• 文献检索
  • 文档翻译
  • 深度研究
  • 学术资讯
  • Suppr Zotero 插件Zotero 插件
  • 邀请有礼
  • 套餐&价格
  • 历史记录
应用&插件
Suppr Zotero 插件Zotero 插件浏览器插件Mac 客户端Windows 客户端微信小程序
定价
高级版会员购买积分包购买API积分包
服务
文献检索文档翻译深度研究API 文档MCP 服务
关于我们
关于 Suppr公司介绍联系我们用户协议隐私条款
关注我们

Suppr 超能文献

核心技术专利:CN118964589B侵权必究
粤ICP备2023148730 号-1Suppr @ 2026

文献检索

告别复杂PubMed语法,用中文像聊天一样搜索,搜遍4000万医学文献。AI智能推荐,让科研检索更轻松。

立即免费搜索

文件翻译

保留排版,准确专业,支持PDF/Word/PPT等文件格式,支持 12+语言互译。

免费翻译文档

深度研究

AI帮你快速写综述,25分钟生成高质量综述,智能提取关键信息,辅助科研写作。

立即免费体验

异黄酮类似物与线粒体醛脱氢酶增强结合的结构基础的计算研究

Computational Investigation of Structural Basis for Enhanced Binding of Isoflavone Analogues with Mitochondrial Aldehyde Dehydrogenase.

作者信息

Zhang Yongguang, Qiu Yejie, Zhang Haiyang

机构信息

Department of Biological Science and Engineering, School of Chemistry and Biological Engineering, University of Science and Technology Beijing, 100083 Beijing, China.

出版信息

ACS Omega. 2022 Feb 22;7(9):8115-8127. doi: 10.1021/acsomega.2c00032. eCollection 2022 Mar 8.

DOI:10.1021/acsomega.2c00032
PMID:35284766
原文链接:https://pmc.ncbi.nlm.nih.gov/articles/PMC8908493/
Abstract

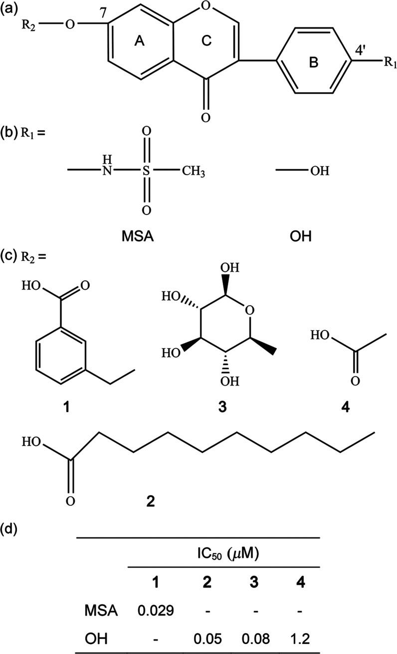
Isoflavone compounds are potent inhibitors against mitochondrial aldehyde dehydrogenase (ALDH2) for the treatment of alcoholism and drug addiction, and an in-depth understanding of the underlying structural basis helps design new inhibitors for enhanced binding. Here, we investigated the binding poses and strengths of eight isoflavone analogues (including CVT-10216 and daidzin) with ALDH2 via computational methods of molecular docking, molecular dynamics (MD) simulation, molecular mechanics Poisson-Boltzmann surface area (MM-PBSA), steered MD, and umbrella sampling. Neither the Vina scoring of docked and MD-sampled complexes nor the nonbonded protein-inhibitor interaction energy from MD simulations is able to reproduce the relative binding strength of the inhibitors compared to experimental IC values. Considering the solvation contribution, MM-PBSA and relatively expensive umbrella sampling yield good performance for the relative binding (free) energies. The isoflavone skeleton prefers to form π-π stacking, π-sulfur, and π-alkyl interactions with planar (Phe and Trp) or sulfur-containing (Cys and Met) residues. The enhanced inhibition of CVT-10216 originates from both end groups of the isoflavone skeleton offering strong van der Waals contacts and from the methylsulfonamide group at the 4' position by hydrogen bonding (HB) with neighboring receptor residues. These results indicate that the hydrophobic binding tunnel of ALDH2 is larger than the isoflavone skeleton in length and thus an extended hydrophobic core is likely a premise for potent inhibitors.

