Suppr超能文献

Investigation of Temperature-Dependent Magnetic Properties and Coefficient of Thermal Expansion in Invar Alloys.

作者信息

Huang Lin, Zhou Yongjian, Guo Tingwen, Han Dong, Gu Yu, Song Cheng, Pan Feng

机构信息

Key Laboratory of Advanced Materials (MOE), School of Materials Science and Engineering, Tsinghua University, Beijing 100084, China.

Shanxi Taigang Stainless Steel Co., Ltd., Taiyuan 030003, China.

出版信息

Materials (Basel). 2022 Feb 17;15(4):1504. doi: 10.3390/ma15041504.

Abstract

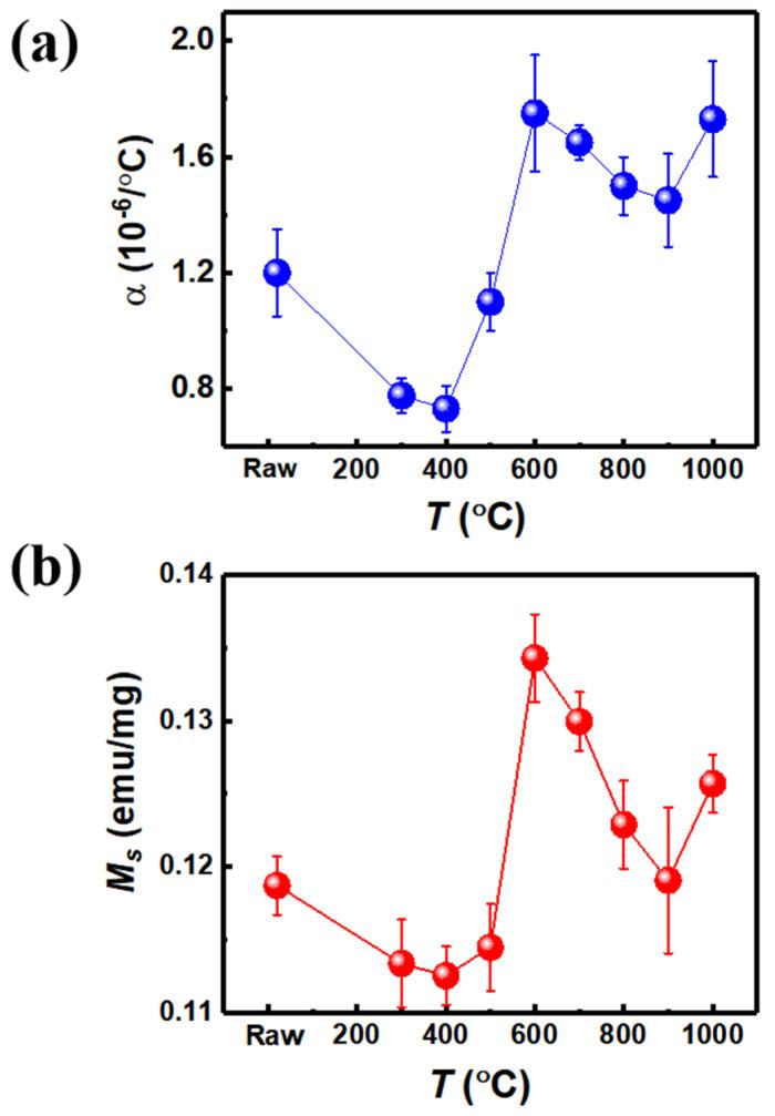
Invar Fe-Ni alloy is a prominent Ni steel alloy with a low coefficient of thermal expansion around room temperature. We investigate the correlation between magnetic properties and thermal expansion in cold-drawn Fe-36Ni wires with different heat treatment conditions, where the annealing parameters with furnace cooling (cooling from the annealing temperature of 300, 400, 500, 600, 700, 800, 900, and 1000 °C) are used. The variation trend of magnetic properties is consistent with that of thermal expansion for all samples, where the maximum appears at 600 °C -treated sample and 400 °C shows the minimum. The domain size and the area of domain walls determine the total energy of the domain wall, and the total energy directly determines the size of magnetostriction, which is closely related to the coefficient of thermal expansion. Also, the differential thermal analysis (DTA) shows endothermic and exothermic reactions represent crystalline transitions, which could possibly cause the abrupt change of magnetic properties and thermal expansion coefficient of materials. The results indicate that there is a certain relation between thermal expansion and magnetic properties. Besides the fundamental significance, our work provides an Invar alloy with a low coefficient of thermal expansion for practical use.

摘要
https://cdn.ncbi.nlm.nih.gov/pmc/blobs/50b9/8875714/d1756b339606/materials-15-01504-g001.jpg

相似文献

2
Strengthening of the Fe-Ni Invar Alloy Through Chromium.
Materials (Basel). 2019 Apr 20;12(8):1297. doi: 10.3390/ma12081297.
4
Thermal expansion coefficients in Invar processed by selective laser melting.
J Mater Sci. 2017;52(17):10517-10525. doi: 10.1007/s10853-017-1169-4. Epub 2017 May 11.
5
Anisotropic thermal expansion and cooperative Invar and anti-Invar effects in mn alloys.
Phys Rev Lett. 2013 Feb 15;110(7):075901. doi: 10.1103/PhysRevLett.110.075901. Epub 2013 Feb 13.
7
Anharmonicity and quantum effects in thermal expansion of an Invar alloy.
Phys Rev Lett. 2011 Aug 5;107(6):065901. doi: 10.1103/PhysRevLett.107.065901. Epub 2011 Aug 3.
9
Invar Effect of the Fe Cluster.
J Phys Chem Lett. 2022 Jul 28;13(29):6644-6650. doi: 10.1021/acs.jpclett.2c01405. Epub 2022 Jul 15.
10

文献AI研究员

20分钟写一篇综述,助力文献阅读效率提升50倍。

立即体验

用中文搜PubMed

大模型驱动的PubMed中文搜索引擎

马上搜索

文档翻译

学术文献翻译模型,支持多种主流文档格式。

立即体验