Suppr超能文献

光子立体定向消融放疗与质子束治疗用于盆腔癌复发再照射的治疗计划比较

A treatment planning comparison of photon stereotactic ablative radiotherapy and proton beam therapy for the re-irradiation of pelvic cancer recurrence.

作者信息

Chuter R, Glassborow E, Speight R, Clarke M, Murray L, Radhakrishna G, Lavin V, Aspin L, Aldred M, Gregory S, Richardson J, Handley J

机构信息

Christie Medical Physics and Engineering, The Christie NHS Foundation Trust, Wilmslow Road, Manchester M20 4BX, UK.

Division of Cancer Sciences, Faculty of Biology, Medicine and Heath, University of Manchester, Manchester Academic Health Science Centre, The Christie NHS Foundation Trust, Wilmslow Road, Manchester M20 4BX, UK.

出版信息

Phys Imaging Radiat Oncol. 2022 Feb 23;21:78-83. doi: 10.1016/j.phro.2022.02.010. eCollection 2022 Jan.

Abstract

BACKGROUND

Patients who experience a pelvic cancer recurrence in or near a region that received initial radiotherapy, typically have few options for treatment. Organs at risk (OAR) have often reached their dose constraint limits leaving minimal dose remaining for standard re-irradiation (reRT). However, photon based stereotactic ablative radiotherapy (SABR) has been utilised for reRT with promising initial results although meeting OAR constraints can be challenging. Proton beam therapy (PBT) could offer an advantage.

MATERIALS AND METHODS

SABR plans used for treatment for ten pelvic reRT patients were dosimetrically compared to PBT plans retrospectively planned using the same CT and contour data. PBT plans were created to match the CTV dose coverage of SABR treatment plans with V100% ≥95%. An 'as low as reasonably achievable' approach was taken to OAR tolerances with consideration of OAR dose from the initial radiation (using equivalent dose in 2 Gy fractions).

RESULTS

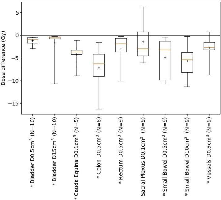
Dosimetric comparison of relevant OAR statistics showed a decrease in OAR dose using PBT over SABR in all patients, with equivalent target coverage. The largest statistically significant reduction was seen for the colon D0.5 cm with a median reduction from 13.1 Gy to 5.9 Gy. There were statistically significant dose reductions in the median dose to small bowel, sacral plexus and cauda equina.

CONCLUSION

PBT has the potential for significant dose reductions for OARs in the pelvic reRT setting compared to SABR. However, it remains unclear if the magnitude of these OAR dose reductions will translate into clinical benefit.

摘要

背景

在接受过初始放疗的区域或其附近出现盆腔癌复发的患者,通常治疗选择有限。危及器官(OAR)往往已达到其剂量限制,留给标准再程放疗(reRT)的剂量所剩无几。然而,基于光子的立体定向消融放疗(SABR)已被用于再程放疗,初步结果令人鼓舞,尽管满足OAR限制可能具有挑战性。质子束治疗(PBT)可能具有优势。

材料与方法

回顾性比较了10例盆腔再程放疗患者的SABR治疗计划与使用相同CT和轮廓数据进行回顾性规划的PBT计划的剂量学情况。创建PBT计划以匹配SABR治疗计划的CTV剂量覆盖,V100%≥95%。对OAR耐受性采用“尽可能合理低”的方法,并考虑初始放疗的OAR剂量(使用2Gy分次等效剂量)。

结果

相关OAR统计数据的剂量学比较显示,所有患者使用PBT时OAR剂量均低于SABR,且靶区覆盖相当。结肠D0.5cm的统计学显著降低最大,中位数从13.1Gy降至5.9Gy。小肠、骶丛和马尾神经的中位剂量有统计学显著降低。

结论

与SABR相比,PBT在盆腔再程放疗中有可能显著降低OAR剂量。然而,这些OAR剂量降低的幅度是否会转化为临床益处仍不清楚。

https://cdn.ncbi.nlm.nih.gov/pmc/blobs/f05c/8881531/caaa4ec2b497/gr1.jpg

文献检索

告别复杂PubMed语法,用中文像聊天一样搜索,搜遍4000万医学文献。AI智能推荐,让科研检索更轻松。

立即免费搜索

文件翻译

保留排版,准确专业,支持PDF/Word/PPT等文件格式,支持 12+语言互译。

免费翻译文档

深度研究

AI帮你快速写综述,25分钟生成高质量综述,智能提取关键信息,辅助科研写作。

立即免费体验