摘要

异黄酮化合物是治疗酒精中毒和药物成瘾的线粒体醛脱氢酶(ALDH2)的有效抑制剂,深入了解其潜在的结构基础有助于设计新的抑制剂以增强结合力。在此,我们通过分子对接、分子动力学(MD)模拟、分子力学泊松-玻尔兹曼表面积(MM-PBSA)、引导分子动力学和伞形采样等计算方法,研究了八种异黄酮类似物(包括CVT-10216和大豆苷)与ALDH2的结合构象和强度。与实验IC值相比,对接和MD采样复合物的Vina评分以及MD模拟中的非键合蛋白质-抑制剂相互作用能均无法再现抑制剂的相对结合强度。考虑到溶剂化贡献,MM-PBSA和相对昂贵的伞形采样在相对结合(自由)能方面表现良好。异黄酮骨架倾向于与平面(苯丙氨酸和色氨酸)或含硫(半胱氨酸和甲硫氨酸)残基形成π-π堆积、π-硫和π-烷基相互作用。CVT-10216抑制作用的增强源于异黄酮骨架的两个末端基团提供了强大的范德华接触,以及4'位的甲基磺酰胺基团通过与相邻受体残基形成氢键(HB)。这些结果表明,ALDH2的疏水结合通道在长度上大于异黄酮骨架,因此扩展的疏水核心可能是强效抑制剂的前提。

https://cdn.ncbi.nlm.nih.gov/pmc/blobs/2b3d/8908493/32815742e0f1/ao2c00032_0011.jpg
https://cdn.ncbi.nlm.nih.gov/pmc/blobs/2b3d/8908493/30edae430cc1/ao2c00032_0002.jpg
https://cdn.ncbi.nlm.nih.gov/pmc/blobs/2b3d/8908493/214b4e9b3432/ao2c00032_0003.jpg
https://cdn.ncbi.nlm.nih.gov/pmc/blobs/2b3d/8908493/f529700c4bb4/ao2c00032_0004.jpg
https://cdn.ncbi.nlm.nih.gov/pmc/blobs/2b3d/8908493/ed7def841cea/ao2c00032_0005.jpg
https://cdn.ncbi.nlm.nih.gov/pmc/blobs/2b3d/8908493/44eb203bd2d0/ao2c00032_0006.jpg
https://cdn.ncbi.nlm.nih.gov/pmc/blobs/2b3d/8908493/0c248951cd50/ao2c00032_0007.jpg
https://cdn.ncbi.nlm.nih.gov/pmc/blobs/2b3d/8908493/7dcfeaf04590/ao2c00032_0008.jpg
https://cdn.ncbi.nlm.nih.gov/pmc/blobs/2b3d/8908493/6be4c97e3787/ao2c00032_0009.jpg
https://cdn.ncbi.nlm.nih.gov/pmc/blobs/2b3d/8908493/e5e64d9780b4/ao2c00032_0010.jpg
https://cdn.ncbi.nlm.nih.gov/pmc/blobs/2b3d/8908493/32815742e0f1/ao2c00032_0011.jpg
https://cdn.ncbi.nlm.nih.gov/pmc/blobs/2b3d/8908493/30edae430cc1/ao2c00032_0002.jpg
https://cdn.ncbi.nlm.nih.gov/pmc/blobs/2b3d/8908493/214b4e9b3432/ao2c00032_0003.jpg
https://cdn.ncbi.nlm.nih.gov/pmc/blobs/2b3d/8908493/f529700c4bb4/ao2c00032_0004.jpg
https://cdn.ncbi.nlm.nih.gov/pmc/blobs/2b3d/8908493/ed7def841cea/ao2c00032_0005.jpg
https://cdn.ncbi.nlm.nih.gov/pmc/blobs/2b3d/8908493/44eb203bd2d0/ao2c00032_0006.jpg
https://cdn.ncbi.nlm.nih.gov/pmc/blobs/2b3d/8908493/0c248951cd50/ao2c00032_0007.jpg
https://cdn.ncbi.nlm.nih.gov/pmc/blobs/2b3d/8908493/7dcfeaf04590/ao2c00032_0008.jpg
https://cdn.ncbi.nlm.nih.gov/pmc/blobs/2b3d/8908493/6be4c97e3787/ao2c00032_0009.jpg
https://cdn.ncbi.nlm.nih.gov/pmc/blobs/2b3d/8908493/e5e64d9780b4/ao2c00032_0010.jpg
https://cdn.ncbi.nlm.nih.gov/pmc/blobs/2b3d/8908493/32815742e0f1/ao2c00032_0011.jpg

