-37. doi: 10.1021/ac048282z.

引用本文的文献

1
Assessment of Hydroxyl Radical Reactivity in Sulfur-Containing Amino Acid Models Under Acidic pH.酸性pH条件下含硫氨基酸模型中羟自由基反应活性的评估
Int J Mol Sci. 2025 Jul 25;26(15):7203. doi: 10.3390/ijms26157203.
2
Increased Free Radical Generation during the Interaction of a Quinone-Quinoline Chelator with Metal Ions and the Enhancing Effect of Light.醌-喹啉螯合剂与金属离子相互作用过程中自由基生成增加及光的增强作用
Pharmaceuticals (Basel). 2023 Aug 8;16(8):1116. doi: 10.3390/ph16081116.
3
Evaluation of Hydroxyl Radical Reactivity by Thioether Group Proximity in Model Peptide Backbone: Methionine versus S-Methyl-Cysteine.

本文引用的文献

1
Rate constants of dichloride radical anion reactions with molecules of environmental interest in aqueous solution: a review.二氯自由基阴离子与水溶液中环境相关分子的反应速率常数:综述。
Environ Sci Pollut Res Int. 2021 Aug;28(31):41552-41575. doi: 10.1007/s11356-021-14453-w. Epub 2021 Jun 4.
2
Radiation- and Photo-Induced Oxidation Pathways of Methionine in Model Peptide Backbone under Anoxic Conditions.在缺氧条件下模型肽骨架中天冬氨酸的辐射和光诱导氧化途径。
Int J Mol Sci. 2021 Apr 30;22(9):4773. doi: 10.3390/ijms22094773.
3
Sensitized photo-oxidation of plant cytokinin-specific binding protein - Does the environment of the thioether group influence the oxidation reaction? From primary intermediates to stable products.
评价模型肽骨架中硫醚基团邻近性的羟基自由基反应活性:蛋氨酸与 S-甲基半胱氨酸。
Int J Mol Sci. 2022 Jun 11;23(12):6550. doi: 10.3390/ijms23126550.
4
Biomimetic Radical Chemistry and Applications.仿生自由基化学及其应用。
Molecules. 2022 Mar 22;27(7):2042. doi: 10.3390/molecules27072042.
植物细胞分裂素特异性结合蛋白的敏化光氧化 - 硫醚基团的环境是否会影响氧化反应?从初级中间体到稳定产物。
Free Radic Biol Med. 2021 Mar;165:411-420. doi: 10.1016/j.freeradbiomed.2021.02.004. Epub 2021 Feb 10.
4
N-Terminal Decarboxylation as a Probe for Intramolecular Contact Formation in γ-Glu-(Pro)-Met Peptides.N-端脱羧作用作为γ-谷氨酰-(脯氨酸)-甲硫氨酸肽分子内接触形成的探针。
J Phys Chem B. 2020 Sep 17;124(37):8082-8098. doi: 10.1021/acs.jpcb.0c04371. Epub 2020 Sep 2.
5
Early Events of Photosensitized Oxidation of Sulfur-Containing Amino Acids Studied by Laser Flash Photolysis and Mass Spectrometry.用激光闪光光解和质谱法研究含硫氨基酸的光敏氧化的早期事件。
J Phys Chem B. 2020 Sep 3;124(35):7564-7573. doi: 10.1021/acs.jpcb.0c06008. Epub 2020 Aug 21.
6
Pulse Radiolysis Studies for Mechanism in Biochemical Redox Reactions.脉冲辐解在生化氧化还原反应机制研究中的应用。
Chem Rev. 2019 Mar 27;119(6):4413-4462. doi: 10.1021/acs.chemrev.8b00405. Epub 2019 Feb 11.
7
Sulfur Radicals and Their Application.硫自由基及其应用。
Top Curr Chem (Cham). 2018 May 9;376(3):22. doi: 10.1007/s41061-018-0197-0.
8
CIDNP Spectroscopic Observation of (S:. N) Radical Cations with a Two-Center Three-Electron Bond During the Photooxidation of Methionine.蛋氨酸光氧化过程中具有双中心三电子键的(S:. N)自由基阳离子的CIDNP光谱观测
Angew Chem Int Ed Engl. 1998 Mar 16;37(5):628-630. doi: 10.1002/(SICI)1521-3773(19980316)37:5<628::AID-ANIE628>3.0.CO;2-T.
9
New Insights into the Reaction Paths of 4-Carboxybenzophenone Triplet with Oligopeptides Containing N- and C-Terminal Methionine Residues.4-羧基二苯甲酮三线态与含N端和C端甲硫氨酸残基的寡肽反应路径的新见解
J Phys Chem B. 2017 May 25;121(20):5247-5258. doi: 10.1021/acs.jpcb.7b01119. Epub 2017 May 11.
10
Radiation chemical studies of Gly-Met-Gly in aqueous solution.甘氨酸-甲硫氨酸-甘氨酸在水溶液中的辐射化学研究。
Free Radic Res. 2016 Nov;50(sup1):S24-S39. doi: 10.1080/10715762.2016.1231402. Epub 2016 Oct 25.