Suppr超能文献

炔基取代二氢吡咯酮作为……的细菌群体感应抑制剂的合成

Synthesis of Alkyne-Substituted Dihydropyrrolones as Bacterial Quorum-Sensing Inhibitors of .

作者信息

Almohaywi Basmah, Yu Tsz Tin, Iskander George, Sabir Shekh, Bhadbhade Mohan, Black David StC, Kumar Naresh

机构信息

Department of Pharmaceutical Chemistry, College of Pharmacy, King Khalid University, Abha 6142, Saudi Arabia.

School of Chemistry, The University of New South Wales, Sydney, NSW 2052, Australia.

出版信息

Antibiotics (Basel). 2022 Jan 25;11(2):151. doi: 10.3390/antibiotics11020151.

Abstract

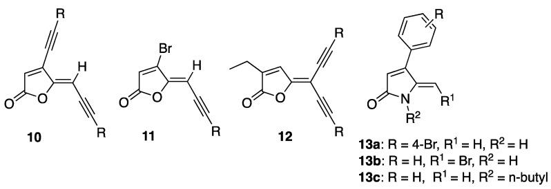
The Quorum-sensing system in is responsible for the pathogenicity and the production of virulence factors and biofilm formation. Dihydropyrrolones were previously found to act as inhibitors of QS-dependent bacterial phenotypes. In this study, a range of dihydropyrrolone (DHP) analogues was synthesized via the lactone-lactam conversion of lactone intermediates followed by the formation of novel acetylene analogues of dihydropyrrolones from brominated dihydropyrrolones via Sonogashira coupling reactions in moderate to high yields. Upon biological testing, the most potent compounds, - and showed higher bacterial quorum-sensing inhibitory (QSI) activity against reporter strain at 62.5 µM. Structure-activity relationship studies revealed that di-alkynyl substituent at the exocyclic position of DHPs possessed higher QSI activities than those of mono-alkynyl DHPs. Moreover, a hexyl-substituent at C3 of DHPs was beneficial to QSI activity while a phenyl substituent at C4 of DHPs was detrimental to QSI activity of analogues.

摘要

[具体细菌名称]中的群体感应系统负责致病性、毒力因子的产生以及生物膜的形成。二氢吡咯酮此前被发现可作为群体感应依赖性细菌表型的抑制剂。在本研究中,通过内酯中间体的内酯 - 内酰胺转化,随后经由Sonogashira偶联反应从溴代二氢吡咯酮形成新型二氢吡咯酮乙炔类似物,以中等到高产率合成了一系列二氢吡咯酮(DHP)类似物。经过生物学测试,最有效的化合物[化合物名称1]和[化合物名称2]在62.5 μM浓度下对[报告菌株名称]表现出更高的细菌群体感应抑制(QSI)活性。构效关系研究表明,二氢吡咯酮外环位置的二炔基取代基比单炔基二氢吡咯酮具有更高的QSI活性。此外,二氢吡咯酮C3位的己基取代基有利于QSI活性,而二氢吡咯酮C4位的苯基取代基则对类似物的QSI活性不利。

https://cdn.ncbi.nlm.nih.gov/pmc/blobs/fe42/8868272/f96d9c3f7852/antibiotics-11-00151-g001.jpg

文献检索

告别复杂PubMed语法,用中文像聊天一样搜索,搜遍4000万医学文献。AI智能推荐,让科研检索更轻松。

立即免费搜索

文件翻译

保留排版,准确专业,支持PDF/Word/PPT等文件格式,支持 12+语言互译。

免费翻译文档

深度研究

AI帮你快速写综述,25分钟生成高质量综述,智能提取关键信息,辅助科研写作。

立即免费体验