相似文献

1
Computational Investigation of Structural Basis for Enhanced Binding of Isoflavone Analogues with Mitochondrial Aldehyde Dehydrogenase.异黄酮类似物与线粒体醛脱氢酶增强结合的结构基础的计算研究
ACS Omega. 2022 Feb 22;7(9):8115-8127. doi: 10.1021/acsomega.2c00032. eCollection 2022 Mar 8.
2
Virtual Screening of FDA-Approved Drugs for Enhanced Binding with Mitochondrial Aldehyde Dehydrogenase.FDA 批准药物与线粒体乙醛脱氢酶增强结合的虚拟筛选。
Molecules. 2022 Dec 10;27(24):8773. doi: 10.3390/molecules27248773.
3
Repurposing Drugs for Inhibition against ALDH2 via a 2D/3D Ligand-Based Similarity Search and Molecular Simulation.通过二维/三维基于配体相似性搜索和分子模拟的 ALDH2 抑制药物再利用。
Molecules. 2023 Oct 29;28(21):7325. doi: 10.3390/molecules28217325.
4
Structure of daidzin, a naturally occurring anti-alcohol-addiction agent, in complex with human mitochondrial aldehyde dehydrogenase.大豆苷(一种天然存在的抗酒精成瘾剂)与人线粒体乙醛脱氢酶复合物的结构。
J Med Chem. 2008 Aug 14;51(15):4482-7. doi: 10.1021/jm800488j. Epub 2008 Jul 10.
5
Comparative Study of Interactions between Human cGAS and Inhibitors: Insights from Molecular Dynamics and MM/PBSA Studies.人源 cGAS 与抑制剂相互作用的比较研究:分子动力学和 MM/PBSA 研究的新见解。
Int J Mol Sci. 2021 Jan 25;22(3):1164. doi: 10.3390/ijms22031164.
6
Exploring the prominent performance of CX-4945 derivatives as protein kinase CK2 inhibitors by a combined computational study.通过联合计算研究探索CX-4945衍生物作为蛋白激酶CK2抑制剂的卓越性能。
Mol Biosyst. 2014 May;10(5):1196-210. doi: 10.1039/c4mb00013g.
7
Novel insights into the dynamics behavior of glucagon-like peptide-1 receptor with its small molecule agonists.揭示胰高血糖素样肽-1 受体与其小分子激动剂相互作用的动态行为的新见解。
J Biomol Struct Dyn. 2019 Sep;37(15):3976-3986. doi: 10.1080/07391102.2018.1532818. Epub 2018 Nov 17.
8
Theoretical insights into molecular mechanism and energy criteria of PARP-2 enzyme inhibition by benzimidazole analogues.苯并咪唑类似物对PARP-2酶抑制作用的分子机制和能量标准的理论见解。
Proteins. 2021 Mar 25. doi: 10.1002/prot.26077.
9
Validation of an automated procedure for the prediction of relative free energies of binding on a set of aldose reductase inhibitors.一种用于预测一组醛糖还原酶抑制剂结合相对自由能的自动化程序的验证。
Bioorg Med Chem. 2007 Dec 15;15(24):7865-77. doi: 10.1016/j.bmc.2007.08.019. Epub 2007 Aug 22.
10
In-Silico molecular docking and simulation studies on novel chalcone and flavone hybrid derivatives with 1, 2, 3-triazole linkage as vital inhibitors of Plasmodium falciparum dihydroorotate dehydrogenase.基于 1,2,3-三唑键的新型查尔酮和黄酮杂合衍生物作为恶性疟原虫二氢乳清酸脱氢酶关键抑制剂的计算机分子对接和模拟研究。
J Biomol Struct Dyn. 2018 Nov;36(15):3993-4009. doi: 10.1080/07391102.2017.1404935. Epub 2017 Nov 27.

引用本文的文献

1
Advances in Factors Affecting ALDH2 Activity and its Mechanisms.影响 ALDH2 活性的因素及其机制的研究进展。
Cardiovasc Toxicol. 2024 Dec;24(12):1428-1438. doi: 10.1007/s12012-024-09923-9. Epub 2024 Oct 4.
2
Repurposing Drugs for Inhibition against ALDH2 via a 2D/3D Ligand-Based Similarity Search and Molecular Simulation.通过二维/三维基于配体相似性搜索和分子模拟的 ALDH2 抑制药物再利用。
Molecules. 2023 Oct 29;28(21):7325. doi: 10.3390/molecules28217325.
3
Repurposing of World-Approved Drugs for Potential Inhibition against Human Carbonic Anhydrase I: A Computational Study.

