Suppr超能文献

一种新的 5p 和 18q 染色体之间的不平衡易位导致畸形和全面发育迟缓。

A novel unbalanced translocation between chromosomes 5p and 18q leading to dysmorphology and global developmental delay.

机构信息

Department of Biochemistry, St. George's University School of Medicine, True Blue, Grenada.

Center for Applied Genomics, The Children's Hospital of Philadelphia, Philadelphia, Pennsylvania, USA.

出版信息

Mol Genet Genomic Med. 2022 Apr;10(4):e1900. doi: 10.1002/mgg3.1900. Epub 2022 Feb 21.

Abstract

BACKGROUND

Individuals with various sized terminal duplications of chromosome 5p or terminal deletions of chromosome 18q have been described. These aberrations may cause congenital malformations and intellectual disability of varying severity.

METHODS

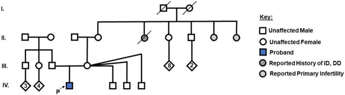
Via an international collaborative effort, we obtained a cytogenetic diagnosis for a 5-year-old boy of Afro-Caribbean ancestry who has global developmental delay, dysmorphology, hypotonia, feeding difficulties, bilateral club feet, and intellectual disability.

RESULTS

Conventional G-banded karyotyping showed additional chromatin of unknown origin on the long arm of chromosome 18. SNP microarray confirmed the loss of ~6.4 Mb from chromosome 18q: arr[hg19] 18q22.3-q23(71,518,518-77,943,115)x1. The source of the additional chromatin was determined from the microarray to be ~32 Mb from the short arm of chromosome 5 (arr[hg19] 5p13.3-p15.33(51,045-32,062,984)x3). The unbalanced translocation was verified by fluorescent in situ hybridization (FISH). Both parents are healthy and have normal karyotypes suggesting that this abnormality arose de novo in the proband, although gonadal mosaicism in a parent cannot be excluded.

CONCLUSION

The combination of clinical features in this individual is most likely due to the partial deletion of 18q and partial duplication of 5p, which to our knowledge has not been previously described.

摘要

背景

已经描述了具有 5p 染色体末端重复或 18q 染色体末端缺失的各种大小的个体。这些异常可能导致不同严重程度的先天性畸形和智力障碍。

方法

通过国际合作努力,我们获得了一名 5 岁非洲裔加勒比男孩的细胞遗传学诊断,该男孩具有全面发育迟缓、畸形、低张力、喂养困难、双侧马蹄足和智力障碍。

结果

常规 G 带核型分析显示 18 号染色体长臂上有未知来源的额外染色质。SNP 微阵列证实 18q 染色体缺失约 6.4 Mb:arr[hg19] 18q22.3-q23(71,518,518-77,943,115)x1。额外染色质的来源通过微阵列确定为 5 号染色体短臂的约 32 Mb(arr[hg19] 5p13.3-p15.33(51,045-32,062,984)x3)。荧光原位杂交(FISH)验证了不平衡易位。父母双方均健康且核型正常,提示该异常是先证者中新发生的,尽管不能排除父母生殖腺嵌合体。

结论

该个体的临床特征组合很可能是由于 18q 的部分缺失和 5p 的部分重复所致,据我们所知,这在以前尚未描述过。

https://cdn.ncbi.nlm.nih.gov/pmc/blobs/3b2d/9000934/4b9ab6db9f69/MGG3-10-e1900-g003.jpg

文献AI研究员

20分钟写一篇综述,助力文献阅读效率提升50倍。

立即体验

用中文搜PubMed

大模型驱动的PubMed中文搜索引擎

马上搜索

文档翻译

学术文献翻译模型,支持多种主流文档格式。

立即体验