Jensen Oda, Øvlisen Andreas Kiesbye, Jakobsen Lasse Hjort, Roug Anne Stidsholt, Nielsen René Ernst, Marcher Claus Werenberg, Ebbesen Lene Hyldahl, Theilgaard-Mönch Kim, Møller Peter, Schöllkopf Claudia, Torp-Pedersen Christian, El-Galaly Tarec Christoffer, Severinsen Marianne Tang
Department of Haematology, Clinical Cancer Research Centre, Aalborg University Hospital, Aalborg, Denmark.
Department of Clinical Medicine, Aalborg University, Aalborg, Denmark.
Clin Epidemiol. 2022 Feb 25;14:225-237. doi: 10.2147/CLEP.S336115. eCollection 2022.
The diagnosis of a life-threatening disease can lead to depression and anxiety resulting in pharmacological treatment. However, use of psychotropic drugs (antidepressants, anxiolytics, and antipsychotics) in acute myeloid leukaemia (AML) and myelodysplastic syndrome (MDS) is undetermined.
Prescription of psychotropic drugs in Danish AML and MDS patients was compared to a cohort matched on age, sex, and country of origin from the Danish background population using national population-based registries.
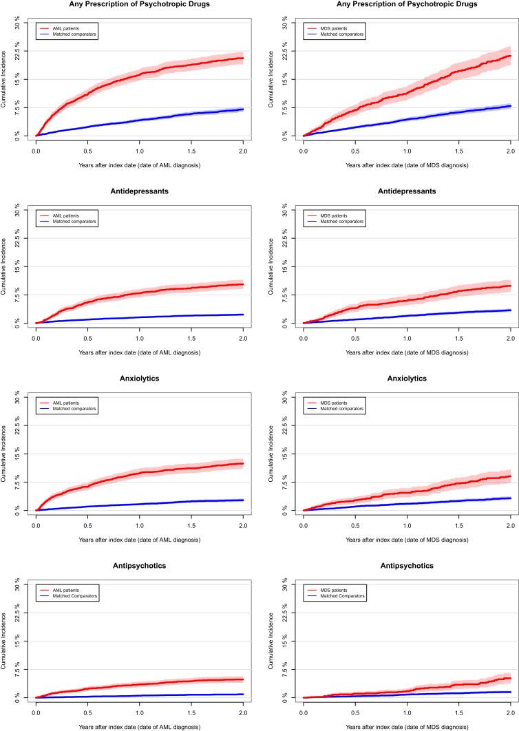
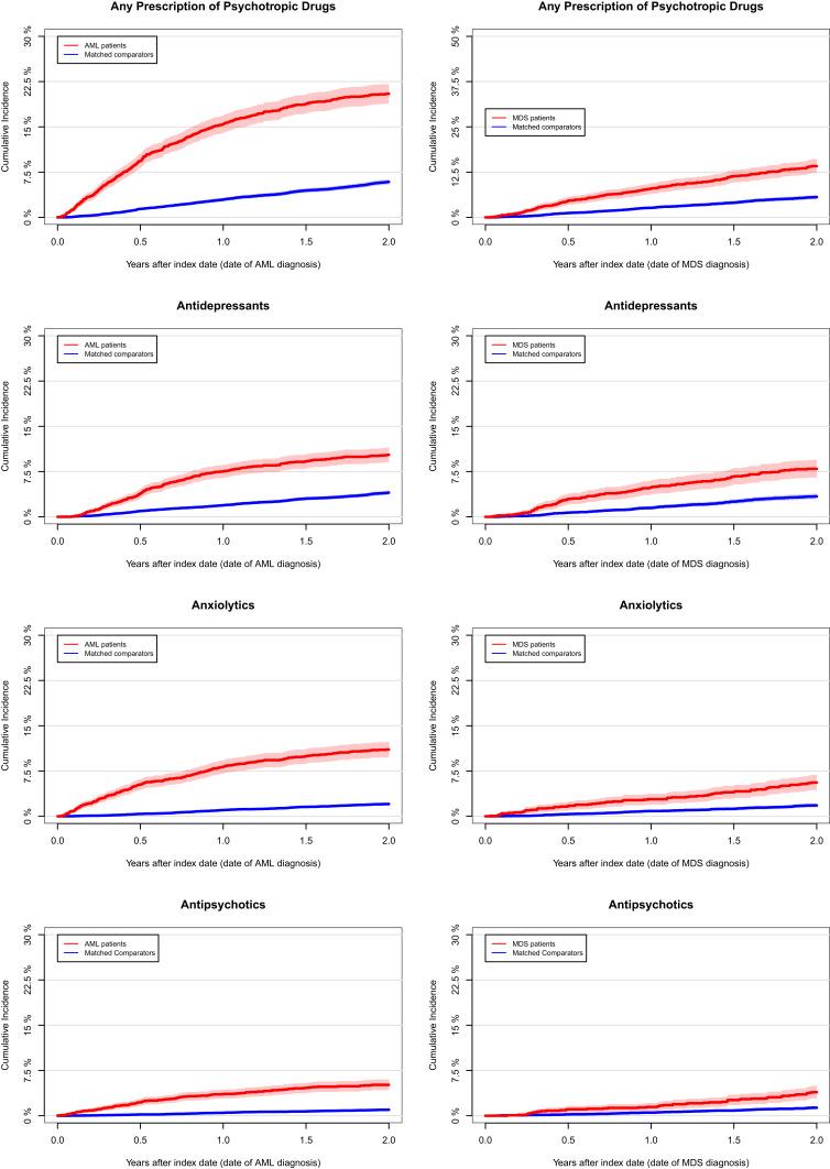
In total, 2404 AML patients (median age 69 years) and 1307 MDS patients (median age 75 years) were included and each matched to five comparators from the background population. Two-year cumulative incidences showed that AML (20.6%) and MDS (21.2%) patients had a high risk of redemption of a psychotropic drug prescription compared to the background population (7.0% and 7.9%). High age, low educational level, and Charlson Comorbidity Index score ≥1 was associated with a higher risk in AML and MDS patients. Furthermore, non-curative treatment intent and performance status in AML patients, and high risk MDS were associated with elevated risk of psychotropic drug prescription.
In conclusion, diagnoses of AML and MDS were associated with a higher rate of psychotropic drugs prescription compared to the background population.
危及生命的疾病诊断可能导致抑郁和焦虑,从而需要药物治疗。然而,急性髓系白血病(AML)和骨髓增生异常综合征(MDS)患者使用精神药物(抗抑郁药、抗焦虑药和抗精神病药)的情况尚不确定。
利用基于全国人口的登记系统,将丹麦AML和MDS患者的精神药物处方与来自丹麦背景人群的年龄、性别和原籍国相匹配的队列进行比较。
总共纳入了2404例AML患者(中位年龄69岁)和1307例MDS患者(中位年龄75岁),且每组均与来自背景人群的5名对照者相匹配。两年累积发病率显示,与背景人群(7.0%和7.9%)相比,AML(20.6%)和MDS(21.2%)患者有较高的精神药物处方兑换风险。高龄、低教育水平以及Charlson合并症指数评分≥1与AML和MDS患者的较高风险相关。此外,AML患者的非治愈性治疗意图和体能状态以及高危MDS与精神药物处方风险升高相关。
总之,与背景人群相比,AML和MDS的诊断与较高的精神药物处方率相关。