Suppr超能文献

在不同磷水平下,地中海和印度起源的小扁豆基因型根系结构性状的基因型变异。

Genotypic variation in root architectural traits under contrasting phosphorus levels in Mediterranean and Indian origin lentil genotypes.

机构信息

Division of Genetics, Indian Agricultural Research Institute, New Delhi, Delhi, India.

International Center for Agricultural Research in the Dry Areas (ICARDA), Bhopal, Madhya Pradesh, India.

出版信息

PeerJ. 2022 Mar 10;10:e12766. doi: 10.7717/peerj.12766. eCollection 2022.

Abstract

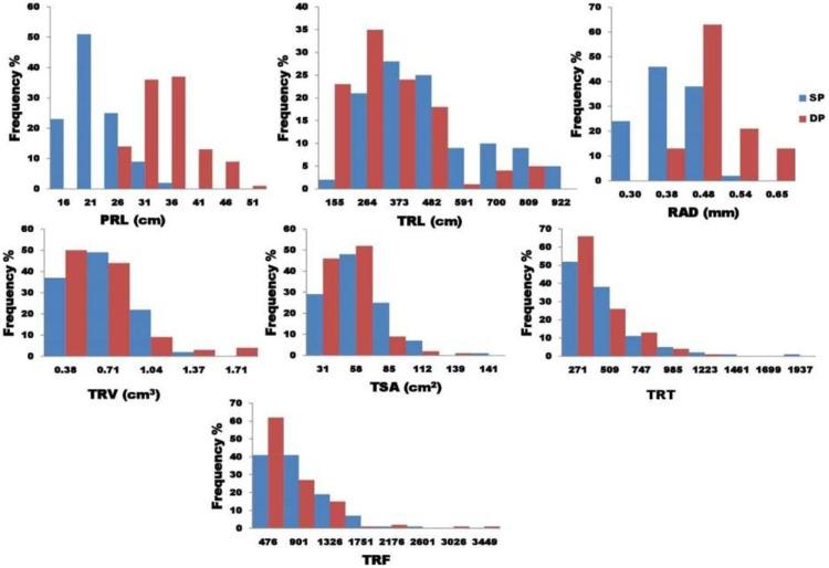
The development of phosphorus-efficient crop cultivars boosts productivity while lowering eutrophication in the environment. It is feasible to improve the efficiency of phosphorus (P) absorption in lentils by enhancing phosphorus absorption through root architectural traits. The root architectural traits of 110 diverse lentil genotypes of Indian and Mediterranean origin were assessed, and the relationships between traits were investigated. In a hydroponics experiment, the lentil lines were examined at the seedling stage under two conditions: adequate P supply and deficient P supply. The Pearson correlation coefficients between root architectural traits and genetic diversity among lentil lines were assessed. To estimate variance components, a model (fixed factor) was used. In this experiment, both phosphorus (P) and genotype were fixed variables. Our lentil lines showed significant genetic variability and considerable genetic diversity for all traits under both treatments. The TRL (total root length) and PRL (primary root length) showed strong positive associations with all other characteristics excluding root average diameter (RAD) in both P treatments. In both P treatments, the RAD revealed a negative significant association with Total Root Tips (TRT), as well as total root volume (TRV) and total root forks (TRF) in the deficit conditions of P. Total root volume (TRV), total surface area (TSA), and total root tips had higher coefficient variance values. The first two principal components represented 67.88% and 66.19% of the overall variance in the adequate and deficit P treatments respectively. The Shannon-Weaver diversity index (H') revealed that RAD, PRL, and TSA had more variability than TRT and TRF under both treatments. According to the Comprehensive Phosphorus Efficiency Measure (CPEM), the best five highly efficient genotypes are PLL 18-09, PLS 18-01, PLL 18-25, PLS 18-23, and PLL 18-07, while IG112131, P560206, IG334, L11-231, and PLS18-67 are highly inefficient genotypes. The above contrasting diverse lentil genotypes can be utilized to produce P-efficient lentil cultivars. The lentil germplasm with potentially favorable root traits can be suggested to evaluated for other abiotic stress to use them in crop improvement programme. The scientific breakthroughs in root trait phenotyping have improved the chances of establishing trait-allele relationships. As a result, genotype-to-phenotype connections can be predicted and verified with exceptional accuracy, making it easier to find and incorporate favourable nutrition-related genes/QTLs in to breeding programme.

摘要

培育高效磷作物品种可提高生产力,同时降低环境富营养化。通过增强根形态特征来提高豌豆对磷的吸收效率是可行的。评估了来自印度和地中海地区的 110 种不同豌豆基因型的根形态特征,并研究了这些特征之间的关系。在水培实验中,在两种条件下(充分供应磷和缺乏磷供应)对幼苗期的豌豆品系进行了检查。评估了根形态特征与豌豆品系间遗传多样性之间的皮尔逊相关系数。为了估计方差分量,使用了一个模型(固定因子)。在这个实验中,磷和基因型都是固定变量。我们的豌豆品系在两种处理下均表现出显著的遗传变异性和相当大的遗传多样性。在两种磷处理下,TRL(总根长)和 PRL(主根长)与除 RAD(根平均直径)以外的所有特征均呈强正相关。在缺磷条件下,RAD 与 TRT(总根尖端)以及总根体积(TRV)和总根叉(TRF)呈负显著相关。总根体积(TRV)、总表面积(TSA)和总根尖端的系数方差值较高。前两个主成分分别代表了充足和缺乏磷处理下总方差的 67.88%和 66.19%。香农-威纳多样性指数(H')表明,在两种处理下,RAD、PRL 和 TSA 的变异性大于 TRT 和 TRF。根据综合磷效率度量(CPEM),在高效基因型中 PLL 18-09、PLS 18-01、PLL 18-25、PLS 18-23 和 PLL 18-07 排名前五,而 IG112131、P560206、IG334、L11-231 和 PLS18-67 则是低效基因型。上述具有对比性的不同豌豆基因型可用于培育高效磷豌豆品种。具有潜在有利根特性的豌豆种质资源可被用于评估其他非生物胁迫,以便将其应用于作物改良计划。根特性表型的科学突破提高了建立特性等位基因关系的机会。因此,可以以极高的精度预测和验证基因型与表型之间的联系,从而更容易在选育计划中找到并纳入有利的与营养相关的基因/QTL。

https://cdn.ncbi.nlm.nih.gov/pmc/blobs/f683/8918163/cf78ac4d52cd/peerj-10-12766-g001.jpg

文献AI研究员

20分钟写一篇综述,助力文献阅读效率提升50倍。

立即体验

用中文搜PubMed

大模型驱动的PubMed中文搜索引擎

马上搜索

文档翻译

学术文献翻译模型,支持多种主流文档格式。

立即体验