Suppr超能文献

用于正电子发射断层成像脂肪酸合酶表达的C标记三唑酮的合成与评价

Synthesis and Evaluation of C-Labeled Triazolones as Probes for Imaging Fatty Acid Synthase Expression by Positron Emission Tomography.

作者信息

Kelly James M, Jeitner Thomas M, Waterhouse Nicole N, Qu Wenchao, Linstad Ethan J, Samani Banafshe, Williams Clarence, Nikolopoulou Anastasia, Amor-Coarasa Alejandro, DiMagno Stephen G, Babich John W

机构信息

Molecular Imaging Innovations Institute (MI3), Department of Radiology, Weill Cornell Medicine, New York, NY 10065, USA.

Citigroup Biomedical Imaging Center, Weill Cornell Medicine, New York, NY 10021, USA.

出版信息

Molecules. 2022 Feb 25;27(5):1552. doi: 10.3390/molecules27051552.

Abstract

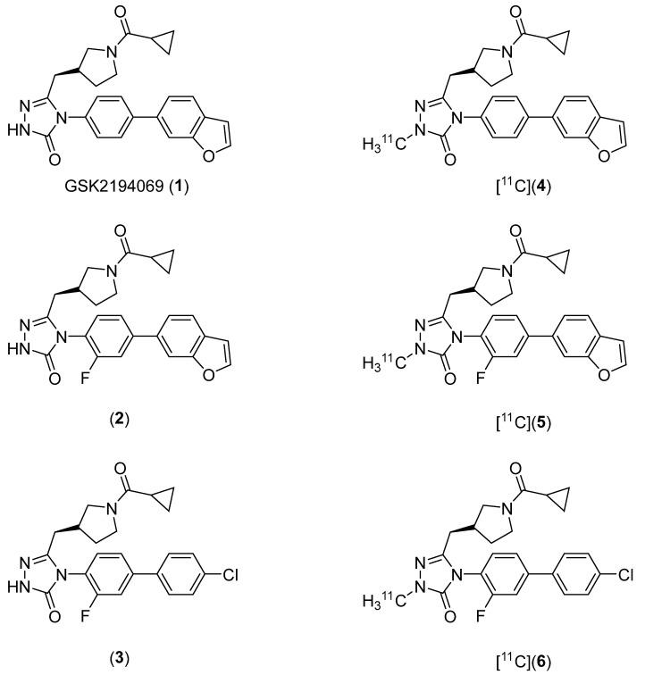
Cancer cells require lipids to fulfill energetic, proliferative, and signaling requirements. Even though these cells can take up exogenous fatty acids, the majority exhibit a dependency on de novo fatty acid synthesis. Fatty acid synthase (FASN) is the rate-limiting enzyme in this process. Expression and activity of FASN is elevated in multiple cancers, where it correlates with disease progression and poor prognosis. These observations have sparked interest in developing methods of detecting FASN expression in vivo. One promising approach is the imaging of radiolabeled molecular probes targeting FASN by positron emission tomography (PET). However, although [C]acetate uptake by prostate cancer cells correlates with FASN expression, no FASN-specific PET probes currently exist. Our aim was to synthesize and evaluate a series of small molecule triazolones based on GSK2194069, an FASN inhibitor with IC = 7.7 ± 4.1 nM, for PET imaging of FASN expression. These triazolones were labeled with carbon-11 in good yield and excellent radiochemical purity, and binding to FASN-positive LNCaP cells was significantly higher than FASN-negative PC3 cells. Despite these promising characteristics, however, these molecules exhibited poor in vivo pharmacokinetics and were predominantly retained in lymph nodes and the hepatobiliary system. Future studies will seek to identify structural modifications that improve tumor targeting while maintaining the excretion profile of these first-generation C-methyltriazolones.

摘要

癌细胞需要脂质来满足能量、增殖和信号传导需求。尽管这些细胞可以摄取外源性脂肪酸,但大多数细胞表现出对从头合成脂肪酸的依赖性。脂肪酸合酶(FASN)是这一过程中的限速酶。FASN的表达和活性在多种癌症中升高,与疾病进展和不良预后相关。这些观察结果引发了人们对开发体内检测FASN表达方法的兴趣。一种有前景的方法是通过正电子发射断层扫描(PET)对靶向FASN的放射性标记分子探针进行成像。然而,尽管前列腺癌细胞对[C]乙酸盐的摄取与FASN表达相关,但目前尚无FASN特异性PET探针。我们的目标是合成并评估一系列基于GSK2194069(一种IC = 7.7 ± 4.1 nM的FASN抑制剂)的小分子三唑酮,用于FASN表达的PET成像。这些三唑酮以良好的产率和优异的放射化学纯度用碳-11标记,并且与FASN阳性的LNCaP细胞的结合明显高于FASN阴性的PC3细胞。然而,尽管具有这些有前景的特性,这些分子在体内的药代动力学较差,主要保留在淋巴结和肝胆系统中。未来的研究将寻求确定能够改善肿瘤靶向性同时保持这些第一代C-甲基三唑酮排泄特征的结构修饰。

https://cdn.ncbi.nlm.nih.gov/pmc/blobs/6af2/8911806/f05228683c15/molecules-27-01552-g001.jpg

文献检索

告别复杂PubMed语法,用中文像聊天一样搜索,搜遍4000万医学文献。AI智能推荐,让科研检索更轻松。

立即免费搜索

文件翻译

保留排版,准确专业,支持PDF/Word/PPT等文件格式,支持 12+语言互译。

免费翻译文档

深度研究

AI帮你快速写综述,25分钟生成高质量综述,智能提取关键信息,辅助科研写作。

立即免费体验