Suppr超能文献

琥珀酰胆碱与罗库溴铵对快速顺序诱导时呼吸暂停持续时间的影响:一项前瞻性队列研究。

Impact of Succinylcholine vs. Rocuronium on Apnea Duration for Rapid Sequence Induction: A Prospective Cohort Study.

作者信息

Tang Lijun, Zhao Xiao, Li Shitong, Huang Lina, Li Jinbao, Chen Lianhua, Huang Shiwei

机构信息

Department of Anesthesiology, Shanghai General Hospital of Nanjing Medical University, Shanghai, China.

Department of Anesthesiology, Shanghai General Hospital, Shanghai Jiao Tong University, Shanghai, China.

出版信息

Front Med (Lausanne). 2022 Feb 9;9:717477. doi: 10.3389/fmed.2022.717477. eCollection 2022.

Abstract

OBJECTIVE

The present study aimed to evaluate the impact of 1.5 mg/kg succinylcholine or 1.2 mg/kg rocuronium, vs. 1.0 mg/kg succinylcholine on apnea duration in patients underwent rapid sequence induction (RSI).

METHODS

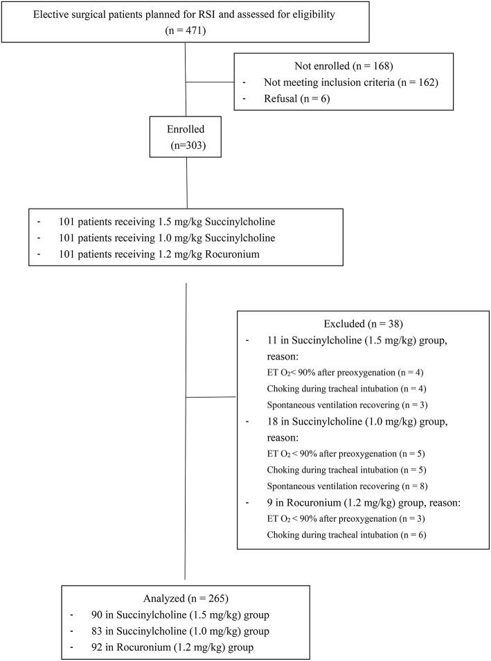
This prospective cohort study was conducted in the Department of Anesthesiology in Shanghai General Hospital from July 2020 to November 2020. Apnea duration was defined as the time from apnea prompted by the PCO waveform to the time the point of oxygen saturation declined to 90% (T90) and 95% (T95) after succinylcholine or rocuronium administration. The primary outcome included T90 and T95 changes in 1.5 mg/kg vs. 1.0 mg/kg succinylcholine groups and 1.5 mg/kg succinylcholine vs. 1.2 mg/kg rocuronium groups.

RESULTS

A total of 265 participants were subjected for analysis. The succinylcholine (1.0 mg/kg) group had a significantly longer T90 (50.72, 95% confidence interval [CI, 7.60, 94.38], = 0.015) and T95 (48.09, 95% CI [7.11, 89.07], = 0.012) than the succinylcholine (1.5 mg/kg) group. In addition, significantly longer T90 (56.84, 95% CI [16.24, 97.44], = 0.003) and T95 (50.57, 95% CI [12.58, 88.57], = 0.003) were observed in the rocuronium (1.2 mg/kg) group than those in the succinylcholine (1.5 mg/kg) group. No severe side events were observed during the operation.

CONCLUSION

Rocuronium and the lower dose of succinylcholine may be recommended to patients underwent RSI.

摘要

目的

本研究旨在评估1.5mg/kg琥珀酰胆碱或1.2mg/kg罗库溴铵与1.0mg/kg琥珀酰胆碱相比,对接受快速顺序诱导(RSI)患者呼吸暂停持续时间的影响。

方法

本前瞻性队列研究于2020年7月至2020年11月在上海交通大学医学院附属瑞金医院麻醉科进行。呼吸暂停持续时间定义为从PCO波形提示呼吸暂停到琥珀酰胆碱或罗库溴铵给药后氧饱和度降至90%(T90)和95%(T95)的时间点。主要结局包括1.5mg/kg与1.0mg/kg琥珀酰胆碱组以及1.5mg/kg琥珀酰胆碱与1.2mg/kg罗库溴铵组中T90和T95的变化。

结果

共有265名参与者纳入分析。琥珀酰胆碱(1.0mg/kg)组的T90(50.72,95%置信区间[CI,7.60,94.38],P = 0.015)和T95(48.09,95%CI[7.11,89.07],P = 0.012)显著长于琥珀酰胆碱(1.5mg/kg)组。此外,罗库溴铵(1.2mg/kg)组的T90(56.84,95%CI[16.24,97.44],P = 0.003)和T95(50.57,95%CI[12.58,88.57],P = 0.003)显著长于琥珀酰胆碱(1.5mg/kg)组。术中未观察到严重不良事件。

结论

对于接受RSI的患者,可推荐使用罗库溴铵和较低剂量的琥珀酰胆碱。

https://cdn.ncbi.nlm.nih.gov/pmc/blobs/be6d/8864070/b40b92e1dec7/fmed-09-717477-g0001.jpg

文献检索

告别复杂PubMed语法,用中文像聊天一样搜索,搜遍4000万医学文献。AI智能推荐,让科研检索更轻松。

立即免费搜索

文件翻译

保留排版,准确专业,支持PDF/Word/PPT等文件格式,支持 12+语言互译。

免费翻译文档

深度研究

AI帮你快速写综述,25分钟生成高质量综述,智能提取关键信息,辅助科研写作。

立即免费体验