Chen Tianzhe, Lin Yue, Tan Qian
Department of Burns & Plastic Surgery, Nanjing Drum Tower Hospital Clinical College of Nanjing Medical University, Nanjing, China.
Department of Burns & Plastic Surgery, Nanjing Drum Tower Hospital, the Affiliated Hospital of Medical School of Nanjing University, Nanjing, China.
Surg Open Sci. 2022 Feb 16;8:33-39. doi: 10.1016/j.sopen.2022.02.001. eCollection 2022 Apr.
The aim of lymph node dissection for melanoma patients is to prevent metastasis. However, this procedure is accompanied by a long-term and impaired life-quality complication called . This condition involves long-term lower limb swelling, which causes discomfort and impaired function, and affects patients both physically and psychologically. Herein, we conducted a retrospective cohort study at a single center to investigate the risk factors associated with lower extremity lymphedema after inguinal lymphadenectomy.
We identified 136 inguinal lymphadenectomy melanoma patients treated between January 2010 and January 2021. The patients' demographic, clinical, and pathological data and postoperative outcomes were collected by electronic medical record review and patient follow-up. The patients' postoperative outcomes were defined as lower extremity swelling and lower extremity lymphedema. Univariate and multivariate analyses were used to determine the independent predictors of lower extremity lymphedema.
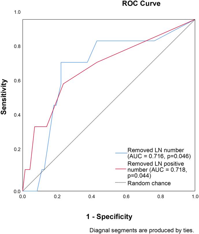
The follow-up results from 85 melanoma patients who underwent inguinal lymphadenectomy were analyzed. Multivariate logistic regression analysis showed that number of lymph nodes removed ≥ 10 was the significant risk factor for postoperative lower extremity lymphedema (odds ratio = 6.468, P = .042, 95% confidence interval: 1.069 to 39.147). Moreover, 8 (100%) patients in the lower extremity lymphedema group and 32 (53.3%) patients in the normal group were female, which indicated that female patients might be more susceptible to postoperative lower extremity lymphedema (P = .012).
Our study found that number of inguinal lymph nodes removed ≥ 10 was associated with a significantly higher incidence of lower extremity lymphedema with a 6.5-fold increased risk in melanoma patients. Also, female patients were more likely to develop lower extremity lymphedema after inguinal lymphadenectomy.
对黑色素瘤患者进行淋巴结清扫的目的是预防转移。然而,该手术伴随着一种称为 的长期且影响生活质量的并发症。这种情况包括长期下肢肿胀,会导致不适和功能受损,对患者的身体和心理都会产生影响。在此,我们在单一中心进行了一项回顾性队列研究,以调查腹股沟淋巴结清扫术后下肢淋巴水肿的相关危险因素。
我们确定了2010年1月至2021年1月期间接受腹股沟淋巴结清扫的136例黑色素瘤患者。通过电子病历回顾和患者随访收集患者的人口统计学、临床和病理数据以及术后结果。患者的术后结果定义为下肢肿胀和下肢淋巴水肿。采用单因素和多因素分析来确定下肢淋巴水肿的独立预测因素。
分析了85例接受腹股沟淋巴结清扫的黑色素瘤患者的随访结果。多因素逻辑回归分析显示,切除淋巴结数量≥10个是术后下肢淋巴水肿的显著危险因素(比值比=6.468,P=0.042,95%置信区间:1.069至39.147)。此外,下肢淋巴水肿组8例(100%)患者和正常组32例(53.3%)患者为女性,这表明女性患者可能更容易发生术后下肢淋巴水肿(P=0.0仁)。
我们的研究发现,腹股沟淋巴结切除数量≥10个与黑色素瘤患者下肢淋巴水肿的发生率显著升高相关,风险增加6.5倍。此外,女性患者在腹股沟淋巴结清扫术后更易发生下肢淋巴水肿。