Suppr超能文献

Inhibition of Carbide Growth by Sr in High-Alloyed White Cast Iron.

作者信息

Dojka Malwina, Dojka Rafał

机构信息

Department of Foundry Engineering, Silesian University of Technology, 7 Towarowa Street, 44-100 Gliwice, Poland.

Odlewnia RAFAMET Sp. z o. o., Staszica 1, 47-420 Kuźnia Raciborska, Poland.

出版信息

Materials (Basel). 2022 Feb 10;15(4):1317. doi: 10.3390/ma15041317.

Abstract

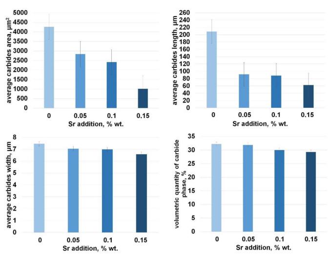
Chromium cast irons have gained a well-settled position among wear-resistant materials where a low manufacturing cost is one of the key factors. The wear properties of these alloys are commonly improved by the addition of carbide-forming inoculating elements such as Ti, V, B, etc., allowing the formation of underlays for the precipitation of both MC carbides and austenite. On the other hand, Sr may work as a surface-active element that adsorbs on the surface of the growing crystal, inhibiting its growth. This mechanism may support the MC nucleation process. The experiment was conducted on near-eutectic chromium cast irons with 20% of Cr and 2.5-3% of C. Different amounts of strontium were used as the microstructure modifier. The improvement of carbides' stereological parameters and collocation resulted in the improvement in functional properties-wear resistance and impact strength without a significant increase in hardness as well as a decrease in carbide phase. Two types of wear studies with a modified pin-on-disc method and tests in reciprocating motion of samples in the metal-mineral system were performed. The results showed that addition modification with Sr can increase the impact strength of the alloy. EDS analysis of the samples provided results similar to hypoeutectic Al-Si alloys modified with strontium.

摘要
https://cdn.ncbi.nlm.nih.gov/pmc/blobs/ebbc/8876943/712ec6f99ca6/materials-15-01317-g001.jpg

文献AI研究员

20分钟写一篇综述,助力文献阅读效率提升50倍。

立即体验

用中文搜PubMed

大模型驱动的PubMed中文搜索引擎

马上搜索

文档翻译

学术文献翻译模型,支持多种主流文档格式。

立即体验