本文引用的文献

1
Brain Microdialysis Coupled to LC-MS/MS Revealed That CVT-10216, a Selective Inhibitor of Aldehyde Dehydrogenase 2, Alters the Neurochemical and Behavioral Effects of Methamphetamine.脑微透析与 LC-MS/MS 联用揭示,选择性醛脱氢酶 2 抑制剂 CVT-10216 改变了 methamphetamine 的神经化学和行为效应。
ACS Chem Neurosci. 2021 May 5;12(9):1552-1562. doi: 10.1021/acschemneuro.1c00039. Epub 2021 Apr 19.
2
Design, synthesis and the structure-activity relationship of agonists targeting on the ALDH2 catalytic tunnel.设计、合成及针对 ALDH2 催化隧道的激动剂的结构-活性关系。
Bioorg Chem. 2020 Nov;104:104166. doi: 10.1016/j.bioorg.2020.104166. Epub 2020 Aug 25.
3
经世界认可的药物再利用以潜在抑制人类碳酸酐rase I:计算研究。
Int J Mol Sci. 2023 Aug 9;24(16):12619. doi: 10.3390/ijms241612619.
4
Structure-Based Virtual Screening of Furan-1,3,4-Oxadiazole Tethered -phenylacetamide Derivatives as Novel Class of hTYR and hTYRP1 Inhibitors.基于结构的呋喃-1,3,4-恶二唑连接的苯基乙酰胺衍生物作为新型hTYR和hTYRP1抑制剂的虚拟筛选
Pharmaceuticals (Basel). 2023 Feb 23;16(3):344. doi: 10.3390/ph16030344.
5
Protective effects of isoflavones on alcoholic liver diseases: Computational approaches to investigate the inhibition of ALDH2 with isoflavone analogues.异黄酮对酒精性肝病的保护作用:用异黄酮类似物研究对乙醛脱氢酶2抑制作用的计算方法。
Front Mol Biosci. 2023 Feb 27;10:1147301. doi: 10.3389/fmolb.2023.1147301. eCollection 2023.
6
Virtual Screening of FDA-Approved Drugs for Enhanced Binding with Mitochondrial Aldehyde Dehydrogenase.FDA 批准药物与线粒体乙醛脱氢酶增强结合的虚拟筛选。
Molecules. 2022 Dec 10;27(24):8773. doi: 10.3390/molecules27248773.
Alcohol Addiction, Gut Microbiota, and Alcoholism Treatment: A Review.
酒精成瘾、肠道微生物群与酒精中毒治疗:综述
Int J Mol Sci. 2020 Sep 3;21(17):6413. doi: 10.3390/ijms21176413.
4
Interaction of Ethanol and Oral ANS-6637, a Selective ALDH2 Inhibitor in Males: A Randomized, Double-Blind, Placebo-Controlled, Single-Ascending Dose Cohort Study.乙醇与选择性 ALDH2 抑制剂 ANS-6637 在男性中的相互作用:一项随机、双盲、安慰剂对照、单次递增剂量队列研究。
Alcohol Clin Exp Res. 2020 Sep;44(9):1885-1895. doi: 10.1111/acer.14416. Epub 2020 Sep 6.
5
Aldehyde Dehydrogenase, Liver Disease and Cancer.醛脱氢酶、肝脏疾病与癌症。
Int J Biol Sci. 2020 Jan 22;16(6):921-934. doi: 10.7150/ijbs.42300. eCollection 2020.
6
Targeting liver aldehyde dehydrogenase-2 prevents heavy but not moderate alcohol drinking.靶向肝脏乙醛脱氢酶-2 可预防重度但不预防中度饮酒。
Proc Natl Acad Sci U S A. 2019 Dec 17;116(51):25974-25981. doi: 10.1073/pnas.1908137116. Epub 2019 Dec 2.
7
Aldehyde dehydrogenase-2 as a therapeutic target.乙醛脱氢酶-2 作为治疗靶点。
Expert Opin Ther Targets. 2019 Nov;23(11):955-966. doi: 10.1080/14728222.2019.1690454. Epub 2019 Nov 16.
8
Gene Therapy Correction of Aldehyde Dehydrogenase 2 Deficiency.醛脱氢酶2缺乏症的基因治疗纠正
Mol Ther Methods Clin Dev. 2019 Aug 26;15:72-82. doi: 10.1016/j.omtm.2019.08.004. eCollection 2019 Dec 13.
9
Anti-alcohol abuse drug disulfiram inhibits human PHGDH via disruption of its active tetrameric form through a specific cysteine oxidation.抗酗酒药物双硫仑通过特定半胱氨酸氧化作用破坏其活性四聚体形式来抑制人 PHGDH。
Sci Rep. 2019 Mar 18;9(1):4737. doi: 10.1038/s41598-019-41187-0.
10
Aldehyde toxicity and metabolism: the role of aldehyde dehydrogenases in detoxification, drug resistance and carcinogenesis.醛毒性和代谢:醛脱氢酶在解毒、耐药性和致癌作用中的作用。
Drug Metab Rev. 2019 Feb;51(1):42-64. doi: 10.1080/03602532.2018.1555587. Epub 2019 Apr